, 이윤나2),†
, Yoonna Lee2),†
1)동국대학교 가정교육과, 겸임교수
2)신구대학교 식품영양학과, 교수
1)Adjunct Professor, Department of Home Economics Education, Dongguk University, Seoul, Korea
2)Associate Professor, Department of Food and Nutrition, Shingu College, Seongnam, Gyeonggi, Korea
© 2023 The Korean Society of Community Nutrition
This is an Open-Access article distributed under the terms of the Creative Commons Attribution Non-Commercial License (http://creativecommons.org/licenses/by-nc/4.0) which permits unrestricted non-commercial use, distribution, and reproduction in any medium, provided the original work is properly cited.
Conflict of Interest
There are no financial or other issues that might lead to conflict of interest.
Funding
This research received no external funding.
Data Availability
The data that support the findings of this study are openly available in KNHANES at https://knhanes.kdca.go.kr/knhanes/sub03/sub03_02_05.do.
| Characteristics |
Male (n = 1,054) |
|||||||||||||
|---|---|---|---|---|---|---|---|---|---|---|---|---|---|---|
|
Low income |
P-value2) |
Middle income |
P-value |
High income |
P-value |
Total |
P-value | 20193) P-value | 20204) P-value | |||||
| 2019 (n = 239) | 2020 (n = 165) | 2019 (n = 289) | 2020 (n = 247) | 2019 (n = 54) | 2020 (n = 60) | 2019 (n = 582) | 2020 (n = 472) | |||||||
| Energy | 86.00 ± 1.9a | 84.40 ± 2.9a | 0.660 | 94.80 ± 2.1b | 95.30 ± 2.5ab | 0.998 | 103.00 ± 5.5b | 92.30 ± 4.1b | 0.113 | 92.40 ± 1.5 | 91.30 ± 1.8 | 0.574 | 0.016 | 0.025 |
| Protein | 98.00 ± 3.2a | 90.20 ± 3.1a | 0.091 | 110.40 ± 3.4b | 110.50 ± 3.6b | 0.889 | 125.20 ± 6.9b | 114.80 ± 5.6b | 0.244 | 107.30 ± 2.6 | 104.50 ± 2.4 | 0.333 | 0.029 | < 0.001 |
| Vitamin A | 47.90 ± 4.4 | 35.30 ± 2.5a | 0.016 | 56.50 ± 7.4 | 55.10 ± 3.2b | 0.823 | 51.80 ± 4.7 | 54.90 ± 5.4b | 0.665 | 52.70 ± 4.1 | 48.60 ± 2.0 | 0.338 | 0.720 | < 0.001 |
| Vitamin C | 53.90 ± 4.3 | 48.10 ± 5.2 | 0.420 | 66.60 ± 4.9 | 64.90 ± 5.2 | 0.792 | 62.40 ± 8.3 | 69.80 ± 7.8 | 0.535 | 61.30 ± 3.1 | 60.10 ± 3.5 | 0.762 | 0.213 | 0.076 |
| Thiamin | 113.20 ± 3.6 | 101.00 ± 4.3 | 0.033 | 121.10 ± 4.0 | 109.70 ± 3.5 | 0.022 | 121.90 ± 10.1 | 114.30 ± 6.6 | 0.527 | 118.20 ± 2.9 | 107.50 ± 2.4 | 0.003 | 0.698 | 0.277 |
| Riboflavin | 90.50 ± 4.0a | 90.20 ± 4.4a | 0.969 | 108.50 ± 3.8b | 112.80 ± 4.5b | 0.516 | 123.00 ± 7.5b | 114.70 ± 8.3b | 0.454 | 103.30 ± 3.0 | 105.70 ± 3.2 | 0.653 | 0.005 | < 0.001 |
| Niacin | 79.90 ± 3.1 | 74.10 ± 3.4 | 0.202 | 89.30 ± 2.8 | 86.40 ± 2.7 | 0.396 | 87.20 ± 5.4 | 84.40 ± 4.5 | 0.694 | 85.50 ± 1.9 | 82.10 ± 2.0 | 0.202 | 0.124 | 0.050 |
| Calcium | 71.30 ± 3.7 | 59.20 ± 3.2a | 0.015 | 77.30 ± 3.1 | 74.60 ± 2.7b | 0.447 | 84.50 ± 5.0 | 79.20 ± 4.1b | 0.421 | 75.90 ± 2.5 | 70.20 ± 2.1 | 0.067 | 0.572 | < 0.001 |
| Phosphorus | 132.70 ± 4.3a | 124.00 ± 4.6a | 0.179 | 151.40 ± 3.9b | 149.50 ± 3.9b | 0.627 | 166.20 ± 8.1b | 157.10 ± 6.9b | 0.390 | 146.00 ± 3.1 | 142.30 ± 2.9 | 0.300 | 0.006 | < 0.001 |
| Iron | 126.50 ± 5.3 | 111.00 ± 5.7a | 0.051 | 145.50 ± 5.6 | 135.90 ± 6.5b | 0.202 | 145.30 ± 7.8 | 142.00 ± 8.1b | 0.771 | 138.30 ± 3.6 | 128.60 ± 4.1 | 0.058 | 0.144 | 0.011 |
| MAR | 0.71 ± 0.01a | 0.67 ± 0.01a | 0.123 | 0.76 ± 0.01b | 0.77 ± 0.01b | 0.580 | 0.80 ± 0.01b | 0.79 ± 0.01b | 0.648 | 0.74 ± 0.01 | 0.74 ± 0.01 | 0.716 | 0.002 | < 0.001 |
| Characteristics |
Female (n = 1,354) |
|||||||||||||
|
Low income |
P-value |
Middle income |
P-value |
High income |
P-value |
Total |
P-value | 2019 P-value | 2020 P-value | |||||
| 2019 (n = 397) | 2020 (n = 262) | 2019 (n = 323) | 2020 (n = 262) | 2019 (n = 55) | 2020 (n = 55) | 2019 (n = 775) | 2020 (n = 579) | |||||||
| Energy | 85.80 ± 1.9 | 82.60 ± 52.3a | 0.261 | 89.30 ± 1.7 | 92.70 ± 2.7b | 0.324 | 91.80 ± 3.8 | 103.10 ± 4.4b | 0.060 | 87.70 ± 1.3 | 89.40 ± 1.7 | 0.546 | 0.442 | 0.002 |
| Protein | 89.00 ± 2.4 | 85.20 ± 3.5a | 0.267 | 95.90 ± 2.5 | 103.90 ± 3.7b | 0.104 | 95.00 ± 5.1 | 117.80 ± 5.5b | 0.003 | 92.30 ± 1.7 | 97.30 ± 2.5 | 0.229 | 0.563 | < 0.001 |
| Vitamin A | 47.60 ± 3.0 | 44.40 ± 4.3 | 0.442 | 53.30 ± 4.3 | 59.10 ± 3.6 | 0.383 | 43.70 ± 4.3 | 60.70 ± 6.0 | 0.024 | 49.70 ± 2.5 | 52.90 ± 2.5 | 0.549 | 0.163 | 0.119 |
| Vitamin C | 52.60 ± 3.1 | 51.60 ± 5.1 | 0.716 | 72.30 ± 6.8 | 70.90 ± 5.6 | 0.768 | 67.30 ± 9.0 | 78.30 ± 8.3 | 0.381 | 61.90 ± 3.6 | 63.30 ± 3.3 | 0.936 | 0.057 | 0.062 |
| Thiamin | 109.70 ± 2.7 | 104.10 ± 4.0 | 0.315 | 107.60 ± 2.6 | 109.70 ± 4.1 | 0.613 | 98.20 ± 4.9 | 120.40 ± 7.0 | 0.007 | 108.00 ± 1.9 | 108.40 ± 2.6 | 0.732 | 0.208 | 0.073 |
| Riboflavin | 92.60 ± 3.5 | 98.40 ± 5.0a | 0.428 | 106.10 ± 3.6 | 119.10 ± 4.3b | 0.036 | 102.00 ± 8.1 | 122.90 ± 7.7b | 0.068 | 98.90 ± 2.8 | 110.50 ± 3.1 | 0.016 | 0.081 | 0.018 |
| Niacin | 64.60 ± 1.9a | 63.70 ± 2.6a | 0.679 | 74.00 ± 2.3b | 72.00 ± 2.7b | 0.474 | 68.40 ± 3.2ab | 86.50 ± 5.9b | 0.009 | 68.80 ± 1.4 | 69.90 ± 1.7 | 0.889 | 0.030 | 0.007 |
| Calcium | 47.90 ± 2.0 | 46.50 ± 2.0a | 0.461 | 54.70 ± 1.9 | 58.70 ± 2.4b | 0.002 | 55.20 ± 5.1 | 62.10 ± 4.3b | 0.335 | 51.30 ± 1.5 | 53.70 ± 1.6 | 0.496 | 0.222 | < 0.001 |
| Phosphorus | 103.90 ± 2.9 | 101.90 ± 3.5a | 0.503 | 115.60 ± 2.8 | 123.60 ± 3.9b | 0.143 | 117.60 ± 7.1 | 137.10 ± 6.3b | 0.024 | 109.80 ± 2.1 | 115.70 ± 2.6 | 0.204 | 0.153 | < 0.001 |
| Iron | 117.50 ± 3.5 | 113.00 ± 5.7a | 0.539 | 122.00 ± 3.1 | 133.40 ± 5.1b | 0.062 | 112.40 ± 5.8 | 127.30 ± 8.9ab | 0.167 | 119.00 ± 2.2 | 123.90 ± 3.7 | 0.289 | 0.349 | 0.007 |
| MAR | 0.66 ± 0.01a | 0.65 ± 0.01a | 0.385 | 0.72 ± 0.01b | 0.73 ± 0.01b | 0.679 | 0.70 ± 0.02 | 0.76 ± 0.02b | 0.076 | 0.69 ± 0.01 | 0.70 ± 0.01 | 0.778 | 0.012 | < 0.001 |
%, Mean ± SE
1)Estimated Energy Requirements (EER) for total energy, Recommended Nutrient Intake (RNI) for protein, vitamin A, vitamin C, thiamin, riboflavin, niacin, calcium, phosphorus and iron.
2)P-values were estimated by ANCOVA test in complex sample survey data analysis after adjusting for age.
3)P-values were estimated for 2019 income groups by ANCOVA test in complex sample survey data analysis after adjusting for age.
4)P-values were estimated for 2020 income groups by ANCOVA test in complex sample survey data analysis after adjusting for age.
a, b: Values with different superscripts in a row are significantly different from each other at P < 0.05 by Tukey test.
MAR: Mean Adequacy Ratio
| Characteristics |
Male (n = 1,054) |
|||||||||||||
|---|---|---|---|---|---|---|---|---|---|---|---|---|---|---|
|
Low income |
P-value1) |
Middle income |
P-value |
High income |
P-value |
Total |
P-value | 20192) P-value | 20203) P-value | |||||
| 2019 (n = 239) | 2020 (n = 165) | 2019 (n = 289) | 2020 (n = 247) | 2019 (n = 54) | 2020 (n = 60) | 2019 (n = 582) | 2020 (n = 472) | |||||||
| Total energy (kcal/day) | 1,674.80 ± 38.20a | 1,644.00 ± 58.50a | 0.682 | 1,868.30 ± 43.80b | 1,881.40 ± 51.20b | 0.994 | 2,052.80 ± 110.70b | 1,836.50 ± 81.50ab | 0.109 | 1,815.60 ± 31.20 | 1,797.70 ± 36.90 | 0.573 | 0.014 | 0.026 |
| Carbohydrate (g/1,000 kcal) | 168.40 ± 2.50a | 172.40 ± 2.40 | 0.275 | 163.80 ± 2.20a | 163.00 ± 2.90 | 0.863 | 152.20 ± 3.90b | 161.30 ± 4.90 | 0.146 | 164.20 ± 1.60 | 165.80 ± 2.00 | 0.475 | 0.017 | 0.043 |
| Fat (g/1,000 kcal) | 15.70 ± 0.60a | 15.60 ± 0.70a | 0.914 | 18.50 ± 0.50b | 19.90 ± 0.90b | 0.231 | 21.30 ± 0.90c | 19.90 ± 1.50b | 0.453 | 17.80 ± 0.40 | 18.50 ± 0.60 | 0.430 | < 0.001 | < 0.001 |
| Protein (g/1,000 kcal) | 34.70 ± 0.70 | 32.90 ± 0.70a | 0.067 | 35.20 ± 0.60 | 35.20 ± 0.90b | 0.980 | 37.10 ± 0.90 | 37.30 ± 1.30b | 0.945 | 35.20 ± 0.40 | 34.70 ± 0.40 | 0.431 | 0.662 | 0.005 |
| Fiber (g/1,000 kcal) | 15.10 ± 0.40 | 14.80 ± 0.50a | 0.668 | 15.20 ± 0.40 | 15.80 ± 0.40ab | 0.289 | 14.20 ± 0.70 | 17.00 ± 0.80b | 0.008 | 15.10 ± 0.30 | 15.60 ± 0.30 | 0.193 | 0.559 | 0.021 |
| Vitamin A (μgRAE/1,000 kcal) | 189.40 ± 14.30 | 150.50 ± 8.70a | 0.023 | 198.30 ± 16.50 | 210.60 ± 12.70b | 0.568 | 179.00 ± 14.60 | 223.60 ± 24.60b | 0.125 | 192.70 ± 10.30 | 192.90 ± 7.70 | 0.972 | 0.578 | < 0.001 |
| Vitamin C (mg/1,000 kcal) | 30.60 ± 1.90 | 31.20 ± 4.60 | 0.900 | 37.20 ± 2.70 | 35.50 ± 2.90 | 0.698 | 29.90 ± 3.50 | 41.30 ± 5.00 | 0.071 | 33.90 ± 1.60 | 34.90 ± 2.20 | 0.712 | 0.085 | 0.423 |
| Thiamin (mg/1,000 kcal) | 0.75 ± 0.01 | 0.68 ± 0.01 | 0.007 | 0.73 ± 0.01 | 0.65 ± 0.01 | 0.001 | 0.66 ± 0.03 | 0.69 ± 0.02 | 0.550 | 0.73 ± 0.01 | 0.67 ± 0.01 | < 0.001 | 0.078 | 0.260 |
| Riboflavin (mg/1,000 kcal) | 0.71 ± 0.02 | 0.74 ± 0.03a | 0.357 | 0.79 ± 0.02 | 0.82 ± 0.02ab | 0.270 | 0.84 ± 0.04 | 0.87 ± 0.04b | 0.677 | 0.76 ± 0.01 | 0.80 ± 0.01 | 0.127 | 0.058 | 0.037 |
| Niacin (mgNE/1,000 kcal) | 6.40 ± 0.17 | 6.06 ± 0.16 | 0.158 | 6.60 ± 0.17 | 6.39 ± 0.12 | 0.305 | 6.09 ± 0.27 | 6.43 ± 0.25 | 0.370 | 6.47 ± 0.11 | 6.29 ± 0.09 | 0.210 | 0.382 | 0.510 |
| Calcium (mg/1,000 kcal) | 295.80 ± 12.80 | 253.60 ± 10.50a | 0.011 | 295.60 ± 10.20 | 286.20 ± 9.30b | 0.504 | 297.30 ± 20.20 | 316.30 ± 15.90b | 0.465 | 295.90 ± 8.00 | 279.80 ± 7.10 | 0.135 | 0.990 | < 0.001 |
| Phosphorus (mg/1,000 kcal) | 554.20 ± 10.70 | 531.40 ± 11.10a | 0.141 | 571.30 ± 8.80 | 563.30 ± 9.30ab | 0.555 | 582.50 ± 25.80 | 604.10 ± 17.60b | 0.480 | 566.00 ± 6.80 | 558.70 ± 6.80 | 0.438 | 0.361 | < 0.001 |
| Sodium (mg/1,000 kcal) | 1,970.20 ± 62.10 | 1,936.10 ± 69.50 | 0.709 | 1,842.90 ± 49.20 | 1,875.90 ± 44.30 | 0.656 | 1,907.00 ± 102.20 | 1,779.10 ± 120.70 | 0.400 | 1,898.50 ± 36.70 | 1,881.80 ± 33.00 | 0.756 | 0.169 | 0.801 |
| Potassium (mg/1,000 kcal) | 1,552.80 ± 44.80 | 1,581.30 ± 43.20a | 0.646 | 1,592.80 ± 34.90 | 1,676.80 ± 31.90ab | 0.062 | 1,563.00 ± 68.00 | 1,789.10 ± 52.70b | 0.008 | 1,574.20 ± 27.20 | 1,661.60 ± 24.40 | 0.017 | 0.763 | 0.001 |
| Iron (mg/1,000 kcal) | 6.77 ± 0.19 | 6.09 ± 0.22a | 0.022 | 7.04 ± 0.24 | 6.48 ± 0.20ab | 0.064 | 6.58 ± 0.33 | 7.17 ± 0.34b | 0.214 | 6.89 ± 0.14 | 6.45 ± 0.14 | 0.030 | 0.472 | 0.016 |
| % Energy from carbohydrate | 70.30 ± 0.70a | 71.60 ± 0.90a | 0.320 | 67.70 ± 0.60b | 66.80 ± 1.00b | 0.483 | 63.90 ± 1.20c | 66.00 ± 1.70b | 0.341 | 68.30 ± 0.50 | 68.20 ± 0.70 | 0.963 | 0.001 | < 0.001 |
| % Energy from fat | 14.90 ± 0.60a | 14.60 ± 0.70a | 0.797 | 17.40 ± 0.50b | 18.60 ± 0.90b | 0.303 | 20.30 ± 0.90c | 18.40 ± 1.40b | 0.268 | 16.80 ± 0.30 | 17.20 ± 0.60 | 0.607 | < 0.001 | < 0.001 |
| % Energy from protein | 14.70 ± 0.30 | 13.70 ± 0.20a | 0.023 | 14.70 ± 0.20 | 14.50 ± 0.20ab | 0.581 | 15.60 ± 0.70 | 15.50 ± 0.60b | 0.888 | 14.80 ± 0.20 | 14.40 ± 0.10 | 0.138 | 0.672 | 0.019 |
| Characteristics |
Female (n = 1,354) |
|||||||||||||
|
Low income |
P-value |
Middle income |
P-value |
High income |
P-value |
Total |
P-value | 2019 P-value | 2020 P-value | |||||
| 2019 (n = 397) | 2020 (n = 262) | 2019 (n = 323) | 2020 (n = 262) | 2019 (n = 55) | 2020 (n = 55) | 2019 (n = 775) | 2020 (n = 579) | |||||||
| Total energy (kcal/day) | 1,323.60 ± 29.60 | 1,282.50 ± 36.90a | 0.273 | 1,397.50 ± 27.30 | 1,458.80 ± 43.00b | 0.302 | 1,443.40 ± 60.20 | 1,615.10 ± 69.80b | 0.067 | 1,363.20 ± 20.70 | 1,399.20 ± 27.80 | 0.522 | 0.466 | 0.002 |
| Carbohydrate (g/1,000 kcal) | 179.30 ± 1.40a | 177.80 ± 1.80a | 0.651 | 172.50 ± 1.90b | 170.40 ± 1.70b | 0.439 | 173.80 ± 3.70ab | 164.20 ± 3.30b | 0.067 | 176.10 ± 1.20 | 173.00 ± 1.30 | 0.001 | 0.024 | 0.004 |
| Fat (g/1,000 kcal) | 15.60 ± 0.50 | 16.60 ± 0.60a | 0.326 | 18.70 ± 0.60 | 19.30 ± 0.60b | 0.489 | 18.80 ± 1.30 | 21.10 ± 1.50b | 0.289 | 17.20 ± 0.40 | 18.30 ± 0.40 | 0.129 | < 0.001 | 0.021 |
| Protein (g/1,000 kcal) | 33.10 ± 0.40 | 32.40 ± 0.60 | 0.316 | 34.30 ± 0.60 | 35.10 ± 0.50 | 0.320 | 32.80 ± 1.00 | 36.00 ± 1.40 | 0.088 | 33.60 ± 0.30 | 34.00 ± 0.40 | 0.536 | 0.426 | 0.002 |
| Fiber (g/1,000 kcal) | 15.20 ± 0.30a | 17.00 ± 0.40 | 0.004 | 17.20 ± 0.40b | 18.30 ± 0.50 | 0.109 | 17.10 ± 0.80ab | 17.30 ± 1.00 | 0.872 | 16.20 ± 0.20 | 17.70 ± 0.30 | 0.003 | 0.031 | 0.146 |
| Vitamin A (μgRAE/1,000 kcal) | 210.50 ± 12.90ab | 205.80 ± 18.90 | 0.770 | 228.10 ± 16.60a | 247.50 ± 16.50 | 0.477 | 177.10 ± 15.30b | 238.20 ± 26.30 | 0.047 | 215.50 ± 10.30 | 228.50 ± 11.40 | 0.496 | 0.027 | 0.499 |
| Vitamin C (mg/1,000 kcal) | 38.10 ± 1.80a | 39.00 ± 3.90 | 0.890 | 49.90 ± 3.80b | 49.30 ± 4.30 | 0.849 | 45.40 ± 5.20ab | 48.70 ± 4.90 | 0.658 | 43.60 ± 2.00 | 44.80 ± 2.50 | 0.891 | 0.023 | 0.337 |
| Thiamin (mg/1,000 kcal) | 0.73 ± 0.01a | 0.73 ± 0.02 | 0.849 | 0.72 ± 0.01ab | 0.71 ± 0.01 | 0.656 | 0.64 ± 0.03b | 0.69 ± 0.04 | 0.385 | 0.72 ± 0.01 | 0.71 ± 0.01 | 0.760 | 0.023 | 0.666 |
| Riboflavin (mg/1,000 kcal) | 0.71 ± 0.02a | 0.79 ± 0.02 | 0.049 | 0.80 ± 0.02b | 0.87 ± 0.02 | 0.054 | 0.74 ± 0.04ab | 0.83 ± 0.04 | 0.200 | 0.75 ± 0.01 | 0.83 ± 0.01 | 0.002 | 0.022 | 0.241 |
| Niacin (mgNE/1,000 kcal) | 6.03 ± 0.12a | 6.19 ± 0.16 | 0.511 | 6.70 ± 0.19b | 6.26 ± 0.14 | 0.030 | 6.16 ± 0.26ab | 6.62 ± 0.36 | 0.310 | 6.35 ± 0.10 | 6.27 ± 0.10 | 0.443 | 0.017 | 0.626 |
| Calcium (mg/1,000 kcal) | 288.30 ± 9.80 | 292.20 ± 10.50 | 0.872 | 318.70 ± 10.80 | 323.90 ± 11.00 | 0.787 | 299.70 ± 20.50 | 317.30 ± 19.90 | 0.572 | 301.90 ± 7.30 | 309.50 ± 7.10 | 0.613 | 0.199 | 0.255 |
| Phosphorus (mg/1,000 kcal) | 545.30 ± 7.90 | 551.70 ± 8.60a | 0.480 | 581.00 ± 9.10 | 588.50 ± 8.00b | 0.578 | 568.40 ± 22.00 | 604.40 ± 18.90b | 0.248 | 562.00 ± 6.00 | 574.30 ± 5.70 | 0.234 | 0.066 | 0.001 |
| Sodium (mg/1,000 kcal) | 1,711.80 ± 49.60ab | 1,794.00 ± 59.20 | 0.285 | 1,803.00 ± 62.00a | 1,748.80 ± 47.80 | 0.487 | 1,496.90 ± 85.90b | 1,645.90 ± 113.90 | 0.301 | 1,734.60 ± 40.80 | 1,757.30 ± 35.90 | 0.661 | 0.010 | 0.689 |
| Potassium (mg/1,000 kcal) | 1,595.70 ± 30.50 | 1,722.60 ± 32.20 | 0.008 | 1,745.80 ± 42.20 | 1,849.80 ± 38.30 | 0.097 | 1,687.80 ± 73.80 | 1,775.60 ± 59.40 | 0.361 | 1,665.30 ± 27.50 | 1,786.90 ± 22.70 | 0.002 | 0.103 | 0.051 |
| Iron (mg/1,000 kcal) | 6.58 ± 0.14 | 6.55 ± 0.24 | 0.875 | 6.77 ± 0.15 | 7.11 ± 0.21 | 0.217 | 6.11 ± 0.20 | 6.02 ± 0.42 | 0.864 | 6.63 ± 0.09 | 6.75 ± 0.15 | 0.577 | 0.064 | 0.020 |
| % Energy from carbohydrate | 72.30 ± 0.50a | 71.70 ± 0.70a | 0.622 | 69.20 ± 0.70b | 68.30 ± 0.60b | 0.400 | 69.70 ± 1.50ab | 66.30 ± 1.40b | 0.118 | 70.80 ± 0.40 | 69.60 ± 0.50 | 0.156 | 0.003 | 0.003 |
| % Energy from fat | 14.20 ± 0.40 | 15.10 ± 0.60a | 0.311 | 16.90 ± 0.50 | 17.40 ± 0.50b | 0.508 | 17.00 ± 1.20 | 19.10 ± 1.30b | 0.277 | 15.50 ± 0.30 | 16.60 ± 0.40 | 0.128 | < 0.001 | 0.025 |
| % Energy from protein | 13.30 ± 0.10 | 13.10 ± 0.20 | 0.322 | 13.80 ± 0.20 | 14.10 ± 0.20 | 0.357 | 13.20 ± 0.40 | 14.50 ± 0.50 | 0.069 | 13.50 ± 0.10 | 13.70 ± 0.10 | 0.542 | 0.461 | 0.006 |
Mean ± SE
1)P-values were estimated by ANCOVA test in complex sample survey data analysis after adjusting for age.
2)P-values were estimated for 2019 income groups by ANCOVA test in complex sample survey data analysis after adjusting for age.
3)P-values were estimated for 2020 income groups by ANCOVA test in complex sample survey data analysis after adjusting for age.
a, b: Values with different superscripts in a row are significantly different from each other at P < 0.05 by Tukey test.
| Characteristics |
Male (n = 1,054) |
|||||||||||||
|---|---|---|---|---|---|---|---|---|---|---|---|---|---|---|
|
Low income |
P-value2) |
Middle income |
P-value |
High income |
P-value |
Total |
P-value | 20193) P-value | 20204) P-value | |||||
| 2019 (n = 239) | 2020 (n = 165) | 2019 (n = 289) | 2020 (n = 247) | 2019 (n = 54) | 2020 (n = 60) | 2019 (n = 582) | 2020 (n = 472) | |||||||
| Grains | 3.13 ± 0.08 | 3.20 ± 0.11 | 0.644 | 3.28 ± 0.08 | 3.36 ± 0.11 | 0.619 | 3.48 ± 0.26 | 3.11 ± 0.18 | 0.249 | 3.24 ± 0.05 | 3.27 ± 0.07 | 0.803 | 0.435 | 0.418 |
| Meats, fish, eggs, legumes | 2.88 ± 0.19a | 2.49 ± 0.18a | 0.146 | 3.56 ± 0.18b | 3.57 ± 0.28b | 0.916 | 4.29 ± 0.36b | 3.68 ± 0.31b | 0.207 | 3.38 ± 0.14 | 3.23 ± 0.18 | 0.408 | 0.021 | <0.001 |
| Vegetables | 6.70 ± 0.34 | 7.24 ± 0.54 | 0.386 | 7.08 ± 0.31 | 7.85 ± 0.31 | 0.089 | 7.22 ± 0.80 | 7.51 ± 0.60 | 0.766 | 6.95 ± 0.23 | 7.61 ± 0.25 | 0.071 | 0.961 | 0.657 |
| Fruits | 1.33 ± 0.14a | 1.16 ± 0.15a | 0.412 | 2.02 ± 0.24b | 2.01 ± 0.16b | 0.963 | 1.96 ± 0.39ab | 2.55 ± 0.50b | 0.350 | 1.75 ± 0.15 | 1.81 ± 0.14 | 0.809 | 0.027 | <0.001 |
| Milk & dairy products | 0.32 ± 0.05 | 0.27 ± 0.05a | 0.396 | 0.37 ± 0.04 | 0.41 ± 0.06b | 0.607 | 0.55 ± 0.13 | 0.53 ± 0.11b | 0.944 | 0.37 ± 003 | 0.38 ± 0.04 | 0.949 | 0.444 | 0.026 |
| Oils sweets | 1.12 ± 0.13 | 1.12 ± 0.13 | 0.993 | 1.41 ± 0.13 | 1.42 ± 0.11 | 0.983 | 1.47 ± 0.22 | 1.53 ± 0.29 | 0.869 | 1.31 ± 0.10 | 1.34 ± 0.08 | 0.859 | 0.300 | 0.187 |
| Characteristics |
Female (n = 1,354) |
|||||||||||||
|
Low income |
P-value |
Middle income |
P-value |
High income |
P-value |
Total |
P-value | 2019 P-value | 2020 P-value | |||||
| 2019 (n = 397) | 2020 (n = 262) | 2019 (n = 323) | 2020 (n = 262) | 2019 (n = 55) | 2020 (n = 55) | 2019 (n = 775) | 2020 (n = 579) | |||||||
| Grains | 2.64 ± 0.07 | 2.50 ± 0.08 | 0.175 | 2.57 ± 0.06 | 2.60 ± 0.09 | 0.867 | 2.74 ± 0.13 | 2.85 ± 0.23 | 0.641 | 2.62 ± 0.05 | 2.58 ± 0.06 | 0.597 | 0.350 | 0.385 |
| Meats, fish, eggs, legumes | 2.05 ± 0.10 | 2.11 ± 0.18 | 0.902 | 2.32 ± 0.11 | 2.64 ± 0.15 | 0.102 | 2.29 ± 0.24 | 2.84 ± 0.28 | 0.147 | 2.18 ± 0.08 | 2.43 ± 0.11 | 0.130 | 0.507 | 0.108 |
| Vegetables | 4.91 ± 0.21 | 5.48 ± 0.28 | 0.123 | 5.68 ± 0.37 | 6.19 ± 0.30 | 0.378 | 5.29 ± 0.43 | 6.10 ± 0.56 | 0.259 | 5.26 ± 0.19 | 5.87 ± 0.19 | 0.051 | 0.565 | 0.448 |
| Fruits | 1.52 ± 0.13a | 1.38 ± 0.15a | 0.345 | 2.10 ± 0.16b | 2.27 ± 0.21b | 0.578 | 1.93 ± 0.31ab | 2.55 ± 0.45b | 0.260 | 1.79 ± 0.10 | 1.92 ± 0.14 | 0.696 | 0.035 | <0.001 |
| Milk & dairy products | 0.39 ± 0.04 | 0.38 ± 0.05 | 0.880 | 0.44 ± 0.04 | 0.49 ± 0.06 | 0.542 | 0.65 ± 0.12 | 0.71 ± 0.12 | 0.756 | 0.43 ± 0.03 | 0.47 ± 0.04 | 0.607 | 0.146 | 0.073 |
| Oils sweets | 1.00 ± 0.12 | 0.85 ± 0.07a | 0.251 | 1.10 ± 0.08 | 1.25 ± 0.10b | 0.260 | 1.17 ± 0.18 | 1.63 ± 0.21b | 0.111 | 1.06 ± 0.07 | 1.12 ± 0.06 | 0.623 | 0.740 | <0.001 |
Number of servings, Mean ± SE
1)One serving is the amount of foods providing 300 kcal for grains, 100 kcal for meat, fish, eggs and legumes, 15 kcal for vegetables, 50 kcal for fruits, 125 kcal for milk and dairy products, and 45 kcal for fats, oils & sweets based on 2020 dietary reference intake for Koreans. Number of servings = total calories from a food group/calories in single serving.
2)P-values were estimated by ANCOVA test in complex sample survey data analysis after adjusting for age.
3)P-values were estimated for 2019 income groups by ANCOVA test in complex sample survey data analysis after adjusting for age.
4)P-values were estimated for 2020 income groups by ANCOVA test in complex sample survey data analysis after adjusting for age.
a, b: Values with different superscripts in a row are significantly different from each other at P < 0.05 by Tukey test.
| Characteristics |
Living alone (n = 570) |
P-value2) |
With spouse (n = 1185) |
P-value |
With spouse & children (n = 201) |
P-value |
Single with children (n = 101) |
P-value |
Other (n = 351) |
P-value |
Total (n = 2408) |
P-value | 20193) P-value | 20204) P-value | ||||||
|---|---|---|---|---|---|---|---|---|---|---|---|---|---|---|---|---|---|---|---|---|
| 2019 (n = 324) | 2020 (n = 246) | 2019 (n = 658) | 2020 (n = 527) | 2019 (n = 116) | 2020 (n = 85) | 2019 (n = 59) | 2020 (n = 42) | 2019 (n = 200) | 2020 (n = 151) | 2019 (n = 1,357) | 2020 (n=1,051) | |||||||||
| Energy | 89.32 ± 2.06 | 82.73 ± 2.13a | 0.015 | 89.88 ± 1.29 | 93.23 ± 1.69b | 0.137 | 97.68 ± 3.78 | 83.31 ± 4.17ab | 0.015 | 89.95 ± 4.65 | 87.89 ± 5.80ab | 0.652 | 84.75 ± 2.33 | 96.53 ± 3.77b | 0.026 | 89.74 ± 1.02 | 90.33 ± 1.51 | 0.936 | 0.177 | < 0.001 |
| Protein | 95.62 ± 3.11ab | 88.31 ± 3.02a | 0.054 | 100.63 ± 2.07bc | 107.50 ± 2.54b | 0.047 | 114.59 ± 5.98c | 94.70 ± 6.69ab | 0.034 | 90.95 ± 6.44ab | 97.15 ± 7.51ab | 0.636 | 90.70 ± 2.72a | 101.12 ± 5.46ab | 0.293 | 98.84 ± 1.65 | 100.59 ± 2.16 | 0.794 | 0.027 | 0.001 |
| Vitamin A | 44.72 ± 2.64 | 39.35 ± 2.64a | 0.099 | 51.50 ± 2.75 | 56.11 ± 2.77b | 0.241 | 70.44 ± 14.77 | 51.15 ± 7.32ab | 0.265 | 55.93 ± 12.68 | 55.38 ± 8.24ab | 0.880 | 43.59 ± 3.94 | 49.84 ± 4.92ab | 0.505 | 51.06 ± 2.60 | 50.99 ± 1.94 | 0.794 | 0.213 | 0.005 |
| Vitamin C | 53.24 ± 3.54 | 58.90 ± 5.33 | 0.489 | 61.89 ± 3.38 | 65.97 ± 4.05 | 0.470 | 64.61 ± 5.88 | 62.35 ± 9.62 | 0.912 | 78.89 ± 13.18 | 49.05 ± 7.45 | 0.041 | 63.81 ± 8.39 | 57.93 ± 5.57 | 0.333 | 61.70 ± 2.83 | 61.92 ± 2.76 | 0.851 | 0.256 | 0.346 |
| Thiamin | 110.64 ± 3.05 | 100.68 ± 3.30 | 0.031 | 114.41 ± 2.21 | 111.57 ± 2.54 | 0.439 | 118.93 ± 7.73 | 100.16 ± 8.18 | 0.109 | 109.81 ± 7.90 | 96.61 ± 6.65 | 0.199 | 106.24 ± 3.41 | 115.37 ± 5.02 | 0.180 | 112.43 ± 1.68 | 108.06 ± 2.08 | 0.099 | 0.391 | 0.005 |
| Riboflavin | 95.46 ± 3.38 | 94.82 ± 3.53a | 0.759 | 100.96 ± 2.84 | 117.18 ± 3.24b | <0.001 | 116.54 ± 7.57 | 102.07 ± 7.95ab | 0.239 | 97.43 ± 9.75 | 107.27 ± 9.92ab | 0.531 | 98.30 ± 5.35 | 105.08 ± 5.88ab | 0.727 | 100.88 ± 2.49 | 108.41 ± 2.83 | 0.076 | 0.473 | < 0.001 |
| Niacin | 71.09 ± 2.51 | 67.73 ± 2.54ac | 0.229 | 80.20 ± 1.88 | 80.54 ± 2.07c | 0.881 | 81.33 ± 4.46 | 71.77 ± 5.16abc | 0.186 | 68.68 ± 3.85 | 59.07 ± 4.13a | 0.055 | 70.61 ± 2.81 | 77.92 ± 4.16bc | 0.415 | 76.08 ± 1.35 | 75.48 ± 1.65 | 0.579 | 0.028 | < 0.001 |
| Calcium | 53.49 ± 2.13a | 52.10 ± 2.34a | 0.434 | 66.98 ± 2.14b | 67.50 ± 1.93b | 0.930 | 74.65 ± 4.93a | 59.35 ± 3.93ab | 0.018 | 54.30 ± 6.45ab | 50.07 ± 4.83a | 0.542 | 53.67 ± 3.26a | 59.62 ± 3.27ab | 0.509 | 61.95 ± 1.58 | 61.25 ± 1.60 | 0.483 | < 0.001 | < 0.001 |
| Phosphorus | 113.64 ± 3.27a | 112.46 ± 3.87a | 0.585 | 132.22 ± 2.50bc | 139.15 ± 2.93b | 0.093 | 147.36 ± 6.84c | 118.73 ± 6.62a | 0.003 | 114.64 ± 7.91ab | 113.22 ± 7.71a | 0.758 | 111.99 ± 3.88a | 124.71 ± 5.52ab | 0.259 | 125.47 ± 2.08 | 127.75 ± 2.46 | 0.766 | < 0.001 | < 0.001 |
| Iron | 123.14 ± 4.47 | 110.63 ± 4.19 | 0.030 | 131.37 ± 3.00 | 135.30 ± 4.61 | 0.492 | 140.76 ± 7.28 | 108.39 ± 6.65 | 0.001 | 116.02 ± 7.17 | 104.95 ± 8.38 | 0.234 | 117.52 ± 3.82 | 136.38 ± 9.54ab | 0.129 | 127.38 ± 2.05 | 126.11 ± 3.28 | 0.595 | 0.016 | < 0.001 |
| MAR | 0.68 ± 0.01a | 0.66 ± 0.01a | 0.211 | 0.73 ± 0.01b | 0.75 ± 0.01b | 0.175 | 0.76 ± 0.01b | 0.70 ± 0.02ab | 0.129 | 0.69 ± 0.03ab | 0.67 ± 0.03ab | 0.564 | 0.68 ± 0.01a | 0.71 ± 0.01ab | 0.460 | 0.71 ± 0.01 | 0.72 ± 0.01 | 0.955 | 0.002 | < 0.001 |
%, Mean ± SE
1)Estimated Energy Requirements (EER) for total energy, Recommended Nutrient Intake (RNI) for protein, vitamin A, vitamin C, thiamin, riboflavin, niacin, calcium, phosphorus and iron.
2)P-values were estimated by ANCOVA test in complex sample survey data analysis after adjusting for age.
3)P-values were estimated for 2019 household types by ANCOVA test in complex sample survey data analysis after adjusting for age.
4)P-values were estimated for 2020 household types by ANCOVA test in complex sample survey data analysis after adjusting for age.
a, b, c: Values with different superscripts in a row are significantly different from each other at P < 0.05 by Tukey test.
MAR: Mean Adequacy Ratio
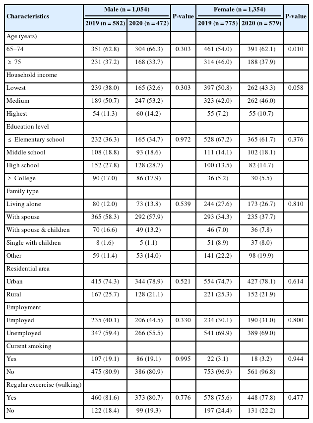
| Characteristics | Male (n = 1,054) |
P-value | Female (n = 1,354) |
P-value | ||
|---|---|---|---|---|---|---|
| 2019 (n = 582) | 2020 (n = 472) | 2019 (n = 775) | 2020 (n = 579) | |||
| Age (years) | ||||||
| 65–74 | 351 (62.8) | 304 (66.3) | 0.303 | 461 (54.0) | 391 (62.1) | 0.010 |
| ≥ 75 | 231 (37.2) | 168 (33.7) | 314 (46.0) | 188 (37.9) | ||
| Household income | ||||||
| Lowest | 239 (38.0) | 165 (32.6) | 0.303 | 397 (50.8) | 262 (43.3) | 0.058 |
| Medium | 189 (50.7) | 247 (53.2) | 323 (42.0) | 262 (46.0) | ||
| Highest | 54 (11.3) | 60 (14.2) | 55 (7.2) | 55 (10.7) | ||
| Education level | ||||||
| ≤ Elementary school | 232 (36.3) | 165 (34.7) | 0.972 | 528 (67.2) | 365 (61.7) | 0.376 |
| Middle school | 108 (18.8) | 93 (18.6) | 111 (14.1) | 102 (18.1) | ||
| High school | 152 (27.8) | 128 (28.7) | 100 (13.5) | 82 (14.7) | ||
| ≥ College | 90 (17.0) | 86 (17.9) | 36 (5.2) | 30 (5.5) | ||
| Family type | ||||||
| Living alone | 80 (12.0) | 73 (13.8) | 0.539 | 244 (27.6) | 173 (26.7) | 0.810 |
| With spouse | 365 (58.3) | 292 (57.9) | 293 (34.3) | 235 (37.7) | ||
| With spouse & children | 70 (16.6) | 49 (13.2) | 46 (7.0) | 36 (7.8) | ||
| Single with children | 8 (1.6) | 5 (1.1) | 51 (8.9) | 37 (8.0) | ||
| Other | 59 (11.4) | 53 (14.0) | 141 (22.2) | 98 (19.9) | ||
| Residential area | ||||||
| Urban | 415 (74.3) | 344 (78.9) | 0.521 | 554 (74.7) | 427 (78.1) | 0.614 |
| Rural | 167 (25.7) | 128 (21.1) | 221 (25.3) | 152 (21.9) | ||
| Employment | ||||||
| Employed | 235 (40.1) | 206 (44.5) | 0.330 | 234 (30.1) | 190 (31.0) | 0.800 |
| Unemployed | 347 (59.4) | 266 (55.5) | 541 (69.9) | 389 (69.0) | ||
| Current smoking | ||||||
| Yes | 107 (19.1) | 86 (19.1) | 0.995 | 22 (3.1) | 18 (3.2) | 0.944 |
| No | 475 (80.9) | 386 (80.9) | 753 (96.9) | 561 (96.8) | ||
| Regular excercise (walking) | ||||||
| Yes | 460 (81.6) | 373 (80.7) | 0.776 | 578 (75.6) | 448 (77.8) | 0.477 |
| No | 122 (18.4) | 99 (19.3) | 197 (24.4) | 131 (22.2) | ||
| Characteristics | Male (n = 1,054) |
|||||||||||||
|---|---|---|---|---|---|---|---|---|---|---|---|---|---|---|
| Low income |
P-value |
Middle income |
P-value | High income |
P-value | Total |
P-value | 2019 |
2020 |
|||||
| 2019 (n = 239) | 2020 (n = 165) | 2019 (n = 289) | 2020 (n = 247) | 2019 (n = 54) | 2020 (n = 60) | 2019 (n = 582) | 2020 (n = 472) | |||||||
| Energy | 86.00 ± 1.9 |
84.40 ± 2.9 |
0.660 | 94.80 ± 2.1 |
95.30 ± 2.5 |
0.998 | 103.00 ± 5.5 |
92.30 ± 4.1 |
0.113 | 92.40 ± 1.5 | 91.30 ± 1.8 | 0.574 | 0.016 | 0.025 |
| Protein | 98.00 ± 3.2 |
90.20 ± 3.1 |
0.091 | 110.40 ± 3.4 |
110.50 ± 3.6 |
0.889 | 125.20 ± 6.9 |
114.80 ± 5.6 |
0.244 | 107.30 ± 2.6 | 104.50 ± 2.4 | 0.333 | 0.029 | < 0.001 |
| Vitamin A | 47.90 ± 4.4 | 35.30 ± 2.5 |
0.016 | 56.50 ± 7.4 | 55.10 ± 3.2 |
0.823 | 51.80 ± 4.7 | 54.90 ± 5.4 |
0.665 | 52.70 ± 4.1 | 48.60 ± 2.0 | 0.338 | 0.720 | < 0.001 |
| Vitamin C | 53.90 ± 4.3 | 48.10 ± 5.2 | 0.420 | 66.60 ± 4.9 | 64.90 ± 5.2 | 0.792 | 62.40 ± 8.3 | 69.80 ± 7.8 | 0.535 | 61.30 ± 3.1 | 60.10 ± 3.5 | 0.762 | 0.213 | 0.076 |
| Thiamin | 113.20 ± 3.6 | 101.00 ± 4.3 | 0.033 | 121.10 ± 4.0 | 109.70 ± 3.5 | 0.022 | 121.90 ± 10.1 | 114.30 ± 6.6 | 0.527 | 118.20 ± 2.9 | 107.50 ± 2.4 | 0.003 | 0.698 | 0.277 |
| Riboflavin | 90.50 ± 4.0 |
90.20 ± 4.4 |
0.969 | 108.50 ± 3.8 |
112.80 ± 4.5 |
0.516 | 123.00 ± 7.5 |
114.70 ± 8.3 |
0.454 | 103.30 ± 3.0 | 105.70 ± 3.2 | 0.653 | 0.005 | < 0.001 |
| Niacin | 79.90 ± 3.1 | 74.10 ± 3.4 | 0.202 | 89.30 ± 2.8 | 86.40 ± 2.7 | 0.396 | 87.20 ± 5.4 | 84.40 ± 4.5 | 0.694 | 85.50 ± 1.9 | 82.10 ± 2.0 | 0.202 | 0.124 | 0.050 |
| Calcium | 71.30 ± 3.7 | 59.20 ± 3.2 |
0.015 | 77.30 ± 3.1 | 74.60 ± 2.7 |
0.447 | 84.50 ± 5.0 | 79.20 ± 4.1 |
0.421 | 75.90 ± 2.5 | 70.20 ± 2.1 | 0.067 | 0.572 | < 0.001 |
| Phosphorus | 132.70 ± 4.3 |
124.00 ± 4.6 |
0.179 | 151.40 ± 3.9 |
149.50 ± 3.9 |
0.627 | 166.20 ± 8.1 |
157.10 ± 6.9 |
0.390 | 146.00 ± 3.1 | 142.30 ± 2.9 | 0.300 | 0.006 | < 0.001 |
| Iron | 126.50 ± 5.3 | 111.00 ± 5.7 |
0.051 | 145.50 ± 5.6 | 135.90 ± 6.5 |
0.202 | 145.30 ± 7.8 | 142.00 ± 8.1 |
0.771 | 138.30 ± 3.6 | 128.60 ± 4.1 | 0.058 | 0.144 | 0.011 |
| MAR | 0.71 ± 0.01 |
0.67 ± 0.01 |
0.123 | 0.76 ± 0.01 |
0.77 ± 0.01 |
0.580 | 0.80 ± 0.01 |
0.79 ± 0.01 |
0.648 | 0.74 ± 0.01 | 0.74 ± 0.01 | 0.716 | 0.002 | < 0.001 |
| Characteristics | Female (n = 1,354) |
|||||||||||||
| Low income |
P-value | Middle income |
P-value | High income |
P-value | Total |
P-value | 2019 P-value | 2020 P-value | |||||
| 2019 (n = 397) | 2020 (n = 262) | 2019 (n = 323) | 2020 (n = 262) | 2019 (n = 55) | 2020 (n = 55) | 2019 (n = 775) | 2020 (n = 579) | |||||||
| Energy | 85.80 ± 1.9 | 82.60 ± 52.3 |
0.261 | 89.30 ± 1.7 | 92.70 ± 2.7 |
0.324 | 91.80 ± 3.8 | 103.10 ± 4.4 |
0.060 | 87.70 ± 1.3 | 89.40 ± 1.7 | 0.546 | 0.442 | 0.002 |
| Protein | 89.00 ± 2.4 | 85.20 ± 3.5 |
0.267 | 95.90 ± 2.5 | 103.90 ± 3.7 |
0.104 | 95.00 ± 5.1 | 117.80 ± 5.5 |
0.003 | 92.30 ± 1.7 | 97.30 ± 2.5 | 0.229 | 0.563 | < 0.001 |
| Vitamin A | 47.60 ± 3.0 | 44.40 ± 4.3 | 0.442 | 53.30 ± 4.3 | 59.10 ± 3.6 | 0.383 | 43.70 ± 4.3 | 60.70 ± 6.0 | 0.024 | 49.70 ± 2.5 | 52.90 ± 2.5 | 0.549 | 0.163 | 0.119 |
| Vitamin C | 52.60 ± 3.1 | 51.60 ± 5.1 | 0.716 | 72.30 ± 6.8 | 70.90 ± 5.6 | 0.768 | 67.30 ± 9.0 | 78.30 ± 8.3 | 0.381 | 61.90 ± 3.6 | 63.30 ± 3.3 | 0.936 | 0.057 | 0.062 |
| Thiamin | 109.70 ± 2.7 | 104.10 ± 4.0 | 0.315 | 107.60 ± 2.6 | 109.70 ± 4.1 | 0.613 | 98.20 ± 4.9 | 120.40 ± 7.0 | 0.007 | 108.00 ± 1.9 | 108.40 ± 2.6 | 0.732 | 0.208 | 0.073 |
| Riboflavin | 92.60 ± 3.5 | 98.40 ± 5.0 |
0.428 | 106.10 ± 3.6 | 119.10 ± 4.3 |
0.036 | 102.00 ± 8.1 | 122.90 ± 7.7 |
0.068 | 98.90 ± 2.8 | 110.50 ± 3.1 | 0.016 | 0.081 | 0.018 |
| Niacin | 64.60 ± 1.9 |
63.70 ± 2.6 |
0.679 | 74.00 ± 2.3 |
72.00 ± 2.7 |
0.474 | 68.40 ± 3.2 |
86.50 ± 5.9 |
0.009 | 68.80 ± 1.4 | 69.90 ± 1.7 | 0.889 | 0.030 | 0.007 |
| Calcium | 47.90 ± 2.0 | 46.50 ± 2.0 |
0.461 | 54.70 ± 1.9 | 58.70 ± 2.4 |
0.002 | 55.20 ± 5.1 | 62.10 ± 4.3 |
0.335 | 51.30 ± 1.5 | 53.70 ± 1.6 | 0.496 | 0.222 | < 0.001 |
| Phosphorus | 103.90 ± 2.9 | 101.90 ± 3.5 |
0.503 | 115.60 ± 2.8 | 123.60 ± 3.9 |
0.143 | 117.60 ± 7.1 | 137.10 ± 6.3 |
0.024 | 109.80 ± 2.1 | 115.70 ± 2.6 | 0.204 | 0.153 | < 0.001 |
| Iron | 117.50 ± 3.5 | 113.00 ± 5.7 |
0.539 | 122.00 ± 3.1 | 133.40 ± 5.1 |
0.062 | 112.40 ± 5.8 | 127.30 ± 8.9 |
0.167 | 119.00 ± 2.2 | 123.90 ± 3.7 | 0.289 | 0.349 | 0.007 |
| MAR | 0.66 ± 0.01 |
0.65 ± 0.01 |
0.385 | 0.72 ± 0.01 |
0.73 ± 0.01 |
0.679 | 0.70 ± 0.02 | 0.76 ± 0.02 |
0.076 | 0.69 ± 0.01 | 0.70 ± 0.01 | 0.778 | 0.012 | < 0.001 |
| Characteristics | Male (n = 1,054) |
|||||||||||||
|---|---|---|---|---|---|---|---|---|---|---|---|---|---|---|
| Low income |
P-value |
Middle income |
P-value | High income |
P-value | Total |
P-value | 2019 |
2020 |
|||||
| 2019 (n = 239) | 2020 (n = 165) | 2019 (n = 289) | 2020 (n = 247) | 2019 (n = 54) | 2020 (n = 60) | 2019 (n = 582) | 2020 (n = 472) | |||||||
| Total energy (kcal/day) | 1,674.80 ± 38.20 |
1,644.00 ± 58.50 |
0.682 | 1,868.30 ± 43.80 |
1,881.40 ± 51.20 |
0.994 | 2,052.80 ± 110.70 |
1,836.50 ± 81.50 |
0.109 | 1,815.60 ± 31.20 | 1,797.70 ± 36.90 | 0.573 | 0.014 | 0.026 |
| Carbohydrate (g/1,000 kcal) | 168.40 ± 2.50 |
172.40 ± 2.40 | 0.275 | 163.80 ± 2.20 |
163.00 ± 2.90 | 0.863 | 152.20 ± 3.90 |
161.30 ± 4.90 | 0.146 | 164.20 ± 1.60 | 165.80 ± 2.00 | 0.475 | 0.017 | 0.043 |
| Fat (g/1,000 kcal) | 15.70 ± 0.60 |
15.60 ± 0.70 |
0.914 | 18.50 ± 0.50 |
19.90 ± 0.90 |
0.231 | 21.30 ± 0.90c | 19.90 ± 1.50 |
0.453 | 17.80 ± 0.40 | 18.50 ± 0.60 | 0.430 | < 0.001 | < 0.001 |
| Protein (g/1,000 kcal) | 34.70 ± 0.70 | 32.90 ± 0.70 |
0.067 | 35.20 ± 0.60 | 35.20 ± 0.90 |
0.980 | 37.10 ± 0.90 | 37.30 ± 1.30 |
0.945 | 35.20 ± 0.40 | 34.70 ± 0.40 | 0.431 | 0.662 | 0.005 |
| Fiber (g/1,000 kcal) | 15.10 ± 0.40 | 14.80 ± 0.50 |
0.668 | 15.20 ± 0.40 | 15.80 ± 0.40 |
0.289 | 14.20 ± 0.70 | 17.00 ± 0.80 |
0.008 | 15.10 ± 0.30 | 15.60 ± 0.30 | 0.193 | 0.559 | 0.021 |
| Vitamin A (μgRAE/1,000 kcal) | 189.40 ± 14.30 | 150.50 ± 8.70 |
0.023 | 198.30 ± 16.50 | 210.60 ± 12.70 |
0.568 | 179.00 ± 14.60 | 223.60 ± 24.60 |
0.125 | 192.70 ± 10.30 | 192.90 ± 7.70 | 0.972 | 0.578 | < 0.001 |
| Vitamin C (mg/1,000 kcal) | 30.60 ± 1.90 | 31.20 ± 4.60 | 0.900 | 37.20 ± 2.70 | 35.50 ± 2.90 | 0.698 | 29.90 ± 3.50 | 41.30 ± 5.00 | 0.071 | 33.90 ± 1.60 | 34.90 ± 2.20 | 0.712 | 0.085 | 0.423 |
| Thiamin (mg/1,000 kcal) | 0.75 ± 0.01 | 0.68 ± 0.01 | 0.007 | 0.73 ± 0.01 | 0.65 ± 0.01 | 0.001 | 0.66 ± 0.03 | 0.69 ± 0.02 | 0.550 | 0.73 ± 0.01 | 0.67 ± 0.01 | < 0.001 | 0.078 | 0.260 |
| Riboflavin (mg/1,000 kcal) | 0.71 ± 0.02 | 0.74 ± 0.03 |
0.357 | 0.79 ± 0.02 | 0.82 ± 0.02 |
0.270 | 0.84 ± 0.04 | 0.87 ± 0.04 |
0.677 | 0.76 ± 0.01 | 0.80 ± 0.01 | 0.127 | 0.058 | 0.037 |
| Niacin (mgNE/1,000 kcal) | 6.40 ± 0.17 | 6.06 ± 0.16 | 0.158 | 6.60 ± 0.17 | 6.39 ± 0.12 | 0.305 | 6.09 ± 0.27 | 6.43 ± 0.25 | 0.370 | 6.47 ± 0.11 | 6.29 ± 0.09 | 0.210 | 0.382 | 0.510 |
| Calcium (mg/1,000 kcal) | 295.80 ± 12.80 | 253.60 ± 10.50 |
0.011 | 295.60 ± 10.20 | 286.20 ± 9.30 |
0.504 | 297.30 ± 20.20 | 316.30 ± 15.90 |
0.465 | 295.90 ± 8.00 | 279.80 ± 7.10 | 0.135 | 0.990 | < 0.001 |
| Phosphorus (mg/1,000 kcal) | 554.20 ± 10.70 | 531.40 ± 11.10 |
0.141 | 571.30 ± 8.80 | 563.30 ± 9.30 |
0.555 | 582.50 ± 25.80 | 604.10 ± 17.60 |
0.480 | 566.00 ± 6.80 | 558.70 ± 6.80 | 0.438 | 0.361 | < 0.001 |
| Sodium (mg/1,000 kcal) | 1,970.20 ± 62.10 | 1,936.10 ± 69.50 | 0.709 | 1,842.90 ± 49.20 | 1,875.90 ± 44.30 | 0.656 | 1,907.00 ± 102.20 | 1,779.10 ± 120.70 | 0.400 | 1,898.50 ± 36.70 | 1,881.80 ± 33.00 | 0.756 | 0.169 | 0.801 |
| Potassium (mg/1,000 kcal) | 1,552.80 ± 44.80 | 1,581.30 ± 43.20 |
0.646 | 1,592.80 ± 34.90 | 1,676.80 ± 31.90 |
0.062 | 1,563.00 ± 68.00 | 1,789.10 ± 52.70 |
0.008 | 1,574.20 ± 27.20 | 1,661.60 ± 24.40 | 0.017 | 0.763 | 0.001 |
| Iron (mg/1,000 kcal) | 6.77 ± 0.19 | 6.09 ± 0.22 |
0.022 | 7.04 ± 0.24 | 6.48 ± 0.20 |
0.064 | 6.58 ± 0.33 | 7.17 ± 0.34 |
0.214 | 6.89 ± 0.14 | 6.45 ± 0.14 | 0.030 | 0.472 | 0.016 |
| % Energy from carbohydrate | 70.30 ± 0.70 |
71.60 ± 0.90 |
0.320 | 67.70 ± 0.60 |
66.80 ± 1.00 |
0.483 | 63.90 ± 1.20c | 66.00 ± 1.70 |
0.341 | 68.30 ± 0.50 | 68.20 ± 0.70 | 0.963 | 0.001 | < 0.001 |
| % Energy from fat | 14.90 ± 0.60 |
14.60 ± 0.70 |
0.797 | 17.40 ± 0.50 |
18.60 ± 0.90 |
0.303 | 20.30 ± 0.90c | 18.40 ± 1.40 |
0.268 | 16.80 ± 0.30 | 17.20 ± 0.60 | 0.607 | < 0.001 | < 0.001 |
| % Energy from protein | 14.70 ± 0.30 | 13.70 ± 0.20 |
0.023 | 14.70 ± 0.20 | 14.50 ± 0.20 |
0.581 | 15.60 ± 0.70 | 15.50 ± 0.60 |
0.888 | 14.80 ± 0.20 | 14.40 ± 0.10 | 0.138 | 0.672 | 0.019 |
| Characteristics | Female (n = 1,354) |
|||||||||||||
| Low income |
P-value | Middle income |
P-value | High income |
P-value | Total |
P-value | 2019 P-value | 2020 P-value | |||||
| 2019 (n = 397) | 2020 (n = 262) | 2019 (n = 323) | 2020 (n = 262) | 2019 (n = 55) | 2020 (n = 55) | 2019 (n = 775) | 2020 (n = 579) | |||||||
| Total energy (kcal/day) | 1,323.60 ± 29.60 | 1,282.50 ± 36.90 |
0.273 | 1,397.50 ± 27.30 | 1,458.80 ± 43.00 |
0.302 | 1,443.40 ± 60.20 | 1,615.10 ± 69.80 |
0.067 | 1,363.20 ± 20.70 | 1,399.20 ± 27.80 | 0.522 | 0.466 | 0.002 |
| Carbohydrate (g/1,000 kcal) | 179.30 ± 1.40 |
177.80 ± 1.80 |
0.651 | 172.50 ± 1.90 |
170.40 ± 1.70 |
0.439 | 173.80 ± 3.70 |
164.20 ± 3.30 |
0.067 | 176.10 ± 1.20 | 173.00 ± 1.30 | 0.001 | 0.024 | 0.004 |
| Fat (g/1,000 kcal) | 15.60 ± 0.50 | 16.60 ± 0.60 |
0.326 | 18.70 ± 0.60 | 19.30 ± 0.60 |
0.489 | 18.80 ± 1.30 | 21.10 ± 1.50 |
0.289 | 17.20 ± 0.40 | 18.30 ± 0.40 | 0.129 | < 0.001 | 0.021 |
| Protein (g/1,000 kcal) | 33.10 ± 0.40 | 32.40 ± 0.60 | 0.316 | 34.30 ± 0.60 | 35.10 ± 0.50 | 0.320 | 32.80 ± 1.00 | 36.00 ± 1.40 | 0.088 | 33.60 ± 0.30 | 34.00 ± 0.40 | 0.536 | 0.426 | 0.002 |
| Fiber (g/1,000 kcal) | 15.20 ± 0.30 |
17.00 ± 0.40 | 0.004 | 17.20 ± 0.40 |
18.30 ± 0.50 | 0.109 | 17.10 ± 0.80 |
17.30 ± 1.00 | 0.872 | 16.20 ± 0.20 | 17.70 ± 0.30 | 0.003 | 0.031 | 0.146 |
| Vitamin A (μgRAE/1,000 kcal) | 210.50 ± 12.90 |
205.80 ± 18.90 | 0.770 | 228.10 ± 16.60 |
247.50 ± 16.50 | 0.477 | 177.10 ± 15.30 |
238.20 ± 26.30 | 0.047 | 215.50 ± 10.30 | 228.50 ± 11.40 | 0.496 | 0.027 | 0.499 |
| Vitamin C (mg/1,000 kcal) | 38.10 ± 1.80 |
39.00 ± 3.90 | 0.890 | 49.90 ± 3.80 |
49.30 ± 4.30 | 0.849 | 45.40 ± 5.20 |
48.70 ± 4.90 | 0.658 | 43.60 ± 2.00 | 44.80 ± 2.50 | 0.891 | 0.023 | 0.337 |
| Thiamin (mg/1,000 kcal) | 0.73 ± 0.01 |
0.73 ± 0.02 | 0.849 | 0.72 ± 0.01 |
0.71 ± 0.01 | 0.656 | 0.64 ± 0.03 |
0.69 ± 0.04 | 0.385 | 0.72 ± 0.01 | 0.71 ± 0.01 | 0.760 | 0.023 | 0.666 |
| Riboflavin (mg/1,000 kcal) | 0.71 ± 0.02 |
0.79 ± 0.02 | 0.049 | 0.80 ± 0.02 |
0.87 ± 0.02 | 0.054 | 0.74 ± 0.04 |
0.83 ± 0.04 | 0.200 | 0.75 ± 0.01 | 0.83 ± 0.01 | 0.002 | 0.022 | 0.241 |
| Niacin (mgNE/1,000 kcal) | 6.03 ± 0.12 |
6.19 ± 0.16 | 0.511 | 6.70 ± 0.19 |
6.26 ± 0.14 | 0.030 | 6.16 ± 0.26 |
6.62 ± 0.36 | 0.310 | 6.35 ± 0.10 | 6.27 ± 0.10 | 0.443 | 0.017 | 0.626 |
| Calcium (mg/1,000 kcal) | 288.30 ± 9.80 | 292.20 ± 10.50 | 0.872 | 318.70 ± 10.80 | 323.90 ± 11.00 | 0.787 | 299.70 ± 20.50 | 317.30 ± 19.90 | 0.572 | 301.90 ± 7.30 | 309.50 ± 7.10 | 0.613 | 0.199 | 0.255 |
| Phosphorus (mg/1,000 kcal) | 545.30 ± 7.90 | 551.70 ± 8.60 |
0.480 | 581.00 ± 9.10 | 588.50 ± 8.00 |
0.578 | 568.40 ± 22.00 | 604.40 ± 18.90 |
0.248 | 562.00 ± 6.00 | 574.30 ± 5.70 | 0.234 | 0.066 | 0.001 |
| Sodium (mg/1,000 kcal) | 1,711.80 ± 49.60 |
1,794.00 ± 59.20 | 0.285 | 1,803.00 ± 62.00 |
1,748.80 ± 47.80 | 0.487 | 1,496.90 ± 85.90 |
1,645.90 ± 113.90 | 0.301 | 1,734.60 ± 40.80 | 1,757.30 ± 35.90 | 0.661 | 0.010 | 0.689 |
| Potassium (mg/1,000 kcal) | 1,595.70 ± 30.50 | 1,722.60 ± 32.20 | 0.008 | 1,745.80 ± 42.20 | 1,849.80 ± 38.30 | 0.097 | 1,687.80 ± 73.80 | 1,775.60 ± 59.40 | 0.361 | 1,665.30 ± 27.50 | 1,786.90 ± 22.70 | 0.002 | 0.103 | 0.051 |
| Iron (mg/1,000 kcal) | 6.58 ± 0.14 | 6.55 ± 0.24 | 0.875 | 6.77 ± 0.15 | 7.11 ± 0.21 | 0.217 | 6.11 ± 0.20 | 6.02 ± 0.42 | 0.864 | 6.63 ± 0.09 | 6.75 ± 0.15 | 0.577 | 0.064 | 0.020 |
| % Energy from carbohydrate | 72.30 ± 0.50 |
71.70 ± 0.70 |
0.622 | 69.20 ± 0.70 |
68.30 ± 0.60 |
0.400 | 69.70 ± 1.50 |
66.30 ± 1.40 |
0.118 | 70.80 ± 0.40 | 69.60 ± 0.50 | 0.156 | 0.003 | 0.003 |
| % Energy from fat | 14.20 ± 0.40 | 15.10 ± 0.60 |
0.311 | 16.90 ± 0.50 | 17.40 ± 0.50 |
0.508 | 17.00 ± 1.20 | 19.10 ± 1.30 |
0.277 | 15.50 ± 0.30 | 16.60 ± 0.40 | 0.128 | < 0.001 | 0.025 |
| % Energy from protein | 13.30 ± 0.10 | 13.10 ± 0.20 | 0.322 | 13.80 ± 0.20 | 14.10 ± 0.20 | 0.357 | 13.20 ± 0.40 | 14.50 ± 0.50 | 0.069 | 13.50 ± 0.10 | 13.70 ± 0.10 | 0.542 | 0.461 | 0.006 |
| Characteristics | Male (n = 1,054) |
|||||||||||||
|---|---|---|---|---|---|---|---|---|---|---|---|---|---|---|
| Low income |
P-value |
Middle income |
P-value | High income |
P-value | Total |
P-value | 2019 |
2020 |
|||||
| 2019 (n = 239) | 2020 (n = 165) | 2019 (n = 289) | 2020 (n = 247) | 2019 (n = 54) | 2020 (n = 60) | 2019 (n = 582) | 2020 (n = 472) | |||||||
| Grains | 3.13 ± 0.08 | 3.20 ± 0.11 | 0.644 | 3.28 ± 0.08 | 3.36 ± 0.11 | 0.619 | 3.48 ± 0.26 | 3.11 ± 0.18 | 0.249 | 3.24 ± 0.05 | 3.27 ± 0.07 | 0.803 | 0.435 | 0.418 |
| Meats, fish, eggs, legumes | 2.88 ± 0.19 |
2.49 ± 0.18 |
0.146 | 3.56 ± 0.18 |
3.57 ± 0.28 |
0.916 | 4.29 ± 0.36 |
3.68 ± 0.31 |
0.207 | 3.38 ± 0.14 | 3.23 ± 0.18 | 0.408 | 0.021 | <0.001 |
| Vegetables | 6.70 ± 0.34 | 7.24 ± 0.54 | 0.386 | 7.08 ± 0.31 | 7.85 ± 0.31 | 0.089 | 7.22 ± 0.80 | 7.51 ± 0.60 | 0.766 | 6.95 ± 0.23 | 7.61 ± 0.25 | 0.071 | 0.961 | 0.657 |
| Fruits | 1.33 ± 0.14 |
1.16 ± 0.15 |
0.412 | 2.02 ± 0.24 |
2.01 ± 0.16 |
0.963 | 1.96 ± 0.39 |
2.55 ± 0.50 |
0.350 | 1.75 ± 0.15 | 1.81 ± 0.14 | 0.809 | 0.027 | <0.001 |
| Milk & dairy products | 0.32 ± 0.05 | 0.27 ± 0.05 |
0.396 | 0.37 ± 0.04 | 0.41 ± 0.06 |
0.607 | 0.55 ± 0.13 | 0.53 ± 0.11 |
0.944 | 0.37 ± 003 | 0.38 ± 0.04 | 0.949 | 0.444 | 0.026 |
| Oils sweets | 1.12 ± 0.13 | 1.12 ± 0.13 | 0.993 | 1.41 ± 0.13 | 1.42 ± 0.11 | 0.983 | 1.47 ± 0.22 | 1.53 ± 0.29 | 0.869 | 1.31 ± 0.10 | 1.34 ± 0.08 | 0.859 | 0.300 | 0.187 |
| Characteristics | Female (n = 1,354) |
|||||||||||||
| Low income |
P-value | Middle income |
P-value | High income |
P-value | Total |
P-value | 2019 P-value | 2020 P-value | |||||
| 2019 (n = 397) | 2020 (n = 262) | 2019 (n = 323) | 2020 (n = 262) | 2019 (n = 55) | 2020 (n = 55) | 2019 (n = 775) | 2020 (n = 579) | |||||||
| Grains | 2.64 ± 0.07 | 2.50 ± 0.08 | 0.175 | 2.57 ± 0.06 | 2.60 ± 0.09 | 0.867 | 2.74 ± 0.13 | 2.85 ± 0.23 | 0.641 | 2.62 ± 0.05 | 2.58 ± 0.06 | 0.597 | 0.350 | 0.385 |
| Meats, fish, eggs, legumes | 2.05 ± 0.10 | 2.11 ± 0.18 | 0.902 | 2.32 ± 0.11 | 2.64 ± 0.15 | 0.102 | 2.29 ± 0.24 | 2.84 ± 0.28 | 0.147 | 2.18 ± 0.08 | 2.43 ± 0.11 | 0.130 | 0.507 | 0.108 |
| Vegetables | 4.91 ± 0.21 | 5.48 ± 0.28 | 0.123 | 5.68 ± 0.37 | 6.19 ± 0.30 | 0.378 | 5.29 ± 0.43 | 6.10 ± 0.56 | 0.259 | 5.26 ± 0.19 | 5.87 ± 0.19 | 0.051 | 0.565 | 0.448 |
| Fruits | 1.52 ± 0.13 |
1.38 ± 0.15 |
0.345 | 2.10 ± 0.16 |
2.27 ± 0.21 |
0.578 | 1.93 ± 0.31 |
2.55 ± 0.45 |
0.260 | 1.79 ± 0.10 | 1.92 ± 0.14 | 0.696 | 0.035 | <0.001 |
| Milk & dairy products | 0.39 ± 0.04 | 0.38 ± 0.05 | 0.880 | 0.44 ± 0.04 | 0.49 ± 0.06 | 0.542 | 0.65 ± 0.12 | 0.71 ± 0.12 | 0.756 | 0.43 ± 0.03 | 0.47 ± 0.04 | 0.607 | 0.146 | 0.073 |
| Oils sweets | 1.00 ± 0.12 | 0.85 ± 0.07 |
0.251 | 1.10 ± 0.08 | 1.25 ± 0.10 |
0.260 | 1.17 ± 0.18 | 1.63 ± 0.21 |
0.111 | 1.06 ± 0.07 | 1.12 ± 0.06 | 0.623 | 0.740 | <0.001 |
| Characteristics | Living alone (n = 570) |
P-value |
With spouse (n = 1185) |
P-value | With spouse & children (n = 201) |
P-value | Single with children (n = 101) |
P-value | Other (n = 351) |
P-value | Total (n = 2408) |
P-value | 2019 |
2020 |
||||||
|---|---|---|---|---|---|---|---|---|---|---|---|---|---|---|---|---|---|---|---|---|
| 2019 (n = 324) | 2020 (n = 246) | 2019 (n = 658) | 2020 (n = 527) | 2019 (n = 116) | 2020 (n = 85) | 2019 (n = 59) | 2020 (n = 42) | 2019 (n = 200) | 2020 (n = 151) | 2019 (n = 1,357) | 2020 (n=1,051) | |||||||||
| Energy | 89.32 ± 2.06 | 82.73 ± 2.13 |
0.015 | 89.88 ± 1.29 | 93.23 ± 1.69 |
0.137 | 97.68 ± 3.78 | 83.31 ± 4.17 |
0.015 | 89.95 ± 4.65 | 87.89 ± 5.80 |
0.652 | 84.75 ± 2.33 | 96.53 ± 3.77 |
0.026 | 89.74 ± 1.02 | 90.33 ± 1.51 | 0.936 | 0.177 | < 0.001 |
| Protein | 95.62 ± 3.11 |
88.31 ± 3.02 |
0.054 | 100.63 ± 2.07 |
107.50 ± 2.54 |
0.047 | 114.59 ± 5.98 |
94.70 ± 6.69 |
0.034 | 90.95 ± 6.44 |
97.15 ± 7.51 |
0.636 | 90.70 ± 2.72 |
101.12 ± 5.46 |
0.293 | 98.84 ± 1.65 | 100.59 ± 2.16 | 0.794 | 0.027 | 0.001 |
| Vitamin A | 44.72 ± 2.64 | 39.35 ± 2.64 |
0.099 | 51.50 ± 2.75 | 56.11 ± 2.77 |
0.241 | 70.44 ± 14.77 | 51.15 ± 7.32 |
0.265 | 55.93 ± 12.68 | 55.38 ± 8.24 |
0.880 | 43.59 ± 3.94 | 49.84 ± 4.92 |
0.505 | 51.06 ± 2.60 | 50.99 ± 1.94 | 0.794 | 0.213 | 0.005 |
| Vitamin C | 53.24 ± 3.54 | 58.90 ± 5.33 | 0.489 | 61.89 ± 3.38 | 65.97 ± 4.05 | 0.470 | 64.61 ± 5.88 | 62.35 ± 9.62 | 0.912 | 78.89 ± 13.18 | 49.05 ± 7.45 | 0.041 | 63.81 ± 8.39 | 57.93 ± 5.57 | 0.333 | 61.70 ± 2.83 | 61.92 ± 2.76 | 0.851 | 0.256 | 0.346 |
| Thiamin | 110.64 ± 3.05 | 100.68 ± 3.30 | 0.031 | 114.41 ± 2.21 | 111.57 ± 2.54 | 0.439 | 118.93 ± 7.73 | 100.16 ± 8.18 | 0.109 | 109.81 ± 7.90 | 96.61 ± 6.65 | 0.199 | 106.24 ± 3.41 | 115.37 ± 5.02 | 0.180 | 112.43 ± 1.68 | 108.06 ± 2.08 | 0.099 | 0.391 | 0.005 |
| Riboflavin | 95.46 ± 3.38 | 94.82 ± 3.53 |
0.759 | 100.96 ± 2.84 | 117.18 ± 3.24 |
<0.001 | 116.54 ± 7.57 | 102.07 ± 7.95 |
0.239 | 97.43 ± 9.75 | 107.27 ± 9.92 |
0.531 | 98.30 ± 5.35 | 105.08 ± 5.88 |
0.727 | 100.88 ± 2.49 | 108.41 ± 2.83 | 0.076 | 0.473 | < 0.001 |
| Niacin | 71.09 ± 2.51 | 67.73 ± 2.54 |
0.229 | 80.20 ± 1.88 | 80.54 ± 2.07 |
0.881 | 81.33 ± 4.46 | 71.77 ± 5.16 |
0.186 | 68.68 ± 3.85 | 59.07 ± 4.13 |
0.055 | 70.61 ± 2.81 | 77.92 ± 4.16 |
0.415 | 76.08 ± 1.35 | 75.48 ± 1.65 | 0.579 | 0.028 | < 0.001 |
| Calcium | 53.49 ± 2.13 |
52.10 ± 2.34 |
0.434 | 66.98 ± 2.14 |
67.50 ± 1.93 |
0.930 | 74.65 ± 4.93 |
59.35 ± 3.93 |
0.018 | 54.30 ± 6.45 |
50.07 ± 4.83 |
0.542 | 53.67 ± 3.26 |
59.62 ± 3.27 |
0.509 | 61.95 ± 1.58 | 61.25 ± 1.60 | 0.483 | < 0.001 | < 0.001 |
| Phosphorus | 113.64 ± 3.27 |
112.46 ± 3.87 |
0.585 | 132.22 ± 2.50 |
139.15 ± 2.93 |
0.093 | 147.36 ± 6.84 |
118.73 ± 6.62 |
0.003 | 114.64 ± 7.91 |
113.22 ± 7.71 |
0.758 | 111.99 ± 3.88 |
124.71 ± 5.52 |
0.259 | 125.47 ± 2.08 | 127.75 ± 2.46 | 0.766 | < 0.001 | < 0.001 |
| Iron | 123.14 ± 4.47 | 110.63 ± 4.19 | 0.030 | 131.37 ± 3.00 | 135.30 ± 4.61 | 0.492 | 140.76 ± 7.28 | 108.39 ± 6.65 | 0.001 | 116.02 ± 7.17 | 104.95 ± 8.38 | 0.234 | 117.52 ± 3.82 | 136.38 ± 9.54 |
0.129 | 127.38 ± 2.05 | 126.11 ± 3.28 | 0.595 | 0.016 | < 0.001 |
| MAR | 0.68 ± 0.01 |
0.66 ± 0.01 |
0.211 | 0.73 ± 0.01 |
0.75 ± 0.01 |
0.175 | 0.76 ± 0.01 |
0.70 ± 0.02 |
0.129 | 0.69 ± 0.03 |
0.67 ± 0.03 |
0.564 | 0.68 ± 0.01 |
0.71 ± 0.01 |
0.460 | 0.71 ± 0.01 | 0.72 ± 0.01 | 0.955 | 0.002 | < 0.001 |
n (%)
%, Mean ± SE Estimated Energy Requirements (EER) for total energy, Recommended Nutrient Intake (RNI) for protein, vitamin A, vitamin C, thiamin, riboflavin, niacin, calcium, phosphorus and iron. : Values with different superscripts in a row are significantly different from each other at MAR: Mean Adequacy Ratio
Mean ± SE : Values with different superscripts in a row are significantly different from each other at
Number of servings, Mean ± SE One serving is the amount of foods providing 300 kcal for grains, 100 kcal for meat, fish, eggs and legumes, 15 kcal for vegetables, 50 kcal for fruits, 125 kcal for milk and dairy products, and 45 kcal for fats, oils & sweets based on 2020 dietary reference intake for Koreans. Number of servings = total calories from a food group/calories in single serving. : Values with different superscripts in a row are significantly different from each other at
%, Mean ± SE Estimated Energy Requirements (EER) for total energy, Recommended Nutrient Intake (RNI) for protein, vitamin A, vitamin C, thiamin, riboflavin, niacin, calcium, phosphorus and iron. : Values with different superscripts in a row are significantly different from each other at MAR: Mean Adequacy Ratio
