, 김은정2),†
, Eunjung Kim2),†
1)대구가톨릭대학교 대학원 식품영양학과, 석사
2)대구가톨릭대학교 식품영양학과, 교수
1)Master’s Graduate, Department of Food Science and Nutrition, Daegu Catholic University, Gyeongsan, Korea
2)Professor, Department of Food Science and Nutrition, Daegu Catholic University, Gyeongsan, Korea
© 2024 The Korean Society of Community Nutrition
This is an Open-Access article distributed under the terms of the Creative Commons Attribution Non-Commercial License (http://creativecommons.org/licenses/by-nc/4.0) which permits unrestricted non-commercial use, distribution, and reproduction in any medium, provided the original work is properly cited.
Conflict of Interest
There are no financial or other issues that might lead to conflict of interest.
Funding
This work was supported by research grants from Daegu Catholic University in 2021.
Data Availability
The data that support the findings of this study are openly available in “KNHANES” at https://knhanes.kdca.go.kr/knhanes/.
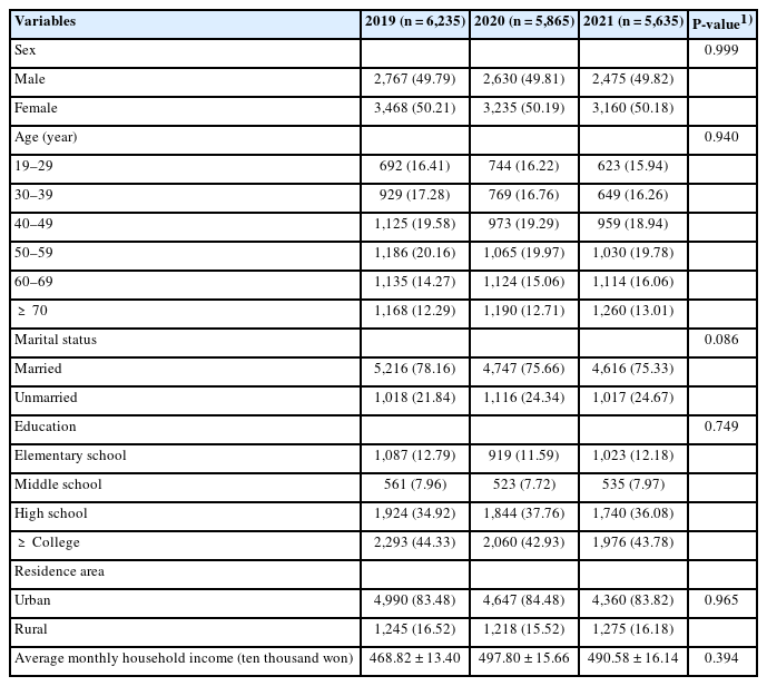
| Variables | 2019 (n = 6,235) | 2020 (n = 5,865) | 2021 (n = 5,635) | P-value1) |
|---|---|---|---|---|
| Sex | 0.999 | |||
| Male | 2,767 (49.79) | 2,630 (49.81) | 2,475 (49.82) | |
| Female | 3,468 (50.21) | 3,235 (50.19) | 3,160 (50.18) | |
| Age (year) | 0.940 | |||
| 19–29 | 692 (16.41) | 744 (16.22) | 623 (15.94) | |
| 30–39 | 929 (17.28) | 769 (16.76) | 649 (16.26) | |
| 40–49 | 1,125 (19.58) | 973 (19.29) | 959 (18.94) | |
| 50–59 | 1,186 (20.16) | 1,065 (19.97) | 1,030 (19.78) | |
| 60–69 | 1,135 (14.27) | 1,124 (15.06) | 1,114 (16.06) | |
| ≥ 70 | 1,168 (12.29) | 1,190 (12.71) | 1,260 (13.01) | |
| Marital status | 0.086 | |||
| Married | 5,216 (78.16) | 4,747 (75.66) | 4,616 (75.33) | |
| Unmarried | 1,018 (21.84) | 1,116 (24.34) | 1,017 (24.67) | |
| Education | 0.749 | |||
| Elementary school | 1,087 (12.79) | 919 (11.59) | 1,023 (12.18) | |
| Middle school | 561 (7.96) | 523 (7.72) | 535 (7.97) | |
| High school | 1,924 (34.92) | 1,844 (37.76) | 1,740 (36.08) | |
| ≥ College | 2,293 (44.33) | 2,060 (42.93) | 1,976 (43.78) | |
| Residence area | ||||
| Urban | 4,990 (83.48) | 4,647 (84.48) | 4,360 (83.82) | 0.965 |
| Rural | 1,245 (16.52) | 1,218 (15.52) | 1,275 (16.18) | |
| Average monthly household income (ten thousand won) | 468.82 ± 13.40 | 497.80 ± 15.66 | 490.58 ± 16.14 | 0.394 |
| Variables | 2019 (n = 6,235) | 2020 (n = 5,865) | 2021 (n = 5,635) | P-value1) |
|---|---|---|---|---|
| Total | ||||
| BMI | ||||
| Underweight | 240 (4.16) | 231 (4.18) | 236 (4.26) | 0.489 |
| Normality | 2,399 (38.70) | 2,015 (33.92) | 1,993 (36.56) | 0.239 |
| Overweight/obesity | 3,532 (57.14) | 3,512 (61.90) | 3,296 (59.18) | 0.002 |
| Height (cm) | 165.09 ± 0.18 | 165.19 ± 0.20 | 165.14 ± 0.20 | 0.938 |
| Weight (kg) | 65.67 ± 0.21 | 66.75 ± 0.25 | 66.25 ± 0.26 | 0.006 |
| Waist measurement (cm) | 83.94 ± 0.20 | 84.78 ± 0.18 | 84.03 ± 0.24 | 0.009 |
| Male | ||||
| BMI | ||||
| Underweight | 66 (2.17) | 70 (2.54) | 70 (2.50) | 0.096 |
| Normality | 857 (30.23) | 672 (23.62) | 688 (27.15) | 0.748 |
| Overweight/obesity | 1,832 (67.60) | 1,857 (73.85) | 1,678 (70.36) | 0.001 |
| Height (cm) | 171.80 ± 0.18 | 172.01 ± 0.20 | 171.96 ± 0.20 | < 0.001 |
| Weight (kg) | 72.79 ± 0.29 | 74.64 ± 0.35 | 73.71 ± 0.35 | < 0.001 |
| Waist measurement (cm) | 87.69 ± 0.23 | 89.24 ± 0.23 | 88.16 ± 0.29 | 0.007 |
| Female | ||||
| BMI | ||||
| Underweight | 174 (6.16) | 161 (5.83) | 166 (6.04) | 0.466 |
| Normality | 1,542 (46.20) | 1,343 (44.31) | 1,305 (46.02) | 0.927 |
| Overweight/obesity | 1,700 (47.64) | 1,655 (49.86) | 1,618 (47.94) | < 0.001 |
| Height (cm) | 157.43 ± 0.17 | 158.36 ± 0.18 | 158.33 ± 0.18 | < 0.001 |
| Weight (kg) | 58.55 ± 0.24 | 58.86 ± 0.24 | 58.79 ± 0.26 | < 0.001 |
| Waist measurement (cm) | 80.21 ± 0.26 | 80.32 ± 0.27 | 80.92 ± 0.29 | < 0.001 |
| Variables | 2019 (n = 6,235) | 2020 (n = 5,865) | 2021 (n = 5,635) | P-value1) |
|---|---|---|---|---|
| Total | ||||
| Depression | 0.218 | |||
| Absense | 128 (45.83) | 113 (39.20) | 112 (42.32) | |
| Presence | 160 (54.17) | 188 (60.80) | 167 (57.68) | |
| Sleep duration/day (hour) | 6.77 ± 0.02 | 6.82 ± 0.02 | NA | 0.136 |
| Sleep duration on weekend (hour) | 7.48 ± 0.03 | 7.49 ± 0.03 | NA | 0.880 |
| Stress detection | 0.709 | |||
| Little | 4,501 (71.42) | 4,207 (70.98) | 4,161 (71.20) | |
| Much | 1,629 (28.58) | 1,590 (29.02) | 1,417 (28.80) | |
| Walking days/week | 4.03 ± 0.06 | 3.83 ± 0.06 | 3.92 ± 0.06 | 0.060 |
| Sitting time/day (hour) | 8.53 ± 0.09 | 8.60 ± 0.10 | NA | 0.680 |
| Muscle workout days/week | 0.87 ± 0.03 | 0.91 ± 0.03 | NA | 0.331 |
| Male | ||||
| Depression | 0.737 | |||
| Absense | 32 (40.13) | 30 (37.43) | 22 (32.91) | |
| Presence | 48 (59.87) | 51 (62.57) | 50 (67.09) | |
| Sleep duration/day (hour) | 6.77 ± 0.03 | 6.77 ± 0.03 | NA | 0.880 |
| Sleep duration on weekends (hour) | 7.57 ± 0.03 | 7.50 ± 0.04 | NA | 0.004 |
| Stress detection | 0.110 | |||
| Little | 2,052 (72.62) | 1,957 (72.44) | 1,906 (75.40) | |
| Much | 664 (27.38) | 647 (27.56) | 554 (24.60) | |
| Walking days/week | 4.08 ± 0.07 | 3.82 ± 0.07 | 3.85 ± 0.07 | 0.883 |
| Sitting time/day (hour) | 8.61 ± 0.10 | 8.66 ± 0.11 | NA | 0.314 |
| Muscle workout days/week | 1.24 ± 0.05 | 1.25 ± 0.05 | 1.27 ± 0.05 | 0.021 |
| Female | ||||
| Depression | 0.404 | |||
| Absense | 96 (48.38) | 83 (39.99) | 90 (43.61) | |
| Presence | 112 (51.62) | 137 (60.01) | 117 (56.39) | |
| Sleep duration/day (hour) | 6.77 ± 0.03 | 6.87 ± 0.03 | NA | 0.120 |
| Sleep duration on weekends (hour) | 7.40 ± 0.04 | 7.48 ± 0.03 | NA | 0.033 |
| Stress detection | 0.224 | |||
| Little | 2,449 (70.24) | 2,250 (69.52) | 2,255 (71.80) | |
| Much | 965 (29.76) | 943 (30.48) | 863 (28.20) | |
| Walking days/week | 3.98 ± 0.07 | 3.84 ± 0.08 | 4.00 ± 0.06 | 0.249 |
| Sitting time/day (hour) | 8.46 ± 0.08 | 8.53 ± 0.09 | NA | 0.071 |
| Muscle workout days/week | 0.50 ± 0.03 | 0.57 ± 0.03 | 0.64 ± 0.03 | 0.002 |
| Variables | 2019 (n = 6,235) | 2020 (n = 5,865) | 2021 (n = 5,635) | P-value1) |
|---|---|---|---|---|
| Weekly breakfast frequency | 0.032 | |||
| Never | 831 (18.08) | 856 (21.71) | 707 (18.89) | |
| 1–2/week | 619 (12.96) | 499 (13.15) | 522 (14.49) | |
| 3–4/week | 520 (11.05) | 390 (10.22) | 362 (9.34) | |
| 5–7/week | 3,448 (57.90) | 2,807 (54.92) | 3,077 (57.28) | |
| Weekly lunch frequency | 0.371 | |||
| Never | 96 (1.84) | 130 (2.81) | 114 (2.29) | |
| 1–2/week | 126 (2.54) | 104 (2.48) | 115 (2.59) | |
| 3–4/week | 293 (5.42) | 236 (5.26) | 259 (5.74) | |
| 5–7/week | 4,903 (90.21) | 4,082 (89.45) | 4,180 (89.38) | |
| Weekly dinner frequency | 0.293 | |||
| Never | 44 (0.87) | 46 (0.96) | 29 (0.62) | |
| 1–2/week | 100 (1.87) | 85 (1.97) | 98 (2.35) | |
| 3–4/week | 364 (7.40) | 266 (6.30) | 258 (6.51) | |
| 5–7/week | 4,910 (89.86) | 4,155 (90.77) | 4,283 (90.52) | |
| Frequency of eating out | < 0.001 | |||
| Never | 417 (3.66) | 548 (10.86) | 699 (12.05) | |
| 1–3/month | 1,045 (19.17) | 963 (18.33) | 1,077 (19.10) | |
| 1–2/week | 1,222 (21.13) | 1,023 (20.34) | 970 (20.41) | |
| 3–4/week | 637 (11.96) | 532 (11.71) | 526 (11.83) | |
| 5–6/week | 869 (16.86) | 631 (15.97) | 650 (16.81) | |
| 1/day | 934 (20.88) | 651 (17.19) | 590 (15.58) | |
| ≥ 2/day | 294 (6.33) | 204 (5.59) | 156 (4.23) | |
| Dietary supplements for more than 2 weeks | < 0.001 | |||
| Yes | 3,219 (58.96) | 2,961 (64.82) | 3,263 (69.49) | |
| No | 2,199 (41.04) | 1,591 (35.18) | 1,405 (30.51) | |
| Nutritional label recognition | 0.009 | |||
| Yes | 3,925 (77.11) | 3,247 (78.80) | 3,526 (82.21) | |
| No | 1,492 (22.89) | 1,303 (21.20) | 1,142 (17.79) | |
| Nutritional label check | 0.686 | |||
| Yes | 1,475 (38.47) | 1,228 (38.72) | 1,322 (37.46) | |
| No | 2,450 (61.53) | 2,019 (61.28) | 2,204 (62.54) | |
| Nutrients of interest | 0.001 | |||
| Calorie | 507 (35.51) | 436 (37.35) | 435 (34.94) | |
| Carbohydrates | 77 (4.78) | 63 (5.32) | 90 (6.51) | |
| Sugar | 198 (13.66) | 182 (15.68) | 224 (18.80) | |
| Protein | 124 (7.95) | 107 (8.57) | 139 (9.89) | |
| Fat | 67 (4.97) | 39 (2.61) | 37 (2.47) | |
| Saturated fat | 40 (2.69) | 31 (2.42) | 29 (2.44) | |
| Trans fat | 145 (9.15) | 129 (9.56) | 128 (9.16) | |
| Cholesterol | 101 (6.20) | 97 (7.00) | 106 (6.48) | |
| Sodium | 200 (14.0) | 128 (10.39) | 125 (8.78) | |
| Others | 16 (1.10) | 16 (1.11) | 9 (0.53) |
| Variables | 2019 (n = 6,235) | 2020 (n = 5,865) | 2021 (n = 5,635) | P-value1) |
|---|---|---|---|---|
| Weekly breakfast frequency | 0.151 | |||
| Never | 380 (18.81) | 382 (22.02) | 299 (18.44) | |
| 1–2/week | 264 (13.48) | 203 (13.16) | 226 (14.87) | |
| 3–4/week | 215 (10.88) | 175 (11.36) | 143 (9.50) | |
| 5–7/week | 1,458 (56.84) | 1,203 (53.46) | 1,330 (57.19) | |
| Weekly lunch frequency | 0.319 | |||
| Never | 44 (1.76) | 61 (2.97) | 44 (2.36) | |
| 1–2/week | 42 (1.94) | 31 (1.99) | 43 (2.49) | |
| 3–4/week | 92 (3.78) | 86 (4.67) | 79 (4.08) | |
| 5–7/week | 2,139 (92.52) | 1,785 (90.37) | 1,832 (91.07) | |
| Weekly dinner frequency | 0.001 | |||
| Never | 18 (1.00) | 12 (0.30) | 6 (0.32) | |
| 1–2/week | 20 (1.01) | 26 (1.28) | 29 (1.47) | |
| 3–4/week | 106 (4.34) | 83 (4.85) | 82 (5.12) | |
| 5–7/week | 2,173 (93.66) | 1,842 (93.76) | 1,881 (93.09) | |
| Frequency of eating out | < 0.001 | |||
| Never | 125 (3.77) | 165 (10.69) | 219 (11.82) | |
| 1–3/month | 354 (15.95) | 313 (13.62) | 378 (14.29) | |
| 1–2/week | 349 (13.37) | 354 (12.00) | 356 (12.95) | |
| 3–4/week | 254 (12.85) | 247 (12.83) | 232 (11.07) | |
| 5–6/week | 470 (20.29) | 336 (18.14) | 352 (19.66) | |
| 1/day | 549 (23.61) | 400 (23.43) | 349 (21.17) | |
| ≥ 2/day | 216 (10.16) | 148 (8.29) | 112 (9.04) | |
| Taking dietary supplements for more than 2 weeks | < 0.001 | |||
| Yes | 1,229 (53.15) | 1,158 (59.00) | 1,254 (63.38) | |
| No | 1,088 (46.85) | 805 (41.00) | 744 (36.62) | |
| Nutritional label recognition | 0.543 | |||
| Yes | 1,641 (77.75) | 1,393 (76.24) | 1,492 (82.04) | |
| No | 675 (22.25) | 570 (23.76) | 506 (17.96) | |
| Nutritional label check | 0.040 | |||
| Yes | 470 (30.96) | 413 (31.72) | 413 (32.23) | |
| No | 1,171 (69.04) | 980 (68.28) | 1,079 (67.77) | |
| Nutrients of interest | 0.401 | |||
| Calorie | 146 (32.78) | 126 (33.40) | 137 (35.18) | |
| Carbohydrates | 24 (4.58) | 27 (6.61) | 30 (7.45) | |
| Sugar | 58 (11.18) | 61 (14.04) | 69 (17.03) | |
| Protein | 57 (10.83) | 59 (13.27) | 48 (11.53) | |
| Fat | 29 (7.13) | 11 (2.22) | 10 (2.12) | |
| Saturated fat | 9 (2.27) | 11 (2.21) | 12 (3.41) | |
| Trans fat | 37 (7.54) | 37 (9.18) | 31 (8.40) | |
| Cholesterol | 41 (8.34) | 39 (9.02) | 35 (6.79) | |
| Sodium | 66 (14.62) | 40 (9.77) | 38 (7.51) | |
| Others | 3 (0.73) | 2 (0.29) | 3 (0.58) |
| Variables | 2019 (n = 6,235) | 2020 (n = 5,865) | 2021 (n = 5,635) | P-value1) |
|---|---|---|---|---|
| Weekly breakfast frequency | 0.064 | |||
| Never | 451 (17.42) | 474 (21.42) | 408 (19.31) | |
| 1–2/week | 355 (12.48) | 296 (13.14) | 296 (14.13) | |
| 3–4/week | 305 (11.21) | 215 (9.16) | 219 (9.19) | |
| 5–7/week | 1,990 (58.89) | 1,604 (56.29) | 1,747 (57.37) | |
| Weekly lunch frequency | 0.408 | |||
| Never | 52 (1.90) | 69 (2.66) | 70 (2.23) | |
| 1–2/week | 84 (3.09) | 73 (2.95) | 72 (2.67) | |
| 3–4/week | 201 (6.92) | 150 (5.81) | 180 (7.31) | |
| 5–7/week | 2,764 (88.08) | 2,297 (88.59) | 2,348 (87.78) | |
| Weekly dinner frequency | 0.001 | |||
| Never | 26 (0.76) | 34 (0.74) | 23 (0.40) | |
| 1–2/week | 80 (1.67) | 59 (2.51) | 69 (2.71) | |
| 3–4/week | 258 (9.29) | 183 (8.1) | 176 (8.34) | |
| 5–7/week | 2,737 (88.29) | 2,313 (88.64) | 2,402 (88.55) | |
| Frequency of eating out | < 0.001 | |||
| Never | 292 (10.39) | 383 (13.31) | 480 (14.10) | |
| 1–3/month | 691 (19.82) | 650 (20.73) | 699 (20.66) | |
| 1–2/week | 873 (29.50) | 669 (27.81) | 614 (27.63) | |
| 3–4/week | 383 (12.99) | 285 (12.61) | 294 (12.61) | |
| 5–6/week | 399 (12.78) | 295 (12.03) | 298 (12.16) | |
| 1/day | 385 (11.70) | 251 (11.39) | 241 (11.28) | |
| ≥ 2/day | 78 (2.82) | 56 (2.13) | 44 (1.56) | |
| Taking dietary supplements for more than 2 weeks | < 0.001 | |||
| Yes | 1,990 (64.31) | 1,803 (70.24) | 2,009 (75.29) | |
| No | 1,111 (35.69) | 786 (29.76) | 661 (24.71) | |
| Nutritional label recognition | 0.427 | |||
| Yes | 2,284 (78.44) | 1,854 (77.31) | 2,034 (82.38) | |
| No | 817 (21.56) | 733 (22.69) | 636 (17.62) | |
| Nutritional label check | 0.032 | |||
| Yes | 1,005 (45.31) | 815 (46.15) | 909 (46.23) | |
| No | 1,279 (54.69) | 1,039 (53.85) | 1,125 (53.77) | |
| Nutrients of interest | 0.543 | |||
| Calorie | 361 (37.20) | 310 (39.90) | 298 (34.79) | |
| Carbohydrates | 53 (4.91) | 36 (4.49) | 60 (5.93) | |
| Sugar | 140 (15.20) | 121 (16.73) | 155 (19.88) | |
| Protein | 67 (6.16) | 48 (5.55) | 91 (8.89) | |
| Fat | 38 (3.62) | 28 (2.86) | 27 (2.69) | |
| Saturated fat | 31 (2.95) | 20 (2.56) | 17 (1.85) | |
| Trans fat | 108 (10.15) | 92 (9.80) | 97 (9.63) | |
| Cholesterol | 60 (4.87) | 58 (5.70) | 71 (6.29) | |
| Sodium | 134 (13.62) | 88 (10.79) | 87 (9.55) | |
| Others | 13 (1.32) | 14 (1.63) | 6 (0.51) |
| Variable | 2019 (n = 6,235) | 2020 (n = 5,865) | 2021 (n = 5,635) | P-value1) |
|---|---|---|---|---|
| Total | ||||
| Total energy (kcal/day) | 1,937.69 ± 17.41 | 1,895.71 ± 18.52 | 1,838.67 ± 18.72 | 0.000 |
| Carbohydrates (g/1,000 kcal) | 149.85 ± 0.711) | 147.92 ± 0.85 | 147.86 ± 0.81 | 0.759 |
| Protein (g/1,000 kcal) | 37.20 ± 0.24 | 37.43 ± 0.25 | 38.15 ± 0.25 | 0.014 |
| Calcium (mg/1,000 kcal) | 268.95 ± 2.59 | 273.03 ± 2.99 | 267.35 ± 2.75 | 0.053 |
| Phosphorus (mg/1,000 kcal) | 565.16 ± 2.93 | 566.62 ± 3.07 | 582.18 ± 3.04 | 0.000 |
| Iron (mg/1,000 kcal) | 5.08 ± 0.05 | 5.14 ± 0.06 | 5.38 ± 0.07 | 0.001 |
| Vitamin A (μgRAE/1,000 kcal) | 209.31 ± 3.53 | 217.02 ± 5.86 | 220.78 ± 3.56 | 0.048 |
| Thiamine (mg/1,000 kcal) | 0.62 ± 0.01 | 0.62 ± 0.01 | 0.63 ± 0.01 | 0.492 |
| Riboflavin (mg/1,000 kcal) | 0.83 ± 0.01 | 0.86 ± 0.01 | 0.87 ± 0.01 | 0.001 |
| Niacin (mgNE/1,000 kcal) | 6.55 ± 0.05 | 6.59 ± 0.07 | 6.87 ± 0.07 | 0.001 |
| Vitamin C (mg/1,000 kcal) | 37.05 ± 0.87 | 36.23 ± 1.08 | 38.60 ± 1.21 | 0.285 |
| Folic acid (μgDFE/1,000 kcal) | 173.71 ± 1.58 | 171.64 ± 1.77 | 171.95 ± 1.79 | 0.007 |
| Male | ||||
| Total energy (kcal/day) | 2,274.86 ± 23.96 | 2,234.06 ± 27.29 | 2,129.84 ± 25.41 | 0.000 |
| Carbohydrates (g/1,000 kcal) | 143.86 ± 0.921) | 142.55 ± 1.08 | 144.79 ± 1.08 | 0.286 |
| Protein (g/1,000 kcal) | 37.46 ± 0.36 | 38.00 ± 0.34 | 38.47 ± 0.36 | 0.100 |
| Calcium (mg/1,000 kcal) | 248.66 ± 2.86 | 251.82 ± 3.66 | 259.66 ± 3.48 | 0.028 |
| Phosphorus (mg/1,000 kcal) | 550.61 ± 3.95 | 552.28 ± 4.08 | 568.93 ± 4.34 | 0.004 |
| Iron (mg/1,000 kcal) | 4.97 ± 0.06 | 4.96 ± 0.08 | 4.31 ± 0.10 | 0.009 |
| Vitamin A (μgRAE/1,000 kcal) | 189.48 ± 4.04 | 192.17 ± 5.23 | 197.66 ± 4.72 | 0.384 |
| Thiamine (mg/1,000 kcal) | 0.61 ± 0.01 | 0.61 ± 0.01 | 0.63 ± 0.01 | 0.228 |
| Riboflavin (mg/1,000 kcal) | 0.81 ± 0.01 | 0.84 ± 0.01 | 0.85 ± 0.01 | 0.005 |
| Niacin (mgNE/1,000 kcal) | 6.54 ± 0.07 | 6.64 ± 0.10 | 6.91 ± 0.10 | 0.005 |
| Vitamin C (mg/1,000 kcal) | 31.51 ± 1.33 | 30.91 ± 1.36 | 29.65 ± 1.99 | 0.049 |
| Folic acid (μgDFE/1,000 kcal) | 161.82 ± 1.97 | 159.95 ± 1.99 | 158.74 ± 2.45 | 0.010 |
| Female | ||||
| Total energy (kcal/day) | 1,592.20 ± 16.25 | 1,580.93 ± 17.43 | 1,548.79 ± 17.18 | 0.000 |
| Carbohydrates (g/1,000 kcal) | 155.36 ± 0.81 | 152.92 ± 0.87 | 153.72 ± 0.85 | 0.062 |
| Protein (g/1,000 kcal) | 36.95 ± 0.25 | 36.81 ± 0.29 | 36.84 ± 0.27 | 0.033 |
| Calcium (mg/1,000 kcal) | 287.59 ± 3.59 | 292.76 ± 3.83 | 294.10 ± 3.74 | 0.419 |
| Phosphorus (mg/1,000 kcal) | 578.52 ± 3.37 | 579.97 ± 3.78 | 594.72 ± 3.61 | 0.002 |
| Iron (mg/1,000 kcal) | 5.18 ± 0.06 | 5.32 ± 0.08 | 5.45 ± 0.07 | 0.005 |
| Vitamin A (μgRAE/1,000 kcal) | 227.53 ± 4.34 | 240.14 ± 7.72 | 242.68 ± 4.09 | 0.023 |
| Thiamine (mg/1,000 kcal) | 0.63 ± 0.01 | 0.62 ± 0.01 | 0.63 ± 0.01 | 1.000 |
| Riboflavin (mg/1,000 kcal) | 0.85 ± 0.01 | 0.87 ± 0.01 | 0.88 ± 0.01 | 0.049 |
| Niacin (mgNE/1,000 kcal) | 6.56 ± 0.07 | 6.53 ± 0.07 | 6.42 ± 0.08 | 0.014 |
| Vitamin C (mg/1,000 kcal) | 42.14 ± 0.93 | 41.18 ± 1.41 | 41.40 ± 1.14 | 1.000 |
| Folic acid (μgDFE/1,000 kcal) | 184.63 ± 1.93 | 182.53 ± 2.23 | 188.63 ± 1.98 | 0.082 |
| Variables | 2019 (n = 6,235) | 2020 (n = 5,865) | 2021 (n = 5,635) | P-value |
|---|---|---|---|---|
| Sex | 0.999 | |||
| Male | 2,767 (49.79) | 2,630 (49.81) | 2,475 (49.82) | |
| Female | 3,468 (50.21) | 3,235 (50.19) | 3,160 (50.18) | |
| Age (year) | 0.940 | |||
| 19–29 | 692 (16.41) | 744 (16.22) | 623 (15.94) | |
| 30–39 | 929 (17.28) | 769 (16.76) | 649 (16.26) | |
| 40–49 | 1,125 (19.58) | 973 (19.29) | 959 (18.94) | |
| 50–59 | 1,186 (20.16) | 1,065 (19.97) | 1,030 (19.78) | |
| 60–69 | 1,135 (14.27) | 1,124 (15.06) | 1,114 (16.06) | |
| ≥ 70 | 1,168 (12.29) | 1,190 (12.71) | 1,260 (13.01) | |
| Marital status | 0.086 | |||
| Married | 5,216 (78.16) | 4,747 (75.66) | 4,616 (75.33) | |
| Unmarried | 1,018 (21.84) | 1,116 (24.34) | 1,017 (24.67) | |
| Education | 0.749 | |||
| Elementary school | 1,087 (12.79) | 919 (11.59) | 1,023 (12.18) | |
| Middle school | 561 (7.96) | 523 (7.72) | 535 (7.97) | |
| High school | 1,924 (34.92) | 1,844 (37.76) | 1,740 (36.08) | |
| ≥ College | 2,293 (44.33) | 2,060 (42.93) | 1,976 (43.78) | |
| Residence area | ||||
| Urban | 4,990 (83.48) | 4,647 (84.48) | 4,360 (83.82) | 0.965 |
| Rural | 1,245 (16.52) | 1,218 (15.52) | 1,275 (16.18) | |
| Average monthly household income (ten thousand won) | 468.82 ± 13.40 | 497.80 ± 15.66 | 490.58 ± 16.14 | 0.394 |
| Variables | 2019 (n = 6,235) | 2020 (n = 5,865) | 2021 (n = 5,635) | P-value |
|---|---|---|---|---|
| Total | ||||
| BMI | ||||
| Underweight | 240 (4.16) | 231 (4.18) | 236 (4.26) | 0.489 |
| Normality | 2,399 (38.70) | 2,015 (33.92) | 1,993 (36.56) | 0.239 |
| Overweight/obesity | 3,532 (57.14) | 3,512 (61.90) | 3,296 (59.18) | 0.002 |
| Height (cm) | 165.09 ± 0.18 | 165.19 ± 0.20 | 165.14 ± 0.20 | 0.938 |
| Weight (kg) | 65.67 ± 0.21 | 66.75 ± 0.25 | 66.25 ± 0.26 | 0.006 |
| Waist measurement (cm) | 83.94 ± 0.20 | 84.78 ± 0.18 | 84.03 ± 0.24 | 0.009 |
| Male | ||||
| BMI | ||||
| Underweight | 66 (2.17) | 70 (2.54) | 70 (2.50) | 0.096 |
| Normality | 857 (30.23) | 672 (23.62) | 688 (27.15) | 0.748 |
| Overweight/obesity | 1,832 (67.60) | 1,857 (73.85) | 1,678 (70.36) | 0.001 |
| Height (cm) | 171.80 ± 0.18 | 172.01 ± 0.20 | 171.96 ± 0.20 | < 0.001 |
| Weight (kg) | 72.79 ± 0.29 | 74.64 ± 0.35 | 73.71 ± 0.35 | < 0.001 |
| Waist measurement (cm) | 87.69 ± 0.23 | 89.24 ± 0.23 | 88.16 ± 0.29 | 0.007 |
| Female | ||||
| BMI | ||||
| Underweight | 174 (6.16) | 161 (5.83) | 166 (6.04) | 0.466 |
| Normality | 1,542 (46.20) | 1,343 (44.31) | 1,305 (46.02) | 0.927 |
| Overweight/obesity | 1,700 (47.64) | 1,655 (49.86) | 1,618 (47.94) | < 0.001 |
| Height (cm) | 157.43 ± 0.17 | 158.36 ± 0.18 | 158.33 ± 0.18 | < 0.001 |
| Weight (kg) | 58.55 ± 0.24 | 58.86 ± 0.24 | 58.79 ± 0.26 | < 0.001 |
| Waist measurement (cm) | 80.21 ± 0.26 | 80.32 ± 0.27 | 80.92 ± 0.29 | < 0.001 |
| Variables | 2019 (n = 6,235) | 2020 (n = 5,865) | 2021 (n = 5,635) | P-value |
|---|---|---|---|---|
| Total | ||||
| Depression | 0.218 | |||
| Absense | 128 (45.83) | 113 (39.20) | 112 (42.32) | |
| Presence | 160 (54.17) | 188 (60.80) | 167 (57.68) | |
| Sleep duration/day (hour) | 6.77 ± 0.02 | 6.82 ± 0.02 | NA | 0.136 |
| Sleep duration on weekend (hour) | 7.48 ± 0.03 | 7.49 ± 0.03 | NA | 0.880 |
| Stress detection | 0.709 | |||
| Little | 4,501 (71.42) | 4,207 (70.98) | 4,161 (71.20) | |
| Much | 1,629 (28.58) | 1,590 (29.02) | 1,417 (28.80) | |
| Walking days/week | 4.03 ± 0.06 | 3.83 ± 0.06 | 3.92 ± 0.06 | 0.060 |
| Sitting time/day (hour) | 8.53 ± 0.09 | 8.60 ± 0.10 | NA | 0.680 |
| Muscle workout days/week | 0.87 ± 0.03 | 0.91 ± 0.03 | NA | 0.331 |
| Male | ||||
| Depression | 0.737 | |||
| Absense | 32 (40.13) | 30 (37.43) | 22 (32.91) | |
| Presence | 48 (59.87) | 51 (62.57) | 50 (67.09) | |
| Sleep duration/day (hour) | 6.77 ± 0.03 | 6.77 ± 0.03 | NA | 0.880 |
| Sleep duration on weekends (hour) | 7.57 ± 0.03 | 7.50 ± 0.04 | NA | 0.004 |
| Stress detection | 0.110 | |||
| Little | 2,052 (72.62) | 1,957 (72.44) | 1,906 (75.40) | |
| Much | 664 (27.38) | 647 (27.56) | 554 (24.60) | |
| Walking days/week | 4.08 ± 0.07 | 3.82 ± 0.07 | 3.85 ± 0.07 | 0.883 |
| Sitting time/day (hour) | 8.61 ± 0.10 | 8.66 ± 0.11 | NA | 0.314 |
| Muscle workout days/week | 1.24 ± 0.05 | 1.25 ± 0.05 | 1.27 ± 0.05 | 0.021 |
| Female | ||||
| Depression | 0.404 | |||
| Absense | 96 (48.38) | 83 (39.99) | 90 (43.61) | |
| Presence | 112 (51.62) | 137 (60.01) | 117 (56.39) | |
| Sleep duration/day (hour) | 6.77 ± 0.03 | 6.87 ± 0.03 | NA | 0.120 |
| Sleep duration on weekends (hour) | 7.40 ± 0.04 | 7.48 ± 0.03 | NA | 0.033 |
| Stress detection | 0.224 | |||
| Little | 2,449 (70.24) | 2,250 (69.52) | 2,255 (71.80) | |
| Much | 965 (29.76) | 943 (30.48) | 863 (28.20) | |
| Walking days/week | 3.98 ± 0.07 | 3.84 ± 0.08 | 4.00 ± 0.06 | 0.249 |
| Sitting time/day (hour) | 8.46 ± 0.08 | 8.53 ± 0.09 | NA | 0.071 |
| Muscle workout days/week | 0.50 ± 0.03 | 0.57 ± 0.03 | 0.64 ± 0.03 | 0.002 |
| Variables | 2019 (n = 6,235) | 2020 (n = 5,865) | 2021 (n = 5,635) | P-value |
|---|---|---|---|---|
| Weekly breakfast frequency | 0.032 | |||
| Never | 831 (18.08) | 856 (21.71) | 707 (18.89) | |
| 1–2/week | 619 (12.96) | 499 (13.15) | 522 (14.49) | |
| 3–4/week | 520 (11.05) | 390 (10.22) | 362 (9.34) | |
| 5–7/week | 3,448 (57.90) | 2,807 (54.92) | 3,077 (57.28) | |
| Weekly lunch frequency | 0.371 | |||
| Never | 96 (1.84) | 130 (2.81) | 114 (2.29) | |
| 1–2/week | 126 (2.54) | 104 (2.48) | 115 (2.59) | |
| 3–4/week | 293 (5.42) | 236 (5.26) | 259 (5.74) | |
| 5–7/week | 4,903 (90.21) | 4,082 (89.45) | 4,180 (89.38) | |
| Weekly dinner frequency | 0.293 | |||
| Never | 44 (0.87) | 46 (0.96) | 29 (0.62) | |
| 1–2/week | 100 (1.87) | 85 (1.97) | 98 (2.35) | |
| 3–4/week | 364 (7.40) | 266 (6.30) | 258 (6.51) | |
| 5–7/week | 4,910 (89.86) | 4,155 (90.77) | 4,283 (90.52) | |
| Frequency of eating out | < 0.001 | |||
| Never | 417 (3.66) | 548 (10.86) | 699 (12.05) | |
| 1–3/month | 1,045 (19.17) | 963 (18.33) | 1,077 (19.10) | |
| 1–2/week | 1,222 (21.13) | 1,023 (20.34) | 970 (20.41) | |
| 3–4/week | 637 (11.96) | 532 (11.71) | 526 (11.83) | |
| 5–6/week | 869 (16.86) | 631 (15.97) | 650 (16.81) | |
| 1/day | 934 (20.88) | 651 (17.19) | 590 (15.58) | |
| ≥ 2/day | 294 (6.33) | 204 (5.59) | 156 (4.23) | |
| Dietary supplements for more than 2 weeks | < 0.001 | |||
| Yes | 3,219 (58.96) | 2,961 (64.82) | 3,263 (69.49) | |
| No | 2,199 (41.04) | 1,591 (35.18) | 1,405 (30.51) | |
| Nutritional label recognition | 0.009 | |||
| Yes | 3,925 (77.11) | 3,247 (78.80) | 3,526 (82.21) | |
| No | 1,492 (22.89) | 1,303 (21.20) | 1,142 (17.79) | |
| Nutritional label check | 0.686 | |||
| Yes | 1,475 (38.47) | 1,228 (38.72) | 1,322 (37.46) | |
| No | 2,450 (61.53) | 2,019 (61.28) | 2,204 (62.54) | |
| Nutrients of interest | 0.001 | |||
| Calorie | 507 (35.51) | 436 (37.35) | 435 (34.94) | |
| Carbohydrates | 77 (4.78) | 63 (5.32) | 90 (6.51) | |
| Sugar | 198 (13.66) | 182 (15.68) | 224 (18.80) | |
| Protein | 124 (7.95) | 107 (8.57) | 139 (9.89) | |
| Fat | 67 (4.97) | 39 (2.61) | 37 (2.47) | |
| Saturated fat | 40 (2.69) | 31 (2.42) | 29 (2.44) | |
| Trans fat | 145 (9.15) | 129 (9.56) | 128 (9.16) | |
| Cholesterol | 101 (6.20) | 97 (7.00) | 106 (6.48) | |
| Sodium | 200 (14.0) | 128 (10.39) | 125 (8.78) | |
| Others | 16 (1.10) | 16 (1.11) | 9 (0.53) |
| Variables | 2019 (n = 6,235) | 2020 (n = 5,865) | 2021 (n = 5,635) | P-value |
|---|---|---|---|---|
| Weekly breakfast frequency | 0.151 | |||
| Never | 380 (18.81) | 382 (22.02) | 299 (18.44) | |
| 1–2/week | 264 (13.48) | 203 (13.16) | 226 (14.87) | |
| 3–4/week | 215 (10.88) | 175 (11.36) | 143 (9.50) | |
| 5–7/week | 1,458 (56.84) | 1,203 (53.46) | 1,330 (57.19) | |
| Weekly lunch frequency | 0.319 | |||
| Never | 44 (1.76) | 61 (2.97) | 44 (2.36) | |
| 1–2/week | 42 (1.94) | 31 (1.99) | 43 (2.49) | |
| 3–4/week | 92 (3.78) | 86 (4.67) | 79 (4.08) | |
| 5–7/week | 2,139 (92.52) | 1,785 (90.37) | 1,832 (91.07) | |
| Weekly dinner frequency | 0.001 | |||
| Never | 18 (1.00) | 12 (0.30) | 6 (0.32) | |
| 1–2/week | 20 (1.01) | 26 (1.28) | 29 (1.47) | |
| 3–4/week | 106 (4.34) | 83 (4.85) | 82 (5.12) | |
| 5–7/week | 2,173 (93.66) | 1,842 (93.76) | 1,881 (93.09) | |
| Frequency of eating out | < 0.001 | |||
| Never | 125 (3.77) | 165 (10.69) | 219 (11.82) | |
| 1–3/month | 354 (15.95) | 313 (13.62) | 378 (14.29) | |
| 1–2/week | 349 (13.37) | 354 (12.00) | 356 (12.95) | |
| 3–4/week | 254 (12.85) | 247 (12.83) | 232 (11.07) | |
| 5–6/week | 470 (20.29) | 336 (18.14) | 352 (19.66) | |
| 1/day | 549 (23.61) | 400 (23.43) | 349 (21.17) | |
| ≥ 2/day | 216 (10.16) | 148 (8.29) | 112 (9.04) | |
| Taking dietary supplements for more than 2 weeks | < 0.001 | |||
| Yes | 1,229 (53.15) | 1,158 (59.00) | 1,254 (63.38) | |
| No | 1,088 (46.85) | 805 (41.00) | 744 (36.62) | |
| Nutritional label recognition | 0.543 | |||
| Yes | 1,641 (77.75) | 1,393 (76.24) | 1,492 (82.04) | |
| No | 675 (22.25) | 570 (23.76) | 506 (17.96) | |
| Nutritional label check | 0.040 | |||
| Yes | 470 (30.96) | 413 (31.72) | 413 (32.23) | |
| No | 1,171 (69.04) | 980 (68.28) | 1,079 (67.77) | |
| Nutrients of interest | 0.401 | |||
| Calorie | 146 (32.78) | 126 (33.40) | 137 (35.18) | |
| Carbohydrates | 24 (4.58) | 27 (6.61) | 30 (7.45) | |
| Sugar | 58 (11.18) | 61 (14.04) | 69 (17.03) | |
| Protein | 57 (10.83) | 59 (13.27) | 48 (11.53) | |
| Fat | 29 (7.13) | 11 (2.22) | 10 (2.12) | |
| Saturated fat | 9 (2.27) | 11 (2.21) | 12 (3.41) | |
| Trans fat | 37 (7.54) | 37 (9.18) | 31 (8.40) | |
| Cholesterol | 41 (8.34) | 39 (9.02) | 35 (6.79) | |
| Sodium | 66 (14.62) | 40 (9.77) | 38 (7.51) | |
| Others | 3 (0.73) | 2 (0.29) | 3 (0.58) |
| Variables | 2019 (n = 6,235) | 2020 (n = 5,865) | 2021 (n = 5,635) | P-value |
|---|---|---|---|---|
| Weekly breakfast frequency | 0.064 | |||
| Never | 451 (17.42) | 474 (21.42) | 408 (19.31) | |
| 1–2/week | 355 (12.48) | 296 (13.14) | 296 (14.13) | |
| 3–4/week | 305 (11.21) | 215 (9.16) | 219 (9.19) | |
| 5–7/week | 1,990 (58.89) | 1,604 (56.29) | 1,747 (57.37) | |
| Weekly lunch frequency | 0.408 | |||
| Never | 52 (1.90) | 69 (2.66) | 70 (2.23) | |
| 1–2/week | 84 (3.09) | 73 (2.95) | 72 (2.67) | |
| 3–4/week | 201 (6.92) | 150 (5.81) | 180 (7.31) | |
| 5–7/week | 2,764 (88.08) | 2,297 (88.59) | 2,348 (87.78) | |
| Weekly dinner frequency | 0.001 | |||
| Never | 26 (0.76) | 34 (0.74) | 23 (0.40) | |
| 1–2/week | 80 (1.67) | 59 (2.51) | 69 (2.71) | |
| 3–4/week | 258 (9.29) | 183 (8.1) | 176 (8.34) | |
| 5–7/week | 2,737 (88.29) | 2,313 (88.64) | 2,402 (88.55) | |
| Frequency of eating out | < 0.001 | |||
| Never | 292 (10.39) | 383 (13.31) | 480 (14.10) | |
| 1–3/month | 691 (19.82) | 650 (20.73) | 699 (20.66) | |
| 1–2/week | 873 (29.50) | 669 (27.81) | 614 (27.63) | |
| 3–4/week | 383 (12.99) | 285 (12.61) | 294 (12.61) | |
| 5–6/week | 399 (12.78) | 295 (12.03) | 298 (12.16) | |
| 1/day | 385 (11.70) | 251 (11.39) | 241 (11.28) | |
| ≥ 2/day | 78 (2.82) | 56 (2.13) | 44 (1.56) | |
| Taking dietary supplements for more than 2 weeks | < 0.001 | |||
| Yes | 1,990 (64.31) | 1,803 (70.24) | 2,009 (75.29) | |
| No | 1,111 (35.69) | 786 (29.76) | 661 (24.71) | |
| Nutritional label recognition | 0.427 | |||
| Yes | 2,284 (78.44) | 1,854 (77.31) | 2,034 (82.38) | |
| No | 817 (21.56) | 733 (22.69) | 636 (17.62) | |
| Nutritional label check | 0.032 | |||
| Yes | 1,005 (45.31) | 815 (46.15) | 909 (46.23) | |
| No | 1,279 (54.69) | 1,039 (53.85) | 1,125 (53.77) | |
| Nutrients of interest | 0.543 | |||
| Calorie | 361 (37.20) | 310 (39.90) | 298 (34.79) | |
| Carbohydrates | 53 (4.91) | 36 (4.49) | 60 (5.93) | |
| Sugar | 140 (15.20) | 121 (16.73) | 155 (19.88) | |
| Protein | 67 (6.16) | 48 (5.55) | 91 (8.89) | |
| Fat | 38 (3.62) | 28 (2.86) | 27 (2.69) | |
| Saturated fat | 31 (2.95) | 20 (2.56) | 17 (1.85) | |
| Trans fat | 108 (10.15) | 92 (9.80) | 97 (9.63) | |
| Cholesterol | 60 (4.87) | 58 (5.70) | 71 (6.29) | |
| Sodium | 134 (13.62) | 88 (10.79) | 87 (9.55) | |
| Others | 13 (1.32) | 14 (1.63) | 6 (0.51) |
| Variable | 2019 (n = 6,235) | 2020 (n = 5,865) | 2021 (n = 5,635) | P-value |
|---|---|---|---|---|
| Total | ||||
| Total energy (kcal/day) | 1,937.69 ± 17.41 | 1,895.71 ± 18.52 | 1,838.67 ± 18.72 | 0.000 |
| Carbohydrates (g/1,000 kcal) | 149.85 ± 0.711) | 147.92 ± 0.85 | 147.86 ± 0.81 | 0.759 |
| Protein (g/1,000 kcal) | 37.20 ± 0.24 | 37.43 ± 0.25 | 38.15 ± 0.25 | 0.014 |
| Calcium (mg/1,000 kcal) | 268.95 ± 2.59 | 273.03 ± 2.99 | 267.35 ± 2.75 | 0.053 |
| Phosphorus (mg/1,000 kcal) | 565.16 ± 2.93 | 566.62 ± 3.07 | 582.18 ± 3.04 | 0.000 |
| Iron (mg/1,000 kcal) | 5.08 ± 0.05 | 5.14 ± 0.06 | 5.38 ± 0.07 | 0.001 |
| Vitamin A (μgRAE/1,000 kcal) | 209.31 ± 3.53 | 217.02 ± 5.86 | 220.78 ± 3.56 | 0.048 |
| Thiamine (mg/1,000 kcal) | 0.62 ± 0.01 | 0.62 ± 0.01 | 0.63 ± 0.01 | 0.492 |
| Riboflavin (mg/1,000 kcal) | 0.83 ± 0.01 | 0.86 ± 0.01 | 0.87 ± 0.01 | 0.001 |
| Niacin (mgNE/1,000 kcal) | 6.55 ± 0.05 | 6.59 ± 0.07 | 6.87 ± 0.07 | 0.001 |
| Vitamin C (mg/1,000 kcal) | 37.05 ± 0.87 | 36.23 ± 1.08 | 38.60 ± 1.21 | 0.285 |
| Folic acid (μgDFE/1,000 kcal) | 173.71 ± 1.58 | 171.64 ± 1.77 | 171.95 ± 1.79 | 0.007 |
| Male | ||||
| Total energy (kcal/day) | 2,274.86 ± 23.96 | 2,234.06 ± 27.29 | 2,129.84 ± 25.41 | 0.000 |
| Carbohydrates (g/1,000 kcal) | 143.86 ± 0.921) | 142.55 ± 1.08 | 144.79 ± 1.08 | 0.286 |
| Protein (g/1,000 kcal) | 37.46 ± 0.36 | 38.00 ± 0.34 | 38.47 ± 0.36 | 0.100 |
| Calcium (mg/1,000 kcal) | 248.66 ± 2.86 | 251.82 ± 3.66 | 259.66 ± 3.48 | 0.028 |
| Phosphorus (mg/1,000 kcal) | 550.61 ± 3.95 | 552.28 ± 4.08 | 568.93 ± 4.34 | 0.004 |
| Iron (mg/1,000 kcal) | 4.97 ± 0.06 | 4.96 ± 0.08 | 4.31 ± 0.10 | 0.009 |
| Vitamin A (μgRAE/1,000 kcal) | 189.48 ± 4.04 | 192.17 ± 5.23 | 197.66 ± 4.72 | 0.384 |
| Thiamine (mg/1,000 kcal) | 0.61 ± 0.01 | 0.61 ± 0.01 | 0.63 ± 0.01 | 0.228 |
| Riboflavin (mg/1,000 kcal) | 0.81 ± 0.01 | 0.84 ± 0.01 | 0.85 ± 0.01 | 0.005 |
| Niacin (mgNE/1,000 kcal) | 6.54 ± 0.07 | 6.64 ± 0.10 | 6.91 ± 0.10 | 0.005 |
| Vitamin C (mg/1,000 kcal) | 31.51 ± 1.33 | 30.91 ± 1.36 | 29.65 ± 1.99 | 0.049 |
| Folic acid (μgDFE/1,000 kcal) | 161.82 ± 1.97 | 159.95 ± 1.99 | 158.74 ± 2.45 | 0.010 |
| Female | ||||
| Total energy (kcal/day) | 1,592.20 ± 16.25 | 1,580.93 ± 17.43 | 1,548.79 ± 17.18 | 0.000 |
| Carbohydrates (g/1,000 kcal) | 155.36 ± 0.81 | 152.92 ± 0.87 | 153.72 ± 0.85 | 0.062 |
| Protein (g/1,000 kcal) | 36.95 ± 0.25 | 36.81 ± 0.29 | 36.84 ± 0.27 | 0.033 |
| Calcium (mg/1,000 kcal) | 287.59 ± 3.59 | 292.76 ± 3.83 | 294.10 ± 3.74 | 0.419 |
| Phosphorus (mg/1,000 kcal) | 578.52 ± 3.37 | 579.97 ± 3.78 | 594.72 ± 3.61 | 0.002 |
| Iron (mg/1,000 kcal) | 5.18 ± 0.06 | 5.32 ± 0.08 | 5.45 ± 0.07 | 0.005 |
| Vitamin A (μgRAE/1,000 kcal) | 227.53 ± 4.34 | 240.14 ± 7.72 | 242.68 ± 4.09 | 0.023 |
| Thiamine (mg/1,000 kcal) | 0.63 ± 0.01 | 0.62 ± 0.01 | 0.63 ± 0.01 | 1.000 |
| Riboflavin (mg/1,000 kcal) | 0.85 ± 0.01 | 0.87 ± 0.01 | 0.88 ± 0.01 | 0.049 |
| Niacin (mgNE/1,000 kcal) | 6.56 ± 0.07 | 6.53 ± 0.07 | 6.42 ± 0.08 | 0.014 |
| Vitamin C (mg/1,000 kcal) | 42.14 ± 0.93 | 41.18 ± 1.41 | 41.40 ± 1.14 | 1.000 |
| Folic acid (μgDFE/1,000 kcal) | 184.63 ± 1.93 | 182.53 ± 2.23 | 188.63 ± 1.98 | 0.082 |
n (%) or Mean ± SE. For categorical data, the χ2 test has been performed, and for continuous data, the multiple linear regression model analysis have been performed.
n (%) or Mean ± SE. BMI, body mass index. For categorical data, the χ2 test has been performed, and for continuous data, the multiple linear regression model analysis have been performed.
n (%) or Mean ± SE. NA, not applicable. For categorical data, the χ2 test has been performed, and for continuous data, the independent t-test and multiple linear regression model analysis have been performed.
n (%). Data has been analyzed by χ2 test.
n (%). Data has been analyzed by χ2 test.
n (%). Data have been analyzed by χ2 test.
Mean ± SE. Data has been analyzed by the multiple linear regression model analysis.
