, 임경숙2
, 김형숙3
, Kyeong-Sook Lim2
, Hyung-Sook Kim3


Objectives
This study aimed to analyze menu patterns and food group diversity in daycare centers managed by the Center for Children's Foodservice Management in South Korea.
Methods
Data from 18 Center for Children's Foodservice Management centers across various provinces (excluding Jeju Island) were analyzed. We examined 8,796 meals served in February, May, August, and December 2021, focusing on seasonal lunch and snack menus for children aged 3-5. Foods were categorized into 19 groups for lunch and 21 for snacks. The frequency of food groups and dietary patterns were assessed using the Dietary Diversity Score. Analyses were conducted using Excel 2016 and IBM SPSS Statistics version 28.
Results
Most lunch menus (89%) included five menu items, with a ratio of grain, meat, and vegetables at 88%. Snack menus typically had one item (57%), with significantly more items in the afternoon compared to the morning (P < 0.001). Regarding snack patterns, 75.2% of morning snacks and 61.1% of afternoon snacks contained only one solid food and drink (P < 0.001). Fruit and milk (22.4%) was the most prevalent pattern in morning snacks, while grain and milk (31%) dominated afternoon snacks (P < 0.001). Only 48% of daycare center menus (all snacks and lunch) included all five food groups (grain, meat, vegetables, fruit, and milk). Notably, only 83% included milk and 57% included fruit.
Conclusions
These findings highlight the need to improve food variety and diversity in the Center for Children’s Foodservice Management-managed daycare center menus. Developing more detailed guidelines for menu structure and food composition is crucial to ensure children receive balanced and diverse nutrition.
This study aimed to analyze menu patterns and food group diversity in daycare centers managed by the Center for Children's Foodservice Management in South Korea.
Data from 18 Center for Children's Foodservice Management centers across various provinces (excluding Jeju Island) were analyzed. We examined 8,796 meals served in February, May, August, and December 2021, focusing on seasonal lunch and snack menus for children aged 3-5. Foods were categorized into 19 groups for lunch and 21 for snacks. The frequency of food groups and dietary patterns were assessed using the Dietary Diversity Score. Analyses were conducted using Excel 2016 and IBM SPSS Statistics version 28.
Most lunch menus (89%) included five menu items, with a ratio of grain, meat, and vegetables at 88%. Snack menus typically had one item (57%), with significantly more items in the afternoon compared to the morning (P < 0.001). Regarding snack patterns, 75.2% of morning snacks and 61.1% of afternoon snacks contained only one solid food and drink (P < 0.001). Fruit and milk (22.4%) was the most prevalent pattern in morning snacks, while grain and milk (31%) dominated afternoon snacks (P < 0.001). Only 48% of daycare center menus (all snacks and lunch) included all five food groups (grain, meat, vegetables, fruit, and milk). Notably, only 83% included milk and 57% included fruit.
These findings highlight the need to improve food variety and diversity in the Center for Children’s Foodservice Management-managed daycare center menus. Developing more detailed guidelines for menu structure and food composition is crucial to ensure children receive balanced and diverse nutrition.
여성의 사회 활동으로 맞벌이 가정이 늘어남에 따라 어린이집과 같은 영유아 대상 보육시설에 대한 수요가 점차 증가하고 있다. 「영유아보육법」 제2조의 영유아는 6세 미만의 취학 전 아동이고, 어린이집은 보호자의 위탁을 받아 영유아를 보육하는 기관[1]을 뜻한다. 2022년 말 기준 보육통계[2]에 따르면 30,923개의 어린이집이 운영되고 있으며, 전체 영유아 수의 약 50%에 해당하는 110만여 명이 어린이집을 이용하고 있다. 이는 전통적으로 가정에서 이루어지던 영유아의 식생활이 어린이집에서 큰 비중을 차지하고 있어 어린이집이 영유아의 영양섭취에 매우 중요한 역할을 하고 있다는 뜻이기도 하다. 어린이집의 급식 제공은 영유아의 영양 섭취 상태에 긍정적인 영향을 미칠 수 있으므로[3] 어린이집에서는 식사와 간식 등의 영양 관리를 철저히 수행하여야 한다[4].
「영유아 보육법 시행규칙」 제34조와 어린이집 평가 매뉴얼에 따르면, 어린이집 급식은 급식관리 규정에 따라 영양사가 작성한 식단(오전 간식, 점심, 오후 간식 포함)에 의해 공급되어야 하며, 영유아 100인 미만을 보육하는 시설의 경우에는 「어린이 식생활안전관리 특별법」 제21조의 2에 따라 어린이급식관리지원센터에 등록하고 어린이급식관리지원센터 등의 영양사 지도를 받아 식단을 작성하도록 하고 있다[5]. 2022년 말 기준 보육통계에 따르면 현원이 100인 이상 규모의 어린이집은 전체의 4.0%에 미치지 못하여 대부분의 어린이집은 어린이급식관리지원센터에서 제공하는 식단을 사용하고 있는 실정이다[2].
유아기에는 신체적 성장이 빠르게 일어나고 활동량 또한 많아 체중 당 열량 및 영양소의 필요량이 높다[6]. 또한 하루 세끼의 식사를 통해 영양소와 열량을 충분히 섭취하기 어렵고, 유아는 치아 및 소화기계 발달이 미완성으로 식사뿐만 아니라 간식으로 1일 영양소 필요량을 충족시켜야 한다[6]. 영유아 단체급식 가이드라인 1인 1회 적정 배식량에 따르면 점심 및 오전·오후 간식은 하루 열량 대비 48%를 제공하고 있어서 실제로 유아가 섭취하는 간식은 질적인 면과 양적인 면에서 하루 열량 및 영양소 섭취에 많은 부분 기여하고 있는 것으로 보고되었다[4, 7, 8]. 여러 선행연구의 보고에 따르면 유아기의 잘못된 영양 섭취는 비만 및 빈혈, 성장지연, 충치, 비염과 같은 알레르기성 질환 등의 질병 유병률과 관련성이 있는 것으로 보고되고 있다[8, 9, 10]. 또한, 유아기에 형성한 식습관은 쉽게 변하지 않고 생애 주기의 건강 문제와 관련이 많은 것으로 보고되었다[11, 12]. 그러므로 유아기의 영양 상태는 청소년기, 성인기까지의 성장과 인지 발달 및 건강에 이르기까지 밀접한 영향을 주는 단계로써 올바른 식습관 형성뿐만 아니라 균형 있게 영양소를 섭취하는 것이 매우 중요하다[8, 13].
그러나 어린이집 급식에 대한 기존의 연구를 살펴보면, 어린이집의 간식식단에 대한 다양성, 기호도, 영양분석 등에 대한 내용이 대부분이었다[4, 13, 14, 15]. 이에 본 연구는 어린이집 점심 및 간식식단에서 어린이급식관리지원센터의 4개 권역별(수도권, 충청권, 경상권, 전라권), 제공 시간별(오전 간식, 오후 간식) 식품군 및 음식군의 다양성을 분석함으로써 어린이집 식단을 계획하기 위한 기초자료를 제시하고자 한다.
Ethics statementObtainment of informed consent was exempted by the institutional review board of Suwon University (approval number: IRB No. 2108-045-01) |
조사 대상 어린이급식관리지원센터 선정 방법은 2022년 기준으로 제주도를 제외한 전국 232개소의 어린이급식관리지원센터 중 권역에 따라 모집단을 층으로 나누고, 다시 어린이급식관리지원센터의 규모에 따라 1-3억(110기관), 4억 이상 센터(122기관)로 분류한 뒤 표본 추출하여 총 18개 센터로 선정하였다. 어린이급식관리지원센터 식단의 지역별 다양성을 파악하고자 수도권(서울특별시, 인천광역시, 경기도, 강원도), 충청권(대전광역시, 충청남도, 충청북도), 경상권(대구광역시, 부산광역시, 울산광역시, 경상남도, 경상북도), 전라권(광주광역시, 전라남도, 전라북도)의 4권역으로 나누었다[16]. 식단의 계절적 특성을 반영하기 위해 2021년 봄(5월), 여름(8월), 가을(11월), 겨울(2월) 월요일부터 금요일까지 점심 및 간식식단을 조사대상으로 하였다. 어린이집 식단은 어린이급식관리지원센터의 홈페이지에 게시된 만 3-5세 점심 및 간식식단 자료를 수집하였고, 월간 식단 중에서 점심식단은 동일하고 간식식단 유형만 변경되는 경우, 점심식단은 제외하고 간식식단만 분석에 이용하였다. 그 결과 최종적으로 월간식단표 44종, 식단 8,796개, 음식 18,489개를 분석 대상으로 분류하였다. 식단에 사용된 식재료와 조리법은 식단표에 제시된 음식명을 기준으로 조사하였다.
음식 개수는 각 점심식단 및 오전·오후 간식식단에 제공된 음식명의 개수를 계산하여 구하였다. 이때 장 및 양념류는 제외하였다[4, 14]. 예를 들어 간식 메뉴가 ‘우유’인 경우에는 가짓수를 ‘1’로, ‘과일’과 ‘우유’의 경우에는 가짓수를 ‘2’로 계산하였다.
어린이집 점심식단에서 음식군의 상대적인 중요도를 평가하기 위해 제공된 음식을 조리법을 기준으로 19가지 음식군으로 분류하고[17, 18, 19], 제공 비율을 조사하였다. 주식류는 밥류(쌀밥, 잡곡밥)와 일품식류(볶음밥, 비빔밥, 덮밥, 김밥과 빵류, 면 및 만두류)로, 국류는 국 및 탕류, 찌개류, 수프류로, 반찬류는 김치류, 나물 및 생채류, 찜류, 구이류, 볶음류, 전 및 부침류, 조림류, 튀김류, 샐러드류, 장아찌류, 생채소류로, 후식류는 유제품류, 음료 및 차류, 과일류 및 푸딩으로 구분하였고, 각각의 음식군은 4가지 음식 유형인 주식류, 국류, 반찬류, 후식류로 식사에서의 역할에 따라 다시 구분하였다[17].
주식류, 국류, 반찬류, 후식류로 무슨 음식을 활용하고 있는지 살펴보기 위해 음식유형별에 따라 다빈도로 제공된 상위 10-20개의 음식을 구하였다. 이때 주재료와 주조리법이 같은 음식은 동일한 음식으로 분류했다.
어린이집 간식식단에서 식품군의 상대적인 중요도를 평가하기 위해 제공된 음식을 주재료와 조리법을 기준으로 21가지 세부 식품군으로 분류하고, 제공 비율을 조사하였다. 식품군은 ‘한국인 영양소 섭취기준[21]’과 선행연구[4, 15]를 참고하여 곡류(G: Grains), 고기·생선·달걀·콩류(M: Meat, Fish, Eggs and Beans), 채소류(V: Vegetables), 과일류(F: Fruits), 우유 및 유제품류(D: Milk)의 식품군과 음료류(B: Beverages)를 포함하여 여섯 가지로 분류하였다. 이를 세부 식품군으로 분류하여 곡류는 죽류, 빵류, 떡류, 면류 및 만두류, 감자류(찐감자, 군고구마), 곡류가공류(시리얼, 핫케이크, 수프), 밥류(주먹밥, 김밥, 유부초밥)로, 고기·생선·달걀·콩류는 육류(탕수육, 치킨너겟), 어패류(핫바, 어묵탕), 콩류(두유, 연두부), 난류, 견과류(아몬드, 호두)로, 채소류는 숙채소, 생채소로, 우유 및 유제품류는 우유, 호상요구르트, 액상요구르트, 치즈로, 음료류는 차류와 주스 및 기타(과일라테, 셰이크)로 구분하여 분석하였다. 단, 식용유, 설탕 등 유지·당류는 식단을 작성할 때 포함하지 않으며, 조리시 사용하는 양도 섭취 횟수 범위 내로 제시하고 있어 별도의 식품군으로 분류하지 않았다.
곡류, 고기·생선·달걀·콩류, 채소류, 과일류, 음료류로 어떤 음식을 활용하고 있는지 살펴보기 위해 세부식품군별 다빈도로 제공된 상위 5-10개의 음식을 조사하였다. 이때 주재료와 주조리법이 동일한 음식은 같은 음식으로 분류했다.
간식식단 패턴은 메뉴 품목명을 기준으로 ‘음료’와 ‘고형음식’ 조합으로 5가지 유형으로 구분하였다. 음료는 Beverage(B)로, 고형음식은 Food(F)로 명명하였다. 즉, 간식의 유형은 음료만 제공된 경우 Beverage(B), 고형음식만 제공한 경우 Food(F), 고형음식을 두 개 제공한 경우 Food + Food(F + F), 음료와 고형음식을 각 한 개씩 제공한 경우 Food + Beverage(F + B), 음료 한 개와 Food 두 개를 제공한 경우 Food + Food + Beverage(F + F + B) 패턴으로 구분하였다[4]. 이때 모닝빵 + 딸기잼의 경우는 고형음식 1개로 분류하고, 죽의 경우는 고형음식으로 구분하였다. 간식식단의 식품군 식단 패턴은 19개 세부 식품군의 조합을 의미하며, 간식식단 세부 식품군 패턴을 다빈도로 제공하는 상위 3-5개의 식단을 구하였다.
식품군 패턴(GMVFD: Grain, Meat, Vegetable, Fruit, Dairy)은 곡류, 육류, 채소류, 과일류, 우유 및 유제품의 다섯가지 식품군을 이용하였으며, 식품군의 명칭으로 명명하였다. 또한 제공된 식단의 음식명을 기준으로 각각의 식품군이 제공되지 않았으면 ‘0’, 제공되었으면 ‘1’로 패턴화하였다[4, 22, 23]. 곡류군에는 밥·죽류, 떡·빵류, 면류, 감자류, 곡류가공류를 모두 포함시켰으며, 육류군에는 고기, 생선, 콩류, 난류를 포함시켰다. 채소군에는 익힌 채소와 익히지 않은 채소를 모두 포함시켰고, 과일군에는 모든 과일류를 포함하였고, 과일주스의 경우도 과일군으로 분류하였다. 한 가지 음식에 두 가지 이상의 식품군이 포함되면 복수 코딩하였다. 예를 들어 ‘쇠고기미역국’의 경우, 육류의 ‘고기류’, 채소류의 ‘숙채소’에 모두 포함하는 식품군 품목이므로 육류 및 채소류의 식품군으로 복수로 코딩하고, 사과잼핫케이크와 같이 소스류가 메뉴명에 표시되어 있으면 복수로 코딩 후에 분석하였다.
식품군 점수(DDS: Dietary Diversity Score)는 곡류, 육류, 채소류, 과일류, 우유 및 유제품류 중 제공한 각 식품군의 개수를 점수화하여, 각각의 식품군이 제공되었을 경우 1점씩을 더하여 5점 만점으로 계산하였다[4, 22, 23]. 예를 들어 간식식단이 '찐 단호박 + 우유'인 경우에는 채소류와 우유 및 유제품류에 포함되므로 식품군 패턴은 '00101'이고, 식품군 점수는 2점으로 계산하였다.
식품군 패턴(GMVFD)과 식품군 점수(DDS)는 육류군, 채소군, 과일군와 같은 고형식품은 30 g, 곡류군은 60 g, 액체류는 60 g, 유제품군은 200 g 이상 최소 섭취한 경우 점수를 부여한다[4, 23]. 그러나 이는 성인 섭취량으로 유아 식단에 적용하기는 어렵고, 또한 본 연구에서는 실제 제공량을 고려하지 않고, 식단에 제시되어 있는 메뉴명만을 조사하였기 때문에 식단표의 명시 여부만을 반영하여 식품군 패턴(GMVFD)과 식품군 점수(DDS)를 계산하였다.
본 조사는 어린이급식관리지원센터에서 제공한 어린이집 식단을 권역별(수도권, 충청권, 전라권, 경상권), 제공 시간별(오전 간식, 점심, 오후 간식)로 비교하였다. 분석 결과는 평균과 표준편차 또는 빈도와 백분율로 나타내었다. 분포의 차이는 χ2-검정을 실시하였고, 기대빈도가 5보다 작은 셀의 수가 전체 셀의 25% 이상인 경우 Fisher 정확검정을 실시하였다. 항목에 따른 평균값의 차이는 독립 t-검정 또는 일원분산분석과 Duncan의 사후분석을 실시하였다. 모든 자료는 Excel 2016과 IBM SPSS Statistics 28 (IBM Corporation, Aromnk, NY, USA)을 이용하여 분석하였다.
점심식단 한 끼 당 제공된 평균 음식 개수는 평균 4.89개로 조사되었고, 권역별로는 수도권(4.86개), 충청권(4.87개), 경상권(4.90개)보다 전라권(4.95개)이 가장 많았다(Table 1). 점심식단 한 끼 당 5가지 음식을 제공하는 경우가 88.6%로 조사되었고, 권역별로는 수도권 85.5%, 충청권 86.6%, 전라권 92.9%, 경상권 90.0%로 조사되었다. 음식의 개수가 3개인 경우는 일품식(김밥, 덮밥)이었고, 6개인 경우는 온두부와 돈육김치볶음, 상추쌈과 같이 추가로 제공된 경우였다. 계절별로는 봄이 평균 4.92개, 가을과 겨울이 평균 4.88개로 조사되었다.
Table 1
Number of menu items in the lunch menu
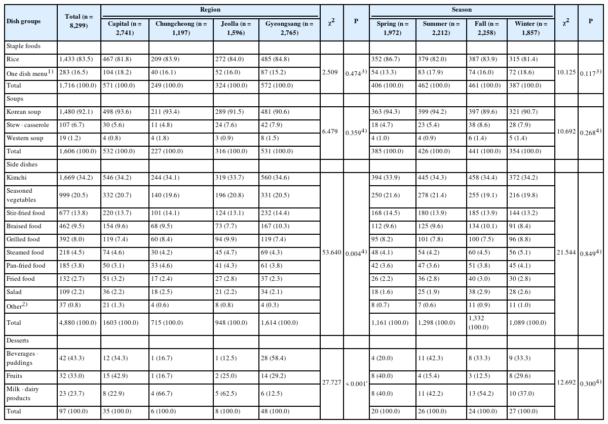
점심식단에서의 음식군별 제공 비율(Table 2)은 식단의 주식류는 흰쌀밥 및 잡곡류가 83.5%, 국류는 국류 및 탕류가 92.1%, 반찬류 중에는 김치류(34.2%), 나물·생채류(20.5%), 볶음류(13.8%), 조림류(9.5%), 구이류(8.0%) 순으로 제공되었고, 후식류는 음료류가 43.3%였다. 권역별로 음식군의 제공 비율을 살펴본 결과, 반찬류(P < 0.001), 후식류(P < 0.01)에서 유의적인 차이가 있었다. 반찬류의 제공 비율은 수도권, 충청권, 경상권은 김치류, 나물·생채류, 볶음류, 조림류 순이었고, 전라권에서 김치류, 나물·생채류, 볶음류, 구이류 순으로 유의적인 차이가 있었다(P < 0.01). 후식류는 수도권에서 과일류(42.9%), 충청권에서 우유류(66.7%), 전라권에서 우유류(62.5%), 경상권에서 음료류(58.4%)가 가장 높았다(P < 0.001). 계절별로 음식군의 제공 비율은 유의적인 차이가 없었다.
Table 2
Frequency of serving of dish groups in the lunch menu
점심식단의 다빈도 제공 음식을 살펴보면(Table 3), 주식류는 쌀밥(21.7%), 국류는 미역국(6.5%), 반찬류는 배추김치(23.2%), 후식류는 숭늉(33.0%) 제공 비율이 가장 높았다.
Table 3
Frequency of foods served in the lunch menu
주식의 형태에 따른 음식 개수의 차이를 살펴보면(Table 4), 주식이 일품식(4.31개)일 경우보다 밥인 경우, 한 끼 당 제공된 평균 음식 개수가 5.00개로 유의적으로 많았다(P < 0.001). 다섯 가지 식품군을 모두 포함하는 패턴(11111)의 비율은 밥이 주식(0.6%)일 경우보다 일품식이 주식일 경우(2.2%)에서 높은 결과로 조사되었다(P < 0.001). 식품군 점수는 일품식이 주식일 경우가 3.35점으로 밥이 주식일 경우의 3.08점보다 유의적으로 높았다(P < 0.001).
Table 4
Comparison of diet diversity according to the type of lunch meal staples
오전 및 오후 간식식단 음식 개수(Table 5)는 평균 1.44개의 음식을 포함하고 있었고, 제공 시간에 따라 오전 간식은 평균 1.18개, 오후 간식은 평균 1.70개로 오후 간식의 음식 개수가 유의적으로 더 많았다(P < 0.001). 오전 간식은 81.7%가 한 가지 음식으로 구성되어 있고, 오후 간식은 68.7%가 두 가지 음식으로 구성되어 오후 간식의 음식의 개수가 더 많았다(P < 0.001). 어린이급식관리지원센터 권역별로 간식의 음식 개수는 충청권이 1.49개로 가장 많고, 경상권이 1.40개로 가장 적었고(P < 0.001), 계절별로는 유의적인 차이가 관찰되지 않았다.
Table 5
Number of menu items in the snack menu
간식식단의 식품군별 제공 비율의 결과(Table 6)는 전체 간식식단 중 곡류(48.2%), 우유 및 유제품류(22.9%), 과일류(15.1%), 음료류(6.2%), 채소류(5.5%), 고기·생선·달걀·콩류(2.0%)를 포함하였다. 오전 간식과 오후 간식은 간식식단의 식품군별 제공 비율에서 유의적인 차이가 있었다(P < 0.001). 제공 시간별 식품군에 따른 제공 비율 결과로 곡류, 고기·생선·달걀·콩류, 채소류, 우유 및 유제품류, 음료류에서 유의적인 차이가 있었다(P < 0.001). 곡류에서 오전 간식 곡류의 제공 비율은 죽류(87.0%), 면·만두류(7.0%)가 높은 비율로 제공되었고, 오후 간식에는 빵류(26.1%), 떡류(23.4%), 면·만두류(17.0%), 감자류(16.9%)의 순으로 제공되었다. 고기·생선·달걀·콩류의 경우에서 오전 간식은 견과류(91.4%)를 제공하였고, 오후 간식은 콩류(38.8%), 난류(19.4%), 육류(18.8) 순이었다. 채소류의 경우 오전 간식은 생채소류(97.0%)의 제공 비율이 더 높았고, 오후 간식은 숙채소류(59.9%)의 제공 비율이 더 높았다. 과일류의 경우 오전 간식에서 제공 비율이 높았고, 우유 및 유제품류는 오전 간식과 오후 간식 모두 우유(57.9%, 80.0%)의 제공 비율이 높았다. 음료류는 오전 간식에서는 주스류(96.0%), 오후 간식에서는 차류(71.7%)의 제공 비율이 높았다. 간식식단의 권역별 식품군별 제공 비율 결과는 곡류(P < 0.001), 고기·생선·달걀·콩류(P < 0.001), 채소류(P < 0.05), 우유 및 유제품류(P < 0.001), 음료류(P < 0.001)에서 유의적인 차이가 있었다. 곡류의 제공 비율은 수도권에서 죽류(37.3%), 면 및 만두류(15.6%), 빵류(15.2%), 떡류(13.0%) 순이고, 충청권에서 죽류(30.6%), 빵류(20.3%), 면 및 만두류(17.2%), 떡류(12.9%) 순이고, 전라권과 경상권에서 죽류(42.6%, 47.5%), 빵류(13.5%, 12.6%), 떡류(12.5%, 12.4%), 면 및 만두류(9.3%, 8.3%) 순으로 조사되었다(P < 0.001). 고기·생선·달걀·콩류의 제공 비율 중 수도권과 전라권은 견과류가 26.2%, 34.3%이고, 충청권과 경상권은 콩류가 32.1%, 58.4%로 높았다(P < 0.001). 채소류의 제공 비율은 수도권, 충청권, 경상권에서 생채소류가 62.7%, 62.7%, 65.0%이고, 숙채소류가 전라권에서 55.3%로 높았다(P < 0.05). 우유 및 유제품류의 제공 비율은 수도권, 충청권, 전리권, 경상권에서 모두 우유류가 70.1%, 75.7%, 79.3%, 71.3%로 높았다(P < 0.001). 음료류의 제공 비율은 수도권, 충청권, 전리권, 경상권에서 모두 차류가 65.4%, 64.7%, 75.0%, 72.8%로 높았다(P < 0.001). 간식식단의 계절별 식품군별 제공 비율 결과(Table 6), 고기·생선·달걀·콩류에서 봄, 여름, 가을은 콩류가 37.8%, 41.8%, 38.0%, 겨울은 견과류(30.2%), 난류(23.8%) 순으로 높았다(P < 0.05). 채소류는 봄, 여름, 가을, 겨울의 생채소 제공비율이 높았다(P < 0.05).
Table 6
Frequency of foods served in the snack menu
간식식단의 다빈도 제공 음식을 살펴보면(Table 7), 곡류는 찐 고구마(3.8%), 고기·생선·달걀·콩류는 두유(26.8%), 채소류는 토마토(26.4%), 과일류는 사과(12.7%), 우유 및 유제품류는 우유(72.9%), 음료류는 보리차(27.1%)의 제공 비율이 가장 높았다.
Table 7
Frequently served foods in snack menu
간식식단의 패턴을 살펴본 결과(Table 8), 고형음식(Food)을 한 개 포함한 패턴의 비율이 53.2%로 가장 많고, 그다음으로 고형음식과 음료(Food + Beverage)를 한 개씩 포함한 비율이 36.9%, 고형음식과 고형음식(Food + Food)을 한 개씩 포함한 비율이 5.6%, 음료(Beverage)를 한 개만 포함한 비율이 3.8% 순이었다. 오전 간식은 고형음식 한 개 포함한 패턴(Food)이 75.2%로 가장 높았고, 오후 간식은 고형음식과 음료를 한 개 포함한 패턴(Food + Beverage)이 61.1%로 가장 높았다(P < 0.001). 권역별 간식식단 패턴은 수도권, 충청권, 전라권, 경상권에서 고형음식(Food)을 한개 포함한 패턴(51.6%, 42.4%, 56.0%, 58.1%)이, 고형음식과 음료(Food + Beverage)를 한 개씩 포함한 패턴(36.6%, 32.0%, 39.6%, 37.9%) 순이었다(P < 0.001). 계절별 간식식단 패턴은 유의적인 차이가 관찰되지 않았다.
Table 8
Frequency of snack patterns
다빈도 간식식단의 식품군 식단 패턴 비율(Table 9)을 보면, 고형음식(Food)을 한 개 포함한 다빈도 음식군 식단 패턴은 죽(27.0%), 과일(9.4%), 면(4.5%) 순으로 많이 제공되었고, 음료(Beverage)를 한 개 포함한 다빈도 패턴은 우유(2.3%), 요구르트(0.9%), 미숫가루와 같은 곡류가공(0.3%) 순으로 많이 제공되었다. 고형음식과 음료(Food + Beverage)를 한 개씩 포함한 패턴은 과일·채소 + 우유(8.1%), 빵 + 우유(5.9%), 감자 + 우유(3.9%) 패턴 순으로 많이 제공되었고, 고형음식을 두 개 포함한 패턴(Food + Food)은 과일·채소 + 치즈(1.7%), 과일·채소 + 면(0.8%), 과일·채소 + 죽(0.8%) 순이었다. 고형음식은 두 개, 음료 한 개를 포함한 패턴(Food + Food + Beverage)은 빵 + 우유 + 과일·채소가(0.2%) 제일 높은 비율로 제공하였다.
Table 9
Frequency ranking of food item patterns in the snack menu
어린이집 점심 및 간식식단을 모두 포함한 식단이 다양한 식품군으로 구성되었는지를 조사한 결과(Table 10), 다섯 가지 식품군으로 구성된 패턴(11111)은 48.3%, 곡류, 육류, 채소류, 우유 및 유제품류로 구성된 패턴(11101)은 34.7%, 곡류, 육류, 채소류, 과일류로 구성된 패턴(11110)은 8.4%, 곡류, 육류, 채소류로 구성된 패턴(11100)은 8.4% 순이었다. 식품군 점수 전체 평균은 4.40점으로 4가지 이상 식품군을 제공하는 것으로 조사되었다. 권역별 식품군 패턴 결과, 수도권은 다섯 가지 식품군 중 과일군이 없는 식품군 패턴(11101)이 43.7%로 가장 많았고, 충청권, 전라권, 경상권은 다섯 가지 식품군을 모두 포함한 패턴(11111)이 57.3%, 49.7%, 51.9%로 가장 많았다(P < 0.001). 계절별 식품군 패턴 결과의 유의한 차이는 관찰되지 않았다.
Table 10
Frequency of food group patterns and dietary diversity score in lunch and snack meals
어린이급식관리지원센터 18개소가 어린이집에 제공하는 식단을 분석한 결과, 권역별과 제공시간별로 식품군 및 음식군 다양성에 차이가 있었고, 계절별로는 차이가 관찰되지 않았다. 어린이집 점심식단의 메뉴 개수는 평균 4.89개이고, 전라권은 4.95개로 가장 많았다. 간식식단의 메뉴 개수는 전체 평균 1.44개, 오전간식 평균 1.18개, 오후간식 평균 1.70개를 제공하였고, 권역별로는 충청권(1.49개)이 경상권(1.40개)보다 많았다. 학교급식 점심식단을 평가한 연구[20]에서도 초등학교 급식은 한 끼 당 평균 후식 포함 6.20개, 후식을 제외하면 4.99개이었고, 어린이집 급식은 간식을 별도로 제공하고 있어서 학교급식 식단에서 후식을 제외한 음식 개수와 유사하였다. 서울 소재 어린이집 간식의 다양성의 선행연구[4]에서는 어린이집 간식식단은 전체 평균 1.68개, 오전 간식 1.63개, 오후 간식은 평균 1.74개의 음식을 제공하여 본 조사보다 음식 개수가 더 많았다. 전북지역 어린이집 간식식단의 다양성의 선행연구[14]는 간식 메뉴 품목의 평균값은 1.38개이며, 오전 간식 1.21개, 오후 간식 1.59개로 본 조사와 비슷한 결과를 나타냈다.
점심식단에서 음식군별 제공비율은 흰쌀밥과 잡곡밥류를 주식으로 한 식단이 83.5%로 대부분을 차지하고 있었다. 반찬류 중에는 김치류(34.2%), 나물·생채류(20.5%), 볶음류(13.8%), 조림류(9.5%), 구이류(8.0%) 순으로 제공되었다. 충북지역 학교급식 식단의 음식명을 분석한 선행연구[24]를 살펴보면, 김치류를 제외하고 나물 및 생채류(31.3%), 볶음류(24.7%), 조림류(17.0%), 튀김류(8.6%)의 순으로 어린이집 식단과 나물 및 생채류 제공 비율이 높은 부분이 비슷하였다. 또한 식재료를 튀기면 식감이 더 단단해져 어린이집 식단에서는 튀김류 제공 비율이 2.7%로 낮은 것으로 여겨진다. 그러나 어린이집 식단에서 볶음류 비율이 높은 편으로 구이, 찜 등보다 비교적 유지류의 사용량이 많은 조리법이다. 2021년 유치원급식 운영·영양관리 안내서[25]에 따르면 주의해야 할 음식으로 기름을 많이 사용한 튀김류, 볶음류 음식은 유아들의 씹는 능력이나 소화성을 고려할 때 음식으로 제공하기 부적절하다고 제시하고 있다. 따라서 튀김이나 볶음보다는 찜이나 조림 등을 식단에 포함시키는 노력이 필요할 것이다. 그러나 영양소 손실을 줄일 수 있는 효율적인 전통 조리방법인 찜이나 구이는 단체급식의 특성상 특정 조리도구가 필요하고, 조리 강도가 높아 음식의 활용이 제한적인 것으로 생각된다. 실제로 영양(교)사들은 찜이나 구이의 조리방법이 복잡하여 학교급식에 적용하기 어려운 점으로 지적하였다[22, 26]. 어린이집 급식에서도 활용하기 용이한 찜이나 구이류 조리방법의 개발이 필요할 것으로 보인다.
나물 및 생채류의 제공 비율은 20.5%로 나물이 전통적인 반상차림에서 밥, 국, 김치와 함께 반드시 포함되는 음식군임을 감안할 때, 나물 및 생채류의 제공은 중요하다고 생각된다. 그뿐만 아니라 나물은 건강학적으로 우수한 음식이다. 한국의 전통 조리법을 그 원인 중 하나로 설명하였다. 즉 채소를 삶거나 데친 뒤 소량의 참기름을 첨가하는 방법은 다량의 유지로 볶는 중국식 채소 조리 방법과는 다르다는 점이다[20, 27]. 따라서 나물은 채소류 섭취량은 늘리고, 지방 섭취는 감소시키는 바람직한 조리법이라고 할 수 있다. 그러나 2020 국민건강통계[28]에 따르면 우리나라 국민의 육류, 음료류 섭취는 매년 증가하는데, 채소류 섭취량은 2010년 294.1 g에서 2020년 247.7 g으로 계속 감소하고 있으며, 국민영양통계[29]에서 3-5세 채소류 섭취량이 97.4 g으로 조사되었다. 만 3-5세 유아의 식생활 평가 결과[8]에서 식품군에서 채소류 섭취량은 남아 97.8 g, 여아 94.5 g이었고, 음식군에서 숙채 및 나물류의 섭취량은 남아 8.3 g, 여아 9.5g, 무침 및 생채류 섭취량은 남아 6.0 g, 여아 6.3 g으로 조사되었다. 학교급식에서 기호도 조사 결과를 보면, 볶음류, 전류, 튀김류, 구이류는 기호도가 높았던 반면, 김치류, 생채 및 숙채는 기호도가 낮았다[26, 30].
주식의 형태에 따른 음식 개수의 차이를 살펴보면, 주식이 일품식(4.31개)일 경우보다 밥류인 경우, 한 끼 당 제공된 평균 음식 개수가 5개로 유의적으로 많았다(P < 0.001). 그러나 다섯 가지 식품군을 모두 포함하는 패턴(11111)의 비율이 밥류가 주식(0.6%)일 경우보다 일품식이 주식일 경우(2.2%)에서 높은 결과로 나타났다(P < 0.001). 식품군 점수는 일품식이 주식일 경우가 3.36점으로 밥류가 주식일 경우의 3.08점보다 유의적으로 높았다(P < 0.001). 주식을 일품식으로 제공하는 경우 국과 반찬 가짓수는 줄이고, 후식을 추가하는 방향으로 식단이 구성하는 것으로 판단된다. 한 끼 당 제공된 평균 음식 개수와 식품군 점수가 상반된 결과를 나타내 주식의 유형에 따른 식단의 영양학적인 평가가 보다 구체적인 연구로 이어져야 할 것으로 판단된다.
간식식단의 식품군별 제공 비율은 오전 간식에서 곡류, 과일류 제공 비율이 많았고, 오후 간식은 고기·생선·달걀·콩류, 채소류, 우유 및 유제품류, 음료류가 더 많이 포함되어 있었다. 전북지역 어린이집 간식식단의 다양성의 선행연구[14]에서 곡류는 오후 간식에, 채소류와 과일류는 오전 간식에서 제공 비율이 높고, 서울 소재 어린이집 간식의 다양성의 선행연구[4]에서 곡류는 오후 간식에, 과일류와 우유 및 유제품류는 오전 간식에 더 많이 포함되어 있었다. 본 연구에서는 곡류가 오전 간식에서 비율이 높아 차이가 있었다.
제공 시간별 식품군에 따른 제공 비율 결과에서 곡류의 경우, 오전 간식은 죽류(87.0%), 오후 간식에는 빵류(26.1%), 떡류(23.4%)의 순으로 제공되었다. 고기·생선·달걀·콩류의 경우에 오전 간식은 견과류(91.4%)를 제공하였고, 오후 간식은 콩류(38.8%) 순이었다. 채소류의 경우 오전 간식은 생채소류(97.0%)의 제공 비율이 더 높았고, 오후 간식은 숙채소류(59.9%)의 제공 비율이 더 높았다. 과일류의 경우 오전 간식에서 제공 비율이 높았고, 우유 및 유제품류는 오전 간식과 오후 간식 모두 우유(57.9%, 80.0%)의 제공 비율이 높았다. 음료류는 오전 간식에서는 주스류(96.0%), 오후 간식에서는 차류(71.7%)의 제공비율이 높았다. 전북지역 어린이집 간식식단의 다양성의 선행연구[14]결과, 곡류의 경우 오전 간식은 죽류, 오후 간식에서는 밀가루식품류(우동 등), 빵류, 떡류, 밥류의 순으로 제공되었다. 고기·생선·달걀·콩류의 경우는 오전 간식에 육류, 오후 간식에서 가공육류, 채소류는 오전·오후 간식에서 모두 숙채소, 과일류의 경우는 오전 간식에 과일류, 오후 간식에서 주스류의 제공 비율이 높았다. 우유 및 유제품류는 오전·오후 간식 모두 우유가 높은 비율로 제공되었다. 본 조사에서 오전 간식에 죽류의 제공 비율이 높은 것과 오전·오후 간식 모두 우유가 높은 비율로 제공된 부분이 일치하였다. 어린이급식관리지원센터에서는 어린이집을 대상으로 오전 간식을 죽식으로 구성한 식단(죽식형 식단), 오전 간식을 다양한 메뉴로 구성한 식단(일반형 식단) 등 여러 형태의 식단을 제공하여 각 시설에서 선택 사용하도록 하고 있다. 일반형 식단의 경우 오전 간식은 제철 과일과 우유, 오후 간식은 곡류를 주로 구성하며, 죽식형 식단의 경우 오전 간식은 죽, 오후 간식은 제철 과일과 우유로 구성하는 비율이 높은 편이다. 충남지역 부모의 35.1%는 오전 간식으로 죽을 희망[31]하는 것처럼 오전 간식으로 죽류의 제공하는 비율이 높은 이유는 아침식사를 거르고 등월하는 유아에게 아침 식사 대용으로 죽류를 제공하기 때문일 것이다. 2020년 국민건강통계[28]에 따르면 아침식사를 거르는 1-2세 유아는 1.9%, 3-5세 유아는 2.4%로 점점 증가하는 추세였다. 이를 고려하여 어린이급식관리지원센터는 어린이집 오전 간식을 죽류로 구성한 것으로 판단된다. 그러나 오전 간식으로 죽류의 제공은 점심식사에 영향을 미칠 수 있으므로 부모에게 아침 식사의 중요성을 강조하고, 부모교육으로 오전 간식이 아침식사의 대용이 아님을 전달하고 간식보다는 제때의 식사 중요함[6]을 교육해야 할 것이다.
간식식단에 포함된 주스류는 전체 간식 음식의 약 1.9%이고, 열량을 충분히 섭취할 수 있는 곡류군 위주의 음식에 수분 및 비타민을 같이 보충하기 위해 음료인 주스류를 포함시켰기 때문으로 생각된다. 그러나 주스류는 액상과당 등 당류 함량이 높은 음식으로 되도록이면 과일류는 생과일 형태로 제공되는 것이 바람직할 것이다.
간식식단의 패턴에서 오전 간식은 고형음식 한 개 포함한 패턴(Food)이 75.2%, 오후 간식은 고형음식과 음료를 한 개 포함한 패턴(Food + Beverage)이 61.1%로 가장 높았다(P < 0.001). 어린이급식관리지원센터 식단 운영·관리지침[6]에 따르면, 1일 총 열량의 오전 간식 8%, 중식 28%, 오후 간식 10% 정도로 제공하고, 다음 식사에 영향을 주지 않도록 조절하도록 권장하고 있다. 이러한 원칙에 따라 오전 간식보다 오후 간식에서 열량을 충분히 섭취할 수 있는 간식과 그 외의 영양소를 함유한 간식을 조합하는 형태로 식단을 계획한 것으로 생각된다. 빵 + 우유, 감자 + 우유, 떡 + 우유 패턴이 다빈도 음식군 식단 패턴으로 곡류를 포함하고 있었던 것도 오후 간식을 통해 충분한 열량 섭취를 위한 것으로 생각된다. 권역별 간식식단 패턴은 고형음식(Food) 한 개 포함한 패턴이 수도권 51.6%, 충청권 42.4%, 전라권 56.0%, 경상권 58.1%이었고, 고형음식 + 음료(Food + Beverage) 패턴은 수도권 36.6%, 충청권 32.0%, 전라권 39.6%, 경상권 37.9%이었다(P < 0.001). 전북지역 어린이집 간식식단의 다양성의 선행연구[14]에서 고형음식(Food) 한 개만 포함한 비율이 54.3%, 고형음식 + 음료(Food + Beverage) 36.3% 순으로 많았고, 서울 소재 어린이집 간식의 다양성의 선행연구[4]에서 고형음식과 음료를 각각 한 개씩 포함(Food + Beverage) 식단의 비율이 56.7%, 고형음식 한 개를 포함 (Food) 한 비율이 27.3%로 조사되어 지역 간 차이를 보였다.
어린이집 점심 및 간식식단에서는 다섯 가지 식품군으로 구성된 패턴(11111)은 48.3%, 곡류, 육류, 채소류, 우유 및 유제품류로 구성된 패턴(11101)은 34.7%, 곡류, 육류, 채소류, 과일류(11110)로 구성된 패턴은 8.4%, 곡류, 육류, 채소류로 구성된 패턴(11100)은 8.4% 순이었다. 권역별로 다섯 가지 식품군으로 구성된 패턴(11111)은 충청권(57.3%), 경상권(51.9%), 전라권(49.7%), 수도권(40.0%)로 조사되었다. 식품군 점수 전체 평균은 4.40점으로 4가지 이상 식품군을 제공하는 것으로 조사되었다. 가정과 어린이집에서 섭취한 식품을 모두 포함시킨 유아의 식품 섭취상태를 평가한 선행연구[33]에 따르면 다섯 가지 식품군으로 구성된 패턴(11111)은 34.8%, 곡류, 육류, 채소류, 우유 및 유제품류(11101)로 구성된 패턴이 31.6% 순으로 하루 전체를 조사한 선행연구 결과와 어린이집 식단(오전 간식, 점심, 오후 간식)을 조사한 본 연구 결과가 비슷하였다. 유아의 점심 식사 장소에 따라 영양소와 식품 섭취량에 차이가 있는지를 조사한 선행연구[32]에서 3-5세 유아는 칼륨 및 비타민 C 섭취량이 가정 점심식사군보다 보육기관 점심식사군에서 많았는데, 이는 3-5세 유아들이 보육기관 점심으로부터 채소류, 두류, 어패류를 더 많이 섭취한 결과로, 보육기관 점심이 영양소 균형과 식품 다양성 측면에서 가정 점심보다 나은 것으로 판단하였다. 학교급식 식단을 분석한 선행연구[17]에서는 곡류, 육류, 채소류로 구성된 패턴(11100)이 40.9%, 다섯 가지 기초식품군이 모두 포함된 패턴은 12.6%였고, 식품군 점수는 평균 3.71점이었다. 어린이집 점심식단에서 과일류와 우유류의 제공 비율이 낮은 이유는 어린이집의 경우 오전·오후 간식 급식에서 과일류 또는 우유 및 유제품류 제공 비율이 높기 때문으로 판단된다.
어린이급식관리지원센터 식단 운영·관리지침[6]에는 단백질과 칼슘이 충분히 함유된 매일 1회 이상 우유 및 유제품의 간식을 권장하고 있다. 그러나 밥과 반찬 위주의 우리나라 전통 식생활은 식사 시 우유류를 섭취하기가 어렵다. 따라서 중요한 칼슘 급원인 우유류를 간식으로 추가 섭취하지 않으면, 칼슘 섭취가 부족할 경우가 많다. 어린이집에서는 하루 2회 오전·오후 간식을 제공하는 점을 감안할 때, 어린이집 식단의 83%만이 우유 및 유제품류를 포함하고 있는 부분은 개선되어야 할 점으로 판단된다. 따라서 어린이집 식단의 계획 시에는 우유 및 유제품류가 1회 이상 반드시 포함될 수 있도록 권장해야 할 필요가 있다. 우유 및 유제품류와 함께 비슷하게 전통적인 식사를 통해서는 섭취하기 어려운 과일군을 포함한 비율도 어린이집 급식의 약 57%에 불과하였다. 제공된 식단의 다양성을 평가하는 방법으로 식품군 구성을 나타낸 식품군 패턴을 구하였을 때 무기질과 비타민을 영양소 섭취기준 이상으로 제공하기 위해서는 모든 식품군을 섭취해야 한다고 하였다[23]. 어린이집 부모모니터링단 운영매뉴얼[34]에서 급식관리 지표 중 비타민과 무기질이 풍부한 과일 및 채소는 영양소 파괴를 최소화하여 주 3회 이상 간식으로 제공하도록 강조하고 있고, 다양한 식품의 섭취는 우수한 영양섭취와 연관이 있어[33] 식단 계획 시에 과일의 비율을 높여야 할 것이다. 또한 2023년도 보육사업안내[35]에 따르면 어린이집에서는 급식·간식 재료비를 아동 1인당 1,900원으로 식재료비를 집행하도록 되어 있어 식재료비가 부족한 실정이다. 우유가 매일 제공되는 식단대로 실행할 수 있도록 학교급식법과 같이 학교우유급식 관련 규정을 넣어 우유급식을 활성화할 수 있는 방안과 경기도 건강과일지원사업과 같이 과일을 지원하는 사업이 필요하겠다.
본 연구에서는 어린이집 점심 및 간식식단 작성의 구체적인 지침을 설정하기 위하여 어린이급식관리지원센터에서 제공하는 어린이집 식단을 대상으로 식품군과 음식군의 다양성을 분석하였다. 이를 위해 전국(권역별: 수도권, 충청권, 경상권, 전라권) 어린이급식관리지원센터에서 계통적 표본을 추출하여 18개 센터, 2021년 봄(5월), 여름(8월), 가을(11월), 겨울(2월)에 제공된 만 3-5세 대상의 점심 및 간식식단 8,796개, 음식 18,489개를 분석에 이용하였다. 본 연구결과를 종합해 보면, 식품군의 다양성 측면에서 어린이집 점심 및 간식 식단에서 다섯 가지 식품군을 모두 제공하는 경우는 48.3%이고, 식품군 점수는 4.34점(총점 5점)으로 제공되어 식품군이 다양하지 못하였다. 어린이집의 경우 점심급식과 함께 오전 및 오후 간식 급식을 실시하고 있지만 간식에서도 곡류의 비율이 높아 비타민과 무기질 공급이 부족할 가능성이 있었다. 식사로 섭취하기 어려운 유제품류는 간식으로 제공되는 것이 바람직하나 어린이집 식단의 83%에만 우유 및 유제품류가 포함되어 있었으며, 과일류 제공 비율은 57%에 불과하였다. 따라서 어린이집을 이용하는 유아에게 질적, 양적으로 보다 바람직한 급식을 제공하기 위해서는 점심 및 간식의 기본 형태, 식품군 구성, 음식 유형 등에 대한 보다 통합적이고, 구체적인 지침 및 유아 대상 식단 개발되어야 할 것이다. 본 연구에서는 어린이집 급식에 제공된 식단을 조사한 것이므로 실제로 유아의 섭취량으로 해석하기에는 제한점이 있었다. 따라서 어린이집 급식을 통한 유아의 식습관을 정확하게 파악하기 위해서는 실제 섭취량이나 잔반량 등을 보완해야 할 것이다.
Conflict of Interest:There are no financial or other issues that might lead to conflict of interest.
Funding:This research received no external funding.
The data that support the findings of this study are openly available in at https://ccfsm.foodnara.go.kr/home/
This paper is part of the doctoral’s degree research.
