Associations between diet quality and regional factors in Korea vary according to individuals’ characteristics: a cross-sectional study
Article information
Abstract
Objectives
Although diet quality is known to be associated with environment and individuals’ characteristics, these have not been studied together. We determined the association of diet quality with regional factors stratified by individuals’ sociodemographic characteristics.
Methods
This study used nationally representative survey data on regional factors (2010–2020) and the Korea National Health and Nutrition Examination Survey data on individuals’ sociodemographic characteristics (2013–2018). Community-dwelling Koreans aged ≥ 20 were included (n = 26,853). Regions were categorized into metropolitan cities or provinces and subsequently according to regional factors (level of educational attainment, income per capita, food security status, physical activity facilities, time to the nearest large retailer, and internet use of the region). Individuals’ sociodemographic characteristics included age, education status, income, and number of household members. Diet quality was assessed using the Korean Healthy Eating Index (KHEI).
Results
In the entire population, education status of metropolitan cities was positively associated with the KHEI. Shorter time to retailers and higher internet use were positively associated with the KHEI in metropolitan residents with higher income levels but negatively associated with the KHEI in those with lower income status. Among provincial residents with a low education status or income, regional physical activity facilities were positively associated with the KHEI.
Conclusion
The association between diet quality and regional factors varied depending on the resident’s sociodemographic characteristics. Both regional and individual sociodemographic factors must be considered to address gaps in nutritional equity.
INTRODUCTION
Diet is one of the most critical modifiable factors in preventing chronic disease and promoting health [1-4], and it is influenced by personal characteristics and environmental factors. Diet quality (DQ) is strongly associated with individual characteristics, such as age, income, education status, and living alone [5, 6]. In Korea, various policies, such as meal delivery programs and nutrition classes, have been implemented for vulnerable populations, taking individuals’ sociodemographic characteristics into consideration. Nevertheless, nutritional disparities between regions are increasing, leading to differences in the prevalence of chronic diseases [7]. On the other hand, regional environment serves as an important background element in an individual’s diet and indirectly influences DQ, which can have a greater impact on vulnerable populations. Various studies have reported that access to a variety of foods, affordable food prices, convenient transportation, stable employment conditions, availability of sports and public facilities, and internet accessibility are considered important regional environmental factors that contribute to the improvement of DQ [8-10]. Even high-income individuals may struggle to choose a variety of foods if they live in an area with limited food accessibility. In Korea, regions with a high regional disparity index have been shown to experience negative health outcomes, highlighting the importance of the regional environment, although most studies have primarily focused on urban/rural differences [11]. This suggests that health disparities can arise based on residential area, even among individuals with similar personal characteristics and these disparities may be more pronounced for vulnerable populations. Thus, to reduce regional nutritional disparities, research on both individual characteristics and community-related factors must be conducted simultaneously.
Research has shown that community environment affects food choices; however, whether the association between regional factors and DQ varies according to an individuals’ characteristics has not been elucidated. Regional environment can be strongly affected by policy. Therefore, we selected regional characteristics that may be affected by policy (economic status, education status, healthcare-related welfare services, food retailer accessibility, and information availability of a region) and assessed their association with DQ according to participant characteristics that are well known to be associated with DQ (age, income, education, and single person household).
Using regional indicator data from Statistics Korea and the Community Health Survey (CHS) as well as individual sociodemographic data from the Korea National Health and Nutrition Examination Survey (KNHANES) 2013–2018, we aimed to examine regional factors related to DQ in both metropolitan and provincial areas according to individual’s sociodemographic characteristics. This study may aid in identifying populations that may be most affected by regional factors to address regional and individual disparities in DQ through public policy.
METHODS
Ethics statement
The KNHANES was approved by the institutional review board of the Korea Centers for Disease Control and Prevention (approval numbers: 2013-07CON-03-4C, 2013-12EXP-03-5C, and 2018-01-03-P-C).
1. Study design
This is a cross-sectional study utilizing national survey data, described according to the strengthening the reporting of observational studies in epidemiology guidelines (https://www.strobe-statement.org/). The participant flow is outlined in Supplementary Figure 1.
2. Region classification
Regions were categorized into metropolitan cities (Seoul, Busan, Daegu, Incheon, Gwangju, Daejeon, Ulsan, and Gyeonggi-do) and provinces (Gangwon-do, Chungcheongbuk-do, Chungcheongnam-do, Gyeongsangbuk-do, Gyeongsangnam-do, Jeollabuk-do, Jeollanam-do, and Jeju-do). Despite some unique characteristics of Jeju-do, residents’ dietary patterns and main industry (tourism and agriculture) are similar to those of other provincial regions and was thus included in the analyses [12, 13]. A sensitivity analysis excluding Jeju-do was also performed to account for its distinctiveness. Sejong special Self Governing City, a newly instituted capital, was excluded to minimize confounding factors.
3. Regional factors
Regions were further categorized into three groups per metropolitan area or province using statistical data from Statistics Korea on education level (2015, 2020), income level (2013–2018), facilities for physical activity (2013–2018), market accessibility (2017–2018) or internet use (2013–2018). The CHS data was utilized to obtain information on regional food security status (2013–2018) of metropolitan cities and provinces. The mean value for the aforementioned study period was calculated for each region and factor. Higher education was classified as ≥ college education for adults aged < 60 years and ≥ high school education for adults aged ≥ 60 years owing to the rapid increase in the number of college graduates within the past 30 years in Korea. Annual income per capita of a region was used for regional income level. Households that responded as “my family sometimes lacked food owing to financial difficulties” or “my family often lacked food because of financial difficulties” were defined as being food insecure. Taking into account policies for physical activity, the area covered by urban parks per 1,000 population and number of sports facilities per 100,000 population were used for metropolitan cities and provinces, respectively, as indirect measurements of local governments’ support for health and nutrition due to the lack of publicly available data specific to nutrition policy. Regional factors regarding accessibility included time to the nearest large retailer or traditional market (either by public transportation/on foot or by car). In addition, internet use, as a percentage of the population (≥ 3 years of age) that had used the internet within the preceding month, was a factor used to gauge access to information and online shopping. Metropolitan cities and provinces were each divided into three groups according to the level of each regional factor.
4. Participants’ general and dietary characteristics
This study included participants aged 20 years and older from the 2013–2018 KNHANES (n = 36,977). Excluding subjects missing data on DQ, education status, or income, those diagnosed with cancer, and residents of Sejong city resulted in a final of 26,853 participants (Supplementary Figure 1). Individual characteristics included age, education level, income level, and household type (single-person household or not). Age was categorized as 20–39, 40–59, and ≥ 60 years. Education status was categorized into three levels according to age group. Participants aged < 60 years were categorized as middle school graduate or lower, high school graduate, and college graduate or higher; those aged ≥ 60 years were categorized as primary school graduate or lower, middle school graduate, and high school graduate or higher. Household income was classified as low, lower-middle, upper-middle, and high. Household type was categorized into single-person and multiple-person (≥ 2 persons) households. Participants were assigned to their actual place of residence according to the KNHANES database.
DQ was assessed using the Korean Healthy Eating Index (KHEI) available in the KNHANES database [14, 15]. The KHEI score ranges from 0 to 100, with higher scores indicating superior DQ.
5. Other participant characteristics
Body mass index (BMI) was calculated using measured weight and height data. Participant physical activity was self-reported. Disease status was determined according to the KNHANES database, which was based on self-report and laboratory data [14]. Diseases of interest included dyslipidemia, myocardial infarction, angina, renal disease, hypertension, and diabetes.
6. Statistical analyses
Data analysis based on the complex survey design was performed after applying weights, stratification variables, and primary sample units. Analyses were stratified by metropolitan city and province and subsequently by individual characteristics. Values are expressed as n (weighted %), mean ± standard deviation, weighted % (standard error [SE]), or the weighted mean ± SE. Regional differences were assessed using chi-square tests for categorical variables and t-tests for continuous variables. The KHEI scores of individuals residing in the region categories were analyzed using analysis of variance. Individual characteristics corresponding to the regional factor of interest were not adjusted for to avoid over-adjustment bias. Models were adjusted for age, sex, education status, family income, BMI, physical activity, and disease (except for the individual characteristic of consideration). Additionally, sensitivity analysis was performed by excluding Jeju-do from analyses of provinces. All statistical analyses in this study were performed using SAS (version 9.4; SAS Institute Inc.). Statistical significance was set at P < 0.05.
RESULTS
1. Regional factors and participant characteristics
Metropolitan cities had greater proportions of residents with higher education or internet users, exhibited higher income per capita, and took less time to reach the nearest large retailer than provinces. However, the proportion of food secure households was similar between metropolitan cities and provinces (Table 1). The mean (± SE) age of the participants was 46.48 (± 0.17) and mean KHEI was 62.81 (± 0.12) (Table 2). Province-dwelling individuals were older and had higher mean BMI values. Provinces had higher proportions of one-person households, households with low income, education status, or physical activity, and residents with diseases than metropolitan cities. No difference in DQ was observed between the two regions; however, among adults aged ≥ 60 years, those residing in provinces exhibited poorer DQ than their counterparts residing in metropolitan cities. Participants excluded from the analyses were older; had a higher morbidity prevalence; displayed superior DQ; and had a lower income status, and education status than those included in this analysis (Supplementary Table 1). Regardless of regional factors, individual characteristics, such as age, education status, and income, demonstrated strongly positive associations with DQ. In addition, multiple-person households exhibited better DQ than single-person households (data not shown).
2. DQ according to regional factors
In metropolitan cities, DQ was positively associated with the proportion of individuals with higher education (P = 0.012; Supplementary Table 2). However, regional income, food security, facilities for physical activities, time to the nearest large retailer, and internet use were not associated with DQ.
3. DQ by regional factors and individual characteristics
1) Regional education status
The positive association between regional education and DQ in metropolitan cities was consistently observed in metropolitan city residents aged 40–59 years (P < 0.001) and those dwelling in multiple-person households (P = 0.001), while a positive trend was observed in residents with higher personal education status (P = 0.056; Supplementary Table 3). This trend disappeared when Jeju-do was excluded for sensitivity analyses. No association between regional education status and DQ was identified in the provinces.
2) Regional income and regional food security
Regardless of individual characteristics, no relationship was observed between regional income and the KHEI (Supplementary Table 4). However, among metropolitan city residents aged ≥ 60 years and those with a low education status, DQ was positively associated with regional food security status (P = 0.006 and P = 0.034, respectively; Supplementary Table 5). No associations were found in the provinces.
3) Physical activity facilities
In metropolitan cities, urban park area was not associated with DQ (Fig. 1, Supplementary Table 6). However, among provincial residents with low education or income status, those residing in areas with more sports facilities exhibited a higher DQ than those in areas with less sports facilities (P = 0.023 and P = 0.037, respectively; Fig. 1). These associations were similar when Jeju-do was excluded (P = 0.045 and P = 0.041, respectively). The association between DQ and physical activity facilities did not differ by age or household type.

Weighted adjusted means of the KHEI according to regional physical activity facilities (urban park area [metropolitan cities] or number of sports facilities [provinces]) and individuals’ education (A, B) or income status (C, D) of adult participants of the KNHANES.
KNHANES, Korea National Health and Nutrition Examination Survey; KHEI, Korean Healthy Eating Index.
Weights were applied to account for the complex survey design. General linear models were conducted to compare mean KHEI scores. Means were adjusted for participant age, sex, disease, physical activity, body mass index, and education/income. Error bars indicate standard error. Metropolitan cities were classified as low (Daegu, Busan, and Gwangju), middle (Seoul and Gyeonggi-do), and high (Incheon, Daejeon, and Ulsan). Provinces were categorized into low (Gyeongsangnam-do and Chungcheongnam-do), middle (Chungcheongbuk-do, Jeollabuk-do, and Gyeongsangbuk-do), and high (Jeollanam-do, Gangwon-do, and Jeju-do). Education status was categorized differently according to age due to the socioeconomic changes during the past decades in Korea. For adults < 60 years of age education status was categorized as high (≥ college graduate), middle (high school graduate), and low (< high school graduate), while for adults ≥ 60 years of age, education status was categorized as high (≥ high school graduate), middle (middle school graduate), and low (< middle school graduate).
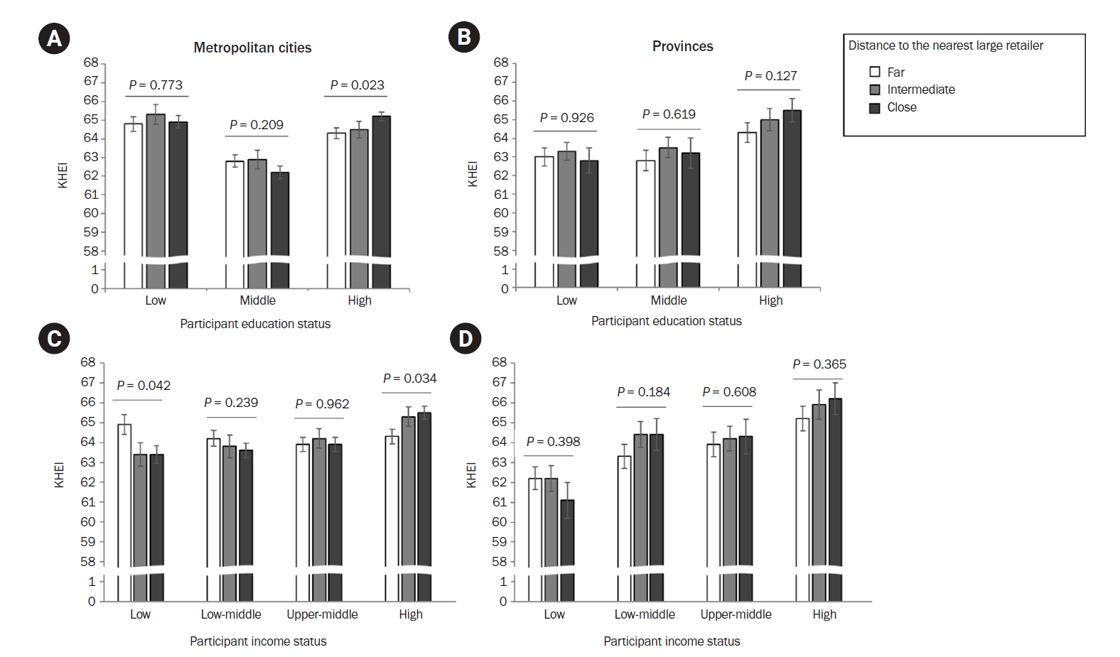
4) Access to retailers and information
In both metropolitan city and provincial residents, DQ was positively associated with shorter time to the nearest large retailer via public transportation or on foot in adults aged 40–59 years (P = 0.029 and P = 0.021, respectively; Supplementary Table 7). In addition, metropolitan adults with higher personal education or income status had greater KHEI scores when living in areas with better access to markets (P = 0.023 and P = 0.034, respectively; Fig. 2). In contrast, DQ decreased in low-income individuals living closer to large retail shops (P = 0.042). The association of time to the nearest traditional markets and DQ was also similar. (Supplementary Table 8). The regional proportion of internet users was used as an indicator of information accessibility. DQ was positively associated with regional internet use in adults aged 40–59 years and those with high income among metropolitan city residents (P = 0.041 and P = 0.017, respectively; Table 3). In contrast, metropolitan city residents with low income and provincial residents with low education status exhibited poorer DQ when residing in regions with higher internet use (P = 0.041 and P = 0.009, respectively). Other results were similar when Jeju-do was excluded from the analyses.

Weighted adjusted means of the KHEI according to mean time to the nearest large retailer of the region in metropolitan cities and provinces and individuals’ education (A, B) or income status (C, D) of adult participants of the KNHANES.
KNHANES, Korea National Health and Nutrition Examination Survey; KHEI, Korean Healthy Eating Index.
Weights were applied to account for the complex survey design. General linear models were conducted to compare mean KHEI scores. Means were adjusted for participant age, sex, disease, physical activity, body mass index, and education/income. Error bars indicate standard error. Metropolitan cities were classified as long (Gyeonggi-do and Ulsan), intermediate (Incheon, Gwangju, and Daejeon), and short (Daegu, Seoul, and Busan). Provinces were categorized into long (Jeollanam-do, Gangwon-do, and Gyeongsangbuk-do), intermediate (Chungcheongnam-do, Chungcheongbuk-do, and Jeollabuk-do), and short (Jeju-do and Gyeongsangnam-do). Education status was categorized differently according to age due to the socioeconomic changes during the past decades in Korea. For adults < 60 years of age education status was categorized as high (≥ college graduate), middle (high school graduate), and low (< high school graduate), while for adults ≥ 60 years of age, education status was categorized as high (≥ high school graduate), middle (middle school graduate), and low (< middle school graduate).
DISCUSSION
The associations between DQ and regional factors with regard to individual’s sociodemographic characteristics were assessed using national data. In metropolitan cities, middle-aged adults (40–59 years of age), exhibited superior DQ when living in areas with a higher education status, better market accessibility, greater internet use. In addition, in metropolitan city residents with a high education status KHEI was positively associated with a shorter time to the nearest retailer and higher regional internet use; however, the KHEI was negatively associated with these regional factors in low-income adults. Among adults residing in provinces, those with a low education or income status yielded higher KHEI scores when dwelling in areas with more physical activity facilities than those inhabiting areas with less physical activity facilities.
This study is the first to comprehensively analyze both environmental and personal factors that may possibly interact with DQ. The findings confirm that environmental factors, such as food security, education status, the number of physical activity facilities, internet usage rate, and market accessibility are significantly associated with DQ depending on an individual’s socioeconomic status or living condition. Although the importance of residential environment for health has been increasingly emphasized in recent years, previous studies have primarily focused on disparities in DQ between urban and rural areas or individual sociodemographic characteristics such as age, income, and education level [16-18]. While identifying individual-level characteristics that influence dietary behavior is undoubtedly important, food choices are also shaped by the regional environments in which individuals live. This is because disparities in food-related infrastructure and resources across regions can directly affect the feasibility of practicing a healthy diet, as shown in the results of the present study. Therefore, this study highlights the need for an integrated approach that considers not only individual characteristics but also regional environmental factors to improve DQ. These findings underscore the necessity of regionally tailored strategies such as improving local infrastructure and expanding access to health information for the development of policies aimed at promoting health equity.
Regional factors variably affect DQ according to an individual’s characteristics, such as income, as observed in this study. High-income metropolitan city residents appeared to benefit from residing in close proximity to markets as they had higher KHEI scores than those of similar income status who dwelt in cities more distant from markets. In contrast, low-income adults residing in metropolitan cities with shorter travel time to markets yielded lower KHEI scores than those inhabiting cities more distant to markets. The discrepancy between the 2 income levels in terms of the association of market accessibility with DQ indicates that regional factors potentially affect DQ differently. Closer proximity of marketplaces may be expected to indicate greater competition among markets, resulting in the better quality and lower costs of healthy foods, thus potentially yielding superior DQ, regardless of income. However, the negative relationship between market accessibility and DQ in low-income adults may also suggest a similar competition among marketplaces for unhealthy foods. In addition, areas with favorable market accessibility may be characterized by greater population density, more transportation options, and thus higher housing costs, resulting in less money to spend on food, especially for low-income individuals in metropolitan cities. Better market accessibility, within a reasonable range, may not improve DQ in low-income adults but may actually increase the consumption of convenience foods high in sodium and saturated fats [19, 20]. Therefore, market accessibility per se may not enhance DQ in low income metropolitan residents and additional efforts to identify risk factors are required.
Likewise, regional internet use may also affect DQ variably. In South Korea, where internet usage rates are high, online purchases may be more prevalent [21]. On the other hand, higher regional internet use potentially results in fewer physical stores within proximity from which to purchase food in person as well as higher food prices, creating a disadvantage for those who are not comfortable shopping for food online. This is supported by our results wherein regional internet use was negatively associated with the KHEI in low-income adults in metropolitan cities and low-education-status adults in provinces. Similarly, in the United States, not being able to physically inspect food, especially fruits and vegetables, presents a barrier to online food shopping among Supplement Nutrition Assistance Program recipients [22]. Internet use can be utilized as a source of information and a communication tool about food and nutrition; however, this may lead to contrasting effects based on individual characteristics. Although the difference in associations between DQ and regional internet according to income status is not entirely understood, our results demonstrate that regional factors may potentially affect individuals, but not equally, and possibly introduce more nutritional disparities.
Among the age groups, the 40–59 year age group appeared to be most responsive to regional factors. The DQ of adults in this age group was positively associated with regional education status, time to retailer, and regional internet use, especially in metropolitan cities. Adults in their 40s and 50s are usually more financially stable than those in other age groups; are responsible for feeding the family, including growing children and aging parents; and may experience the onset of chronic disease. Therefore, this age group may have greater interest in diet and nutrition in addition to means of purchase and internet use ability. We and others have found that an individual’s education status is positively associated with DQ [23]. Therefore, areas with high proportions of well-educated individuals may exhibit a better selection of foods available in retail outlets. In addition, high regional internet use may increase the dissemination of nutritional information within the community, which may also affect food availability in retail outlets [24-26]. On the other hand, given the lower association observed in younger adults and older adults, the impact of regional policy approaches on DQ varies with age, necessitating an age-differentiated approach to environmental factors.
Regional food security status, but not regional income, was positively associated with DQ in metropolitan cities. These associations were observed in residents at high risk of food insecurity, that is, those aged ≥ 60 years and those with a low education level [27]. Income and food security status are known to be closely related in individuals [28]. However, at regional level, they may differ. High-income regions may be characterized by high food prices and greater food insecurity among residents. The poverty rate among older adults in Korea is considerably high, attaining to 0.404 in adults aged > 65 years [29]. Thus, adults aged ≥ 60 years and those with a low education status are at higher risk of food insecurity [30]. These populations exhibit increased DQ when residing in a region with high food security, but not high regional income, compared with those with the same characteristics inhabiting areas with low food security. Food security is not only associated with purchasing power [22, 23] but also with transportation and time to food retailers and access to various food choices, aspects that can be influenced by local welfare systems. Therefore, in metropolitan cities, the positive association of DQ with regional food security in older adults may be because these older adults tend to be beneficiaries of policies that mitigate food insecurity in these regions. On the other hand, provincial residents may have easier and more affordable access to local agricultural and fishery products and engage more in-home gardening practices, potentially resulting in higher fruit and vegetable consumption and thus DQ. This suggests that the association of regional food security status with DQ also differs between metropolitan cities and provinces.
Limitations
This study has certain limitations. First, owing to its cross-sectional design, we are unable to determine causal relationships. Second, while analyzing data at the more immediate town or neighborhood level would have been preferable to categorizing regions into metropolitan cities and provinces, some variables were not available for a more detailed analysis. However, many metropolitan city residents work in different towns than their residential area, which may affect their meal and snack intake, and thus DQ. Therefore, analyzing the regional factors at the city level may be more accurate than smaller units of residential area at least for metropolitan city residents. Third, the KHEI was calculated from a single 24-hour dietary recall which may not fully reflect an individual’s usual diet. However, the KNHANES only assesses one day’s intake and the KHEI was validated using this method [31]. Furthermore, we were unable to analyze other well-known, influential environmental factors, such as food prices and promotion/marketing, because of the absence of relevant data [32]. Despite these limitations, this study is the first to assess DQ based on both individual characteristics and regional factors which may serve as a basis for national and local nutrition policies.
Conclusion
Based on nationwide data, we found that DQ varies according to both regional factors and individual sociodemographic characteristics. The associations of DQ with regional internet usage and market accessibility differ between low- and high-income metropolitan city residents. Among the age groups, the 40–59-year age group appears to be the most responsive to regional characteristics. The number of sports facilities in the region is positively associated with DQ in low-income and low-education-status provincial residents. Policy efforts should consider both individual sociodemographic characteristics and the regional environment to enhance DQ and alleviate nutrition inequity.
Notes
CONFLICT OF INTEREST
There are no financial or other issues that might lead to conflict of interest.
FUNDING
This study was supported by the Korean Society of Community Nutrition funded by a grant from the Korea Disease Control and Prevention Agency (No. ISSN 2733-5488).
DATA AVAILABILITY
The data used is publicly available at the Statistics Korea and the Community Health Survey and the Korean National Health and Nutrition Examination Survey (https://kosis.kr/index/index.do, https://knhanes.kdca.go.kr/knhanes/main.do).
SUPPLEMENTARY MATERIALS
Comparison of included and excluded participants characteristics
Diet quality as assessed using the KHEI according to regional factors in metropolitan cities and provinces
Mean KHEI according to regional education level and participant characteristics
Mean KHEI according to regional income per capita and personal characteristics
KHEI according to regional food security status and participant characteristics
KHEI according to urban park area (metropolitan cities) or number of sports facilities (provinces) and personal characteristics
KHEI according to time to the nearest large retailer and personal characteristics
KHEI according to time to nearest traditional market and personal characteristics
Participant flow chart. KNHANES, Korea National Health and Nutrition Examination Survey; KHEI, Korean Healthy Eating Index.