Nutritional content and healthiness in sweet and salty snacks and beverages popular in South Korea and the United States assessed by nutrition labels: a cross-sectional comparative study
Article information
Abstract
Objectives
This study investigated the nutritional differences between sweet and salty snacks and beverages in South Korea (Korea) and the United States (US). Nutritional content and healthiness were determined using back- and front-of-package nutrition labeling (FoPNL) systems.
Methods
Three snack and three beverage categories popular in Korea and the US were selected. Statistical data were used to determine the top 10–15 best-selling products in each category in each country. The selected products included chips (n = 15), cookies (n = 10), chocolate (n = 13), carbonated drinks (n = 10), fruit juices/drinks (n = 10, 5/5), and energy drinks (n = 10). The study excluded products that were artificially sweetened. Nutritional information and percentages of fruit and vegetable content in each product were collected from brand websites and grocery stores in each country. The FoPNL system was used to assess the healthiness of the products, which included multiple traffic light labels, a Health Star Rating, and a Nutri-Score.
Results
Overall, Korean snacks contained significantly more protein, total fat, saturated fat, and cholesterol than US snacks. However, the US chips and carbonated drinks contained more sodium, while the US energy drinks contained more caffeine than Korean products. The serving size of US carbonated drinks was significantly larger than that of Korean drinks, whereas the serving size of US chips was smaller than that of Korean products. The FoPNL system classified the majority of products as ‘less healthy.’
Conclusion
Our results suggest that Korean and US food manufacturers should improve the nutritional quality and/or serving size of commonly consumed food products. Policymakers in both countries should work to improve the presentation of nutrient information on nutrition labels to assist consumers in making healthier food choices.
INTRODUCTION
Food choices and eating habits have changed dramatically in many countries around the world over the past several decades [1]. Similar to other developing nations, South Korea (Korea) has undergone a nutrition transition with economic growth, industrialization, urbanization, and globalization [2]. The traditional low-fat, high-fiber Korean diet has been replaced by processed foods high in fats and added sugars [3]. This dietary transition is particularly evident in beverage consumption, with non-alcoholic beverage intake increasing more than fourfold between 1998 and 2018 [3]. Additionally, snacks account for a larger proportion of daily calories, rising from 14% in 1998 to 19% in 2016–2018. Within these snacks, the contribution of calories from ultra-processed foods increased significantly from 31.8% to 62.6% over the same period [4]. These ultra-processed snacks are often high in calories, added sugar, fats, and sodium [5]. Therefore, excessive consumption of snacks, particularly sweet and salty snacks, can result in overconsumption of calories, sugars, fats, and sodium, which are known to increase the risk of obesity and metabolic diseases [5-7].
Efforts to reduce sodium and sugar intake are critical components of public health strategies worldwide [8, 9]. In Korea, various policies aimed at reducing sugar, fat, and sodium consumption have been implemented [10-12]. These initiatives focus on public education and collaboration with the food industry to reformulate products. Such policies have achieved measurable success, including a significant decrease in trans fat content in snack foods and a reduction in sodium intake among the Korean population. The Ministry of Food and Drug Safety (MFDS) in Korea continues to work with the food industry to further reduce sodium and sugar levels in processed foods. Similarly, in the United States (US), there was a marked reduction in the sodium content of packaged foods and beverages from 2000 to 2014 [13].
The World Health Organization recommends implementing nutrition labeling policies to help people make healthier food choices, with the goal of preventing obesity and noncommunicable diseases [14]. Studies have shown that reading nutrition labels is associated with improved diet quality [15-17]. Specifically, individuals who reported reading nutrition labels were more likely to practice healthier eating habits [18, 19]. However, a 2022 survey in Korea revealed notable gaps in nutrition label awareness and usage [20]. Although 57.6% of Korean adults reported being aware of nutrition labels, comprehension rates were substantially lower at 25.7%, and utilization of these labels during processed food selection was limited to 21.3% [20]. In both Korea and the US, nutrition labels are currently printed in small letters and numbers on the back of food packages [21]. Evidence suggests that the complexity of numerical information and its placement on the back of the package can make it difficult for consumers to understand and use the label effectively [22].
In an effort to help consumers make healthier food choices, easy-to-understand symbols and color-coded labels have recently been introduced on the front of the packages [23]. More than 30 countries have adopted voluntary or mandatory front-of-packages nutrition labeling (FoPNL) systems [24]. Generally, FoPNL can be categorized into nutrient-specific and summary indicator systems. The examples of FoPNL systems are presented in Fig. 1 [25, 26]. The multiple traffic light (MTL) nutrition label, a type of nutrient-specific system, is used in several countries, including the United Kingdom (UK) [25]. The MTL label employs traffic light colors (red, amber, green) to indicate high, medium, and low levels of fat, saturated fat, sugars, and salt, as shown in Fig. 1A. The use of MTL label has been shown to help consumers to make healthier food choices [27, 28]. Several other summary indicator systems have been developed based on formulas that take into account the nutritional composition of the product. The Health Star Rating (HSR) system, used in Australia and New Zealand, rates products from 0.5 stars (least healthy) to 5 stars (most healthy), as shown in Fig. 1B. The Nutri-Score (NS), developed in France and used in some European countries, displays an estimate of healthiness with letters from A (most healthy) to E (least healthy) in different colors, as illustrated in Fig. 1C. A is green, B is light green, C is yellow, D is amber, and E is red. The label shows all five letters in different colors, but the letter indicating the value of the product is made larger. Evidence supports FoPNL as an effective public health intervention, demonstrating positive impacts on both consumer food choices and industry-driven product reformulation [29, 30].
Some summary indicator systems, such as HSR and NS, can rank packaged foods based on their nutritional composition. Dunford et al. [31] reported considerable variability in the healthiness of packaged foods and beverages across countries using the HSR, with products in middle‐income countries like China and India being less healthy than those in high-income countries like the US and the UK. While Korea has implemented policies to reduce trans fat, sodium, and sugar content in processed foods, no comparative analysis has been conducted to evaluate the nutritional quality of Korean snacks and beverages relative to similar products in other countries. This study aimed to compare the nutritional differences between sweet and salty snacks and beverages in Korea and the US. The comparison was based on the back-of-package nutrition labeling (BoPNL) data and the FoPNL systems, including MTL, HSR, and NS.
METHODS
Ethics statement
Ethics approval was not required as no human subjects were involved in this study.
1. Study design
This study was conducted as a cross-sectional study. It was described in accordance with the Strengthening the Reporting of Observational Studies in Epidemiology (STROBE) statement, available at https://www.strobe-statement.org/.
2. Selection of snacks and beverages
The study compared snacks and beverages between Korea and the US. Snacks included three categories: chips, cookies, and chocolate, and beverages included three categories: carbonated drinks, fruit juice/drinks, and energy drinks [32, 33]. Korean products were selected based on brand sales ranking from retail point-of-sale data for major processed foods, as disclosed by the Korea Agro-Fisheries and Food Trade Corporation [34]. When a store brand which refers to a distributor’s own brand was included in the top rankings, additional product was selected through Naver DataLab. This platform provides search volume data for keywords within specific categories over a given period. In this study, additional popular products were identified based on click trends in shopping categories, such as carbonated beverages, during 2023. The best-selling US products were selected based on the sales rankings released by Statista. When additional product selection by category was needed, the rankings of best-selling products from Amazon’s website in July 2023 were used. The selected products included chips (n = 15), cookies (n = 10), chocolate (n = 13), carbonated drinks (n = 10), fruit juice/drinks (n = 10; 5/5), and energy drinks (n = 10) in each country. Artificially sweetened products were excluded.
3. Nutritional analysis of the products by the BoPNL
The nutrition information of selected products were collected from brand websites or grocery stores in each country. The most recent nutritional values per 100 g (or 100 mL) for energy (kcal), total carbohydrates (g), sugar (g), protein (g), total fat (g), trans fat (g), saturated fat (g), cholesterol (mg), and sodium (mg) as well as serving size were obtained. Trans fat content can be labeled as ‘0’ if it is less than 0.2 g per serving in Korea and less than 0.5 g in the US. Due to the difficulty in estimating exact amounts, trans fat was excluded from the analysis. Additionally, the percentage of fruit and vegetable content in fruit juice/drinks was collected.
4. Assessment of the healthiness of the products by the FoPNL criteria
The healthiness of the products was assessed using the criteria of MTL, HSR, and NS. Products were classified by the number of red lights based on the MTL criteria. A healthiness score was calculated for each product following the method described by Sacks et al. [35]. One point was allocated for each green label, two points for each amber label, and three points for each red label. To calculate the total score, all four traffic-light labels were summed, resulting in a possible score range of 4 to 12 points for each product. A lower score indicated a healthier product, and products scoring 7 points or more were classified as ‘less healthy’.
The HSR was calculated using a calculator based on the guide [36]. Each product was classified according to the HSR food category, and scored by considering the positive factors, such as protein, fiber, and fruit/vegetable/nut/legume (FVNL) content, and negative factors, such as energy, saturated fat, sugar, and sodium. A lower score reflects a healthier product. Products were assigned from 0.5 to 5.0 stars, with half-star increments based on their scores. Products with a HSR below 3.5 stars were classified as ‘less healthy’.
The updated algorithm for calculating the NS has been described [37]. Positive points (0–10 points) were assigned for unfavorable variables such as energy, sugar, saturated fat, and sodium, while negative points (0–5 points) were assigned for favorable variables such as protein, fiber, and FVNL percentage. The final score ranged from –15, indicating highest nutritional quality, to 40, indicating lowest nutritional quality. The score was then converted to a corresponding color and letter grade. For general foods, scores ranging from –15 to –1 are categorized as dark green (A) for the best nutritional quality, 0 to 2 as light green (B), 3 to 10 as yellow (C), 11 to 18 as orange (D) and 19 to 40 as red (E) for the worst nutritional quality. For beverages, only water is allowed to be graded as A. The NS calculator for the updated algorithm was used to calculate product scores [38].
5. Statistical analysis
Statistical analysis was performed using IBM SPSS Statistics 29 (IBM Co.). Continuous variables, such as nutrients and serving size, were presented as median, minimum, and maximum values. The Mann-Whitney U test was used to compare variables between the two countries. The frequency and percentage of products for the grades of MTL, HSR, and NS were calculated. A P-value of < 0.05 was considered statistically significant.
For data visualization, heatmaps and swarm plots were created using python (version 3.9, Python Software Foundation, 2021). In the swarm plots, data points were distributed horizontally to avoid overlapping data and to facilitate intuitive comparisons of differences between the two countries.
RESULTS
1. Nutritional content of snacks and beverages popular in Korea and the US
Nutritional content and serving sizes of sweet and salty snacks, including chips, cookies, and chocolate, are shown in Table 1. The median energy content per 100 g and serving sizes of 38 Korean and US snacks were similar: 526.1 kcal and 500.0 kcal, and 31.0 g and 30.0 g, respectively. Among the categories analyzed in this study, US chips had the highest median sodium content at 678.6 mg/100 g, and US chocolate had the highest median sugar content at 51.1 g/100 g. On the contrary, Korean chocolate had the highest total fats and saturated fats at 32.4 g/100 g and 17.5 g/100 g, respectively. Korean chips had significantly higher sugar (P < 0.05) and saturated fat (P < 0.01), but lower sodium (P < 0.01) per 100 g, compared to US chips. The median serving size of Korean chips was larger than that of US chips (P < 0.01). Korean cookies contained significantly higher energy (P < 0.01) and saturated fat (P < 0.01) per 100 g, but lower carbohydrates (P < 0.05) and sugar (P < 0.05) per 100 g than US cookies. Korean chocolate had higher energy (P < 0.01), protein (P < 0.01), fat (P < 0.05), saturated fat (P < 0.01), and cholesterol (P < 0.05) per 100 g than US chocolate. When the three snack categories were combined, Korean snacks were significantly higher in protein (P < 0.001), fat (P < 0.05), saturated fat (P < 0.01), and cholesterol (P < 0.05) per 100 g than US snacks.
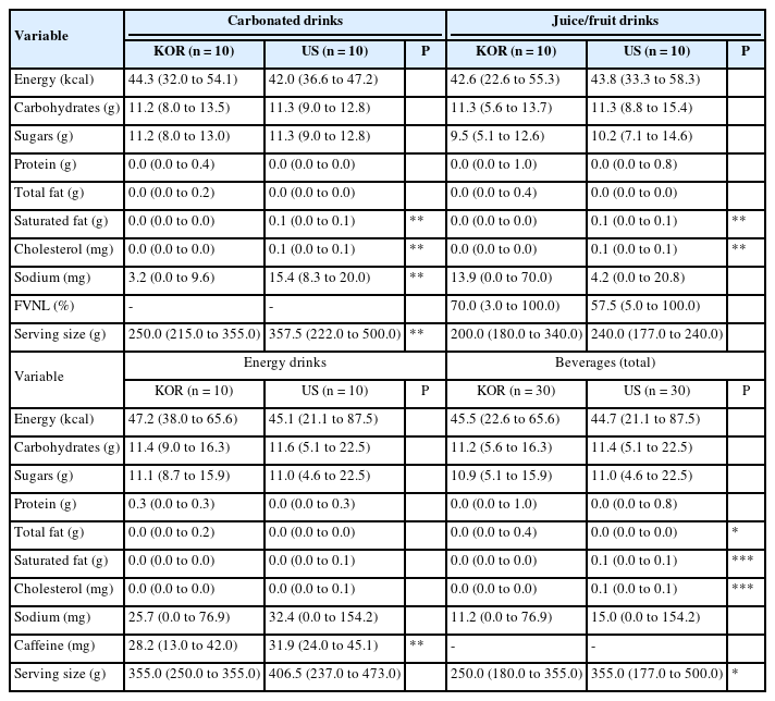
The nutritional content and serving sizes of beverages, including carbonated drinks, fruit juice/drinks, and energy drinks, are shown in Table 2. Korean carbonated drinks were significantly lower in saturated fat (P < 0.01), cholesterol (P < 0.01), and sodium (P < 0.01) per 100 mL, and serving sizes (P < 0.05) than US products. US fruit juice/drinks had significantly higher saturated fat and cholesterol than Korean products (P < 0.01 for both) even though the differences were small. US energy drinks contained significantly more caffeine than Korean energy drinks (P < 0.01). When the three categories were combined, US beverages had significantly higher saturated fat (P < 0.001) and cholesterol (P < 0.001) per 100 mL than Korean beverages, along with larger serving sizes (P < 0.05). However, Korean beverages contained significantly more total fat than US beverages (P < 0.05).
2. Healthiness of snacks and beverages assessed by MTL labels
The classification of snacks by the number of red traffic lights each product received using MTL labeling criteria is presented in Table 3. All products received at least one red light of the four nutrients: fat, saturated fat, sugar, and sodium. In both countries, 60% of chips had two red lights, and 70% of cookies had three red lights. Notably, all Korean chocolate had three red lights, whereas three out of 10 US chocolates had only one red light. Almost all sweet and salty snacks were classified as ‘less healthy’.
The distribution of traffic light colors for nutrients in snacks and beverages is shown in Fig. 2. In both countries, red lights were most frequently observed for sugar, fat, and saturated fat, while amber lights were most common for sodium in snacks. The percentage of red lights for sugar was similar in Korean and US snacks. However, the percentages of red lights for fat and saturated fat were higher in Korean snacks compared to US snacks, whereas the percentage for sodium was higher in US snacks. For beverages, only the sugar content was compared between the two countries, as levels of fat, saturated fat, and sodium were generally low. Amber lights were the most common for sugar in beverages, and the percentage of red lights was higher in US beverages compared to Korean beverages.
3. Healthiness of snacks and beverages assessed by HSR and NS
The distribution of HSR profile score and NS of snacks and beverages in Korea and the US is shown in Fig. 3. Korean chips and cookies had significantly higher HSR scores, indicating that they were less healthy than US chips and cookies. Most cookies and chocolate received 0.5 or 1 star. Only one US juice received 3 stars, while all other snacks and beverages received 2.5 stars or below. All products analyzed in this study were classified as ‘less healthy’, with HSR values below 3.5 out of 5.0 stars. There were no significant differences in the distribution of raw NS scores of snacks and beverages between Korea and the US.

Distribution of HSR profile score and Nutri-Score for each category of snacks and beverages.
HSR, Health Star Rating; KOR, South Korea; US, United States.
*P < 0.05, a significant difference between Korea and US by the Mann-Whitney U test.
When all three categories were combined, approximately 70% of Korean snacks and beverages had 0.5 stars, compared to 44.7% of US snacks (Fig. 4). For NS, more than 70% of snacks and beverages in both countries received an E grade, the least healthy rating, and especially, 94.7% of Korean snacks received an E grade. None of the analyzed products qualified for either an A or B grade.
DISCUSSION
We observed significant differences in the nutritional profile of popular snacks and beverages between Korea and the US. Overall, Korean sweet and salty snacks had significantly higher protein, fat, saturated fat, and cholesterol than US snacks. Conversely, US products had significantly larger serving sizes for carbonated drinks, and higher caffeine content in energy drinks than Korean counterparts.
It was unexpected that Korean snacks were significantly higher in fat and saturated fat compared to US snacks. The median fat and saturated fat content of US cookies were 20.3 g/100 g and 8.0 g/100 g, respectively, whereas Korean cookies contained 26.1 g/100 g and 15.1 g/100 g. In a previous study on Polish cookies [39], the mean fat content was 20.2 g and saturated fat was 9.1 g, similar to US products but lower than Korean products. The mean saturated fat content of Türkiye’s chips and chocolate was 8.6 and 17.6 g, similar to those of Korean products [40]. Following successful reduction initiatives in Korea, most processed foods now report zero trans fat content per serving. However, reformulation strategies targeting a single nutrient may lead to unintended increases in other nutrients [41], with particular concern regarding the potential replacement of trans fats with saturated fats [42]. Therefore, reformulated products should be monitored comprehensively, focusing on multiple nutrients rather than a single nutrient. Furthermore, it is also important to pay attention to the quality of fat in food products as some oils, such as cold pressed and extra virgin olive oils, have beneficial health effects over highly processed oils, such as refined sun flower and palm oil [43]. Monitoring the type and quality of fats used in food production is crucial for improving overall diet quality.
US chips and carbonated drinks had more sodium than Korean products. We found that US beverages contained much higher levels of sodium compared to the beverages of the same brand sold in Korea. Previous studies have also demonstrated that sodium contents in US products were higher than in other countries, even within the same brand [31, 44, 45]. These findings indicate that while US products have achieved notable decreases in sodium content [13], there remains potential for additional sodium reduction efforts.
The caffeine content in energy drinks was significantly lower in Korea than in the US. The MFDS in Korea has implemented regulatory policies to reduce excessive caffeine consumption, particularly among adolescents. Beverages containing more than 15 mg of caffeine per 100 mL must be labeled as high-caffeine beverages, with the total caffeine content clearly displayed. In addition, a pilot project was conducted to display warning messages about caffeine consumption on the shelves of high-caffeine beverages in convenience stores [46]. These policies may have contributed to the lower caffeine content found in Korean energy drinks compared to the US products.
Serving sizes for carbonated drinks were significantly larger in the US than in Korea, whereas serving sizes for chips were larger in Korea than in the US. Large serving sizes of foods and beverages, particularly energy-dense snacks, have been shown to increase energy intake, which may increase the risk of weight gain [47, 48]. Therefore, reducing the serving sizes of snacks and beverages could serve as an important policy to reduce obesity rates by regulating energy consumption.
In our study, more than 50% of 38 snacks in both countries received three of the four possible red lights according to MTL criteria, only 0.5 or one star by the HSR system, and more than 70% were graded E by the NS. Notably, more Korean snacks received lower grades by HSR and NS compared to US snacks. A comparative study on the healthiness of packaged foods and beverages across countries using the HSR system found that the products in middle‐income countries were less healthy compared to those in high-income countries [31]. They suggested that high-income countries like the US may have healthier packaged foods due to greater consumer demand for nutritious products, more health-focused policies and programs, and greater food industry initiatives to develop healthier products. Therefore, efforts should be made to improve the nutritional quality of packaged food products in Korea through policy initiatives, industry engagement, and consumer education programs.
Since 2009, Korea’s MFDS has implemented nutritional standards to identify ‘high-calorie, low-nutrient foods’ among children's favorite foods to prevent childhood obesity and promote healthy eating habits [49]. However, this policy has several limitations. First, since the standards are based on serving size, manufacturers can avoid the ‘high-calorie, low nutrient food’ designation simply by adjusting serving size. For example, one standard for snacks is ‘foods exceeding 17 g of sugar and less than 2 g of protein per serving’. Second, products can be exempt from the classification if they contain at least 2 g of protein per serving, even if they are high in calories, saturated fat, or sugar. This may explain why Korean snacks tend to have higher protein content compared to US snacks. When these standards were applied to the products in our study, only five US products and two Korean products among snacks were classified as ‘high-calorie, low-nutrient foods’. Compared to other FoPNL, this standard does not seem to classify nutrient quality as strictly. Nevertheless, nearly all carbonated beverages, energy drinks, and fruit drinks except one or two in each category were classified as ‘high-calorie, low-nutrient foods’ because they are low in protein and high in sugar. Third, there is no requirement for this information to be displayed on product packaging. Therefore, the policy defining ‘high-calorie, low-nutrient foods’ is unlikely to significantly influence children’s food choices or promote healthier eating habits. In addition, Korea introduced a voluntary MTL labeling system for children’s foods in 2011 [23]. However, participation by food manufacturers has been limited. Therefore, effective strategies are needed to encourage manufacturers’ participation in government policies aimed at both providing healthier food products and facilitating informed consumer choices.
Recently, the Biden-Harris Administration prioritized nutrition labeling in the National Strategy on Hunger, Nutrition, and Health, advocating for the implementation of a FoPNL [50]. In response, the Food and Drug Administration is currently proposing a FoPNL system for foods and beverages ‘high-in’ nutrients associated with chronic diseases [51]. This initiative is expected to help Americans more easily understand nutritional information on food products.
We compared the nutrient content and healthiness of snacks and beverages popular in Korea and the US and observed some statistically significant differences. Our results suggest that food manufacturers in Korea and the US may need to make positive changes regarding the quality and serving sizes of snacks and beverages to reduce the negative health effects of their consumption.
Limitations
Our study has some limitations. We only compared a limited number of products in each category, so it is difficult to ensure representativeness. However, we focused on best-selling products within each category, and the nutrient content of each category was comparable to the values published in other studies. Another limitation is that the nutrient content was extracted from product labels, which may not always accurately reflect the actual composition of the products. Further research studies with a larger number of snack and beverage items consumed in each country is needed to improve the scientific validity of our results.
Conclusion
Korean snacks overall had significantly higher levels of protein, total fat, saturated fat, and cholesterol compared to US snacks. Most snacks and beverages analyzed in this study were classified as ‘less healthy’ by MTL, HSR, and NS. Our findings suggest that both Korean and US food manufacturers should improve the nutritional quality and/or serving size of commonly consumed snacks and beverages. In addition, policymakers in both countries should work to improve the presentation of nutrient information on nutrition labels to assist consumers making healthier food choices.
Notes
CONFLICT OF INTEREST
There are no financial or other issues that might lead to a conflict of interest.
FUNDING
This research was supported by a Research Training grant funded by the National Institute of Minority Health and Health Disparities (T37-MD001448).
DATA AVAILABILITY
Research data is available upon request to the corresponding author.






