, Hyeon-Mi Bae2),*
, Jung-Eun Yim1),2),†
1)Department of Food and Nutrition, Changwon National University, Changwon, Korea
2)Interdisciplinary Program in Senior Human Ecology, Changwon National University, Changwon, Korea
© 2025 The Korean Society of Community Nutrition
This is an Open-Access article distributed under the terms of the Creative Commons Attribution Non-Commercial License (http://creativecommons.org/licenses/by-nc/4.0) which permits unrestricted non-commercial use, distribution, and reproduction in any medium, provided the original work is properly cited.
CONFLICT OF INTEREST
There are no financial or other issues that might lead to conflict of interest.
FUNDING
This work was supported by the National Research Foundation of Korea (NRF) grant funded by the Korea government (MSIT) (No. RS-2023-00242278).
DATA AVAILABILITY
Research data is available upon request to the corresponding author.
| Variables | Total (n = 79) | Male (n = 24) | P-value1) | Female (n = 55) | P-value2) | P-value3) | P-value4) | ||
|---|---|---|---|---|---|---|---|---|---|
| Young adults (n = 13) | Older adults (n = 11) | Young adults (n = 22) | Older adults (n = 33) | ||||||
| Energy (kcal) | 1,515.63 ± 420.44 | 1,761.47 ± 475.77 | 1,667.27 ± 374.10 | 0.60 | 1,511.33 ± 448.08 | 1,371.11 ± 341.30 | 0.19 | 0.13 | 0.02 |
| Carbohydrate (g) | 241.08 ± 67.45 | 264.49 ± 95.63 | 258.34 ± 54.66 | 0.85 | 236.00 ± 70.12 | 229.50 ± 54.94 | 0.70 | 0.32 | 0.14 |
| Protein (g) | 59.01 ± 20.81 | 63.45 ± 18.86 | 65.98 ± 21.47 | 0.17 | 61.30 ± 25.4 | 53.42 ± 17.09 | 0.76 | 0.15 | 0.02 |
| Fat (g) | 59.02 ± 20.81 | 63.46 ± 18.86 | 65.99 ± 21.47 | 0.76 | 61.30 ± 25.46 | 53.43 ± 17.10 | 0.17 | 0.79 | 0.05 |
| Energy distribution | |||||||||
| % Carbohydrate | - | 60.21 ± 10.98 | 62.68 ± 7.55 | 0.53 | 63.21 ± 9.10 | 67.57 ± 7.81 | 0.06 | 0.39 | 0.08 |
| % Protein | - | 20.90 ± 6.44 | 19.85 ± 6.74 | 0.70 | 19.02 ± 6.42 | 16.05 ± 6.23 | 0.07 | 0.46 | 0.09 |
| % Fat | - | 14.62 ± 2.82 | 15.64 ± 2.60 | 0.37 | 15.97 ± 3.24 | 15.53 ± 2.85 | 0.60 | 0.22 | 0.91 |
| Fiber (g) | 24.42 ± 9.92 | 25.55 ± 12.51 | 25.73 ± 9.10 | 0.97 | 25.71 ± 10.43 | 22.69 ± 8.85 | 0.25 | 0.97 | 0.33 |
| Vitamin A (μg RAE) | 257.79 ± 158.50 | 203.51 ± 140.08 | 282.16 ± 163.85 | 0.22 | 302.30 ± 173.91 | 241.39 ± 150.32 | 0.17 | 0.09 | 0.45 |
| Vitamin D (μg) | 1.64 ± 1.89 | 2.29 ± 2.48 | 2.01 ± 1.75 | 0.76 | 1.28 ± 1.64 | 1.50 ± 1.83 | 0.65 | 0.16 | 0.42 |
| Vitamin E (mg) | 12.53 ± 6.44 | 12.56 ± 6.26 | 15.70 ± 8.22 | 0.30 | 13.66 ± 6.83 | 10.70 ± 5.19 | 0.07 | 0.64 | 0.02 |
| Vitamin C (mg) | 74.48 ± 44.89 | 68.86 ± 50.92 | 71.35 ± 36.83 | 0.89 | 68.14 ± 46.24 | 81.97 ± 44.84 | 0.27 | 0.97 | 0.48 |
| Thiamine (mg) | 1.10 ± 0.40 | 1.25 ± 0.49 | 1.14 ± 0.32 | 0.52 | 1.12 ± 0.43 | 1.02 ± 0.35 | 0.31 | 0.42 | 0.31 |
| Riboflavin (mg) | 1.25 ± 0.51 | 1.24 ± 0.44 | 1.61 ± 0.55 | 0.08 | 1.25 ± 0.45 | 1.14 ± 0.54 | 0.43 | 0.93 | 0.02 |
| Niacin (mg NE) | 6.57 ± 3.40 | 7.20 ± 4.48 | 7.50 ± 3.23 | 0.86 | 6.80 ± 3.15 | 5.86 ± 3.15 | 0.28 | 0.75 | 0.14 |
| Folic acid (μg DFE) | 300.66 ± 149.11 | 267.62 ± 120.89 | 379.12 ± 163.33 | 0.07 | 307.65 ± 186.80 | 282.85 ± 120.66 | 0.55 | 0.49 | 0.04 |
| Vitamin B12 (μg) | 3.24 ± 5.63 | 3.10 ± 2.97 | 3.59 ± 2.45 | 0.67 | 2.22 ± 1.90 | 3.87 ± 8.28 | 0.36 | 0.29 | 0.91 |
| Calcium (mg) | 545.87 ± 273.93 | 585.81 ± 335.29 | 539.79 ± 209.41 | 0.70 | 552.67 ± 224.11 | 527.63 ± 305.05 | 0.74 | 0.73 | 0.90 |
| Phosphorus (mg) | 992.06 ± 315.90 | 1,079.64 ± 340.97 | 1,055.69 ± 334.05 | 0.86 | 1,030.16 ± 322.02 | 910.95 ± 290.57 | 0.16 | 0.67 | 0.17 |
| Sodium (mg) | 4,451.17 ± 1,965.99 | 4,578.45 ± 2,038.26 | 5,135.32 ± 1,578.63 | 0.47 | 4,520.27 ± 2,620.29 | 4,126.92 ± 1,516.42 | 0.48 | 0.95 | 0.06 |
| Potassium (mg) | 2,892.98 ± 1,112.79 | 3,274.20 ± 1,353.47 | 2,941.71 ± 871.86 | 0.49 | 3,027.44 ± 1,234.83 | 2,636.92 ± 976.37 | 0.20 | 0.58 | 0.36 |
| Magnesium (mg) | 297.73 ± 144.27 | 312.98 ± 143.63 | 310.71 ± 121.58 | 0.97 | 315.88 ± 192.39 | 275.29 ± 114.85 | 0.33 | 0.96 | 0.39 |
| Iron (mg) | 11.06 ± 4.21 | 11.93 ± 5.16 | 11.92 ± 4.01 | 0.99 | 11.01 ± 4.48 | 10.47 ± 3.77 | 0.63 | 0.58 | 0.28 |
| Zinc (mg) | 6.45 ± 2.95 | 6.49 ± 2.38 | 8.00 ± 4.20 | 0.28 | 6.75 ± 2.44 | 5.71 ± 2.87 | 0.17 | 0.76 | 0.04 |
| Variables | Total (n = 79) | Male (n = 24) | P-value1) | Female (n = 55) | P-value2) | P-value3) | P-value4) | ||
|---|---|---|---|---|---|---|---|---|---|
| Young adults (n = 13) | Older adults (n = 11) | Young adults (n = 22) | Older adults (n = 33) | ||||||
| NQ-E score | 54.34 ± 12.98 | 54.98 ± 17.23 | 51.74 ± 12.58 | 0.61 | 58.62 ± 10.86 | 52.09 ± 12.33 | 0.05 | 0.45 | 0.93 |
| Balance | 44.50 ± 16.57 | 43.29 ± 19.63 | 42.04 ± 16.41 | 0.87 | 49.51 ± 15.83 | 42.45 ± 15.86 | 0.11 | 0.31 | 0.94 |
| Moderation | 52.62 ± 30.48 | 49.05 ± 41.15 | 49.41 ± 25.27 | 0.98 | 65.43 ± 29.57 | 46.54 ± 26.40 | 0.02 | 0.18 | 0.75 |
| Practice | 70.30 ± 12.96 | 75.07 ± 14.32 | 67.65 ± 14.15 | 0.22 | 70.99 ± 11.01 | 68.84 ± 13.28 | 0.53 | 0.35 | 0.80 |
| Grade | |||||||||
| Upper grade | 28 (35.4) | 5 (38.5) | 2 (18.2) | 0.43 | 12 (54.5) | 9 (27.3) | 0.03 | 0.10 | 0.75 |
| Moderate grade | 33 (41.8) | 4 (30.8) | 6 (54.5) | 9 (40.9) | 14 (42.4) | ||||
| Low grade | 18 (22.8) | 4 (30.8) | 3 (27.3) | 1 (4.5) | 10 (30.3) | ||||
| χ2 value | 0.14 | 1.56 | 4.42 | 0.14 | |||||
| Item | Variables | Male (n = 24) | P-value1) | Female (n = 55) | P-value2) | P-value3) | P-value4) | ||
|---|---|---|---|---|---|---|---|---|---|
| Young adults (n = 13) | Older adults (n = 11) | Young adults (n = 22) | Older adults (n = 33) | ||||||
| Balance (8) | Intake frequency of fruits | 30.77 ± 35.58 | 34.09 ± 23.11 | 0.79 | 59.09 ± 35.81 | 43.94 ± 32.49 | 0.11 | 0.03 | 0.28 |
| Intake frequency of milk or dairy products | 21.15 ± 30.36 | 25.00 ± 33.54 | 0.77 | 34.09 ± 30.42 | 40.15 ± 37.47 | 0.51 | 0.23 | 0.24 | |
| Intake frequency of fish or shellfish | 40.38 ± 19.20 | 45.45 ± 18.77 | 0.52 | 35.23 ± 23.98 | 37.88 ± 26.61 | 0.71 | 0.51 | 0.31 | |
| Intake frequency of eggs | 75.00 ± 32.27 | 63.64 ± 37.69 | 0.43 | 63.64 ± 32.48 | 52.27 ± 35.56 | 0.23 | 0.32 | 0.37 | |
| Intake frequency of beans or bean products | 51.92 ± 36.03 | 61.36 ± 30.34 | 0.50 | 38.64 ± 33.39 | 49.24 ± 39.27 | 0.30 | 0.28 | 0.36 | |
| Intake frequency of nuts | 23.08 ± 34.55 | 20.45 ± 26.97 | 0.84 | 34.09 ± 42.64 | 11.36 ± 25.84 | 0.03 | 0.44 | 0.32 | |
| Intake frequency of cooked rice with mixed grains | 55.77 ± 46.94 | 29.55 ± 36.77 | 0.15 | 72.73 ± 37.72 | 52.27 ± 45.66 | 0.08 | 0.25 | 0.11 | |
| Intake frequency of water | 75.00 ± 30.62 | 75.00 ± 22.36 | ≥ 0.99 | 67.05 ± 23.64 | 68.18 ± 24.43 | 0.86 | 0.39 | 0.42 | |
| Moderation (2) | Intake frequency of sweetened snacks or beverages | 46.15 ± 45.47 | 45.45 ± 29.19 | 0.96 | 64.77 ± 33.33 | 44.70 ± 29.82 | 0.02 | 0.17 | 0.94 |
| Intake frequency of greasy baked products or snacks | 71.15 ± 35.13 | 79.55 ± 21.85 | 0.50 | 70.45 ± 35.05 | 60.61 ± 32.49 | 0.29 | 0.95 | 0.08 | |
| Practice (7) | Efforts to have healthy eating habits | 63.46 ± 26.25 | 59.09 ± 30.15 | 0.71 | 72.73 ± 29.79 | 60.61 ± 22.56 | 0.09 | 0.36 | 0.86 |
| Checking of expiration date and nutrition labeling | 67.31 ± 35.92 | 65.91 ± 30.15 | 0.92 | 86.36 ± 21.45 | 66.67 ± 34.04 | 0.01 | 0.06 | 0.95 | |
| Washing hands practices before eating meals | 90.38 ± 21.74 | 86.36 ± 17.19 | 0.62 | 97.73 ± 10.66 | 91.67 ± 18.40 | 0.13 | 0.19 | 0.40 | |
| Difficulty in chewing foods | 78.85 ± 26.70 | 63.64 ± 30.34 | 0.20 | 75.00 ± 29.88 | 62.88 ± 32.55 | 0.17 | 0.70 | 0.95 | |
| Depressive condition | 76.92 ± 25.94 | 65.91 ± 28.00 | 0.33 | 62.50 ± 31.58 | 69.70 ± 30.46 | 0.40 | 0.17 | 0.72 | |
| Degree of sound sleep | 75.00 ± 27.00 | 65.91 ± 23.11 | 0.39 | 62.50 ± 32.50 | 74.24 ± 28.29 | 0.16 | 0.25 | 0.38 | |
| Level of awareness of one’s own health | 73.08 ± 16.01 | 68.18 ± 16.17 | 0.46 | 53.41 ± 19.36 | 59.85 ± 21.60 | 0.26 | 0.01 | 0.19 | |
| Variables | Total (n = 79) | NQ-E grade | P-value | ||
|---|---|---|---|---|---|
| Upper (n = 28) | Moderate (n = 33) | Low (n = 18) | |||
| Energy (kcal) | 1,515.63 ± 420.44 | 1,582.06 ± 385.97 | 1,508.89 ± 399.68 | 1,424.66 ± 507.57 | 0.47 |
| Carbohydrate (g) | 241.08 ± 67.45 | 240.50 ± 60.06 | 241.53 ± 58.75 | 241.16 ± 92.98 | 0.99 |
| Protein (g) | 59.01 ± 20.81 | 65.48 ± 20.91 | 57.58 ± 20.80 | 51.15 ± 18.36 | 0.06 |
| Fat (g) | 59.02 ± 20.81 | 65.34 ± 21.28 | 57.95 ± 20.59 | 51.16 ± 18.36 | 0.07 |
| Fiber (g) | 24.42 ± 9.92 | 28.68 ± 10.00a | 22.05 ± 8.36c | 22.16 ± 10.70b | 0.02 |
| Vitamin A (μg RAE) | 257.79 ± 158.50 | 326.57 ± 152.15a | 245.99 ± 161.39b | 172.45 ± 117.04c | 0.01 |
| Vitamin D (μg) | 1.64 ± 1.89 | 1.04 ± 1.31a | 1.66 ± 1.76ab | 2.54 ± 2.52b | 0.03 |
| Vitamin E (mg) | 12.53 ± 6.44 | 14.12 ± 6.20 | 12.21 ± 6.73 | 10.63 ± 5.99 | 0.19 |
| Vitamin C (mg) | 74.48 ± 44.89 | 84.62 ± 41.12 | 68.32 ± 47.36 | 69.99 ± 45.52 | 0.33 |
| Thiamine (mg) | 1.10 ± 0.40 | 1.24 ± 0.47a | 1.08 ± 0.31b | 0.93 ± 0.34c | 0.02 |
| Riboflavin (mg) | 1.25 ± 0.51 | 1.45 ± 0.42a | 1.22 ± 0.56b | 1.01 ± 0.47c | 0.01 |
| Niacin (mg NE) | 6.57 ± 3.40 | 7.48 ± 3.35a | 6.81 ± 3.43b | 4.71 ± 2.85c | 0.02 |
| Folic acid (μg DFE) | 300.66 ± 149.11 | 350.63 ± 160.02 | 284.90 ± 135.42 | 251.82 ± 140.38 | 0.06 |
| Vitamin B12 (μg) | 3.24 ± 5.63 | 3.73 ± 8.68 | 2.67 ± 2.28 | 3.53 ± 3.88 | 0.75 |
| Calcium (mg) | 545.87 ± 273.93 | 636.46 ± 310.16 | 484.90 ± 255.08 | 516.72 ± 217.71 | 0.08 |
| Phosphorus (mg) | 992.06 ± 315.90 | 1,092.84 ± 270.65 | 962.29 ± 331.28 | 889.88 ± 324.72 | 0.08 |
| Sodium (mg) | 4,451.17 ± 1,965.99 | 4,742.14 ± 2,178.69 | 4,397.21 ± 1,847.47 | 4,097.50 ± 1,868.94 | 0.55 |
| Potassium (mg) | 2,892.98 ± 1,112.79 | 3,351.06 ± 1,219.59a | 2,662.15 ± 891.34b | 2,603.61 ± 1,134.05c | 0.02 |
| Magnesium (mg) | 297.73 ± 144.27 | 358.17 ± 177.60a | 260.58 ± 98.62c | 271.82 ± 132.99b | 0.02 |
| Iron (mg) | 11.06 ± 4.21 | 12.54 ± 4.32 | 10.42 ± 3.85 | 9.94 ± 4.25 | 0.06 |
| Zinc (mg) | 6.45 ± 2.95 | 7.22 ± 2.51 | 6.48 ± 3.37 | 5.20 ± 2.44 | 0.07 |
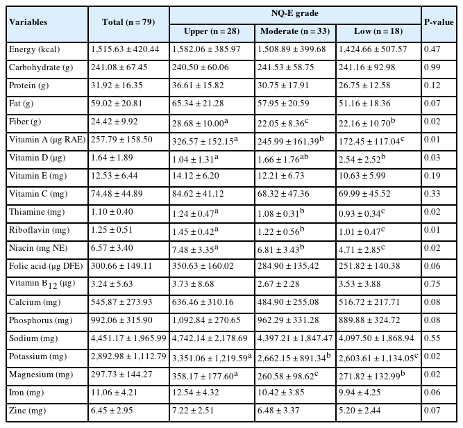
Mean ± SD.
NQ-E, Nutrition Quotient for the Elderly; NQ, Nutrition Quotient; μg RAE, micrograms of retinol activity equivalents; mg NE, milligrams of niacin equivalents; μg DFE, micrograms of dietary folate equivalents.
a–cDifferent superscript letters within the same row indicate significant differences among groups at P < 0.05 by the Kruskal–Wallis test with Dunn’s post-hoc test.
| Variable | Value |
|---|---|
| Sex | |
| Male | 24 (30.4) |
| Female | 55 (69.6) |
| Age (year) | 76.33 ± 6.54 |
| 65–74 | 35 (44.3) |
| ≥ 75 | 44 (55.7) |
| Regular exercise | |
| Do exercise | 46 (58.2) |
| Do not exercise | 33 (41.8) |
| Smoking | |
| Yes | 8 (10.1) |
| No | 71 (89.9) |
| Married | |
| Yes | 78 (98.7) |
| No | 1 (1.3) |
| Employment | |
| Yes | 58 (73.4) |
| No | 21 (26.6) |
| Housemate | |
| With family | 49 (62.0) |
| Alone | 30 (38.0) |
| Change in body weight (3 months) | |
| Yes | 14 (17.7) |
| No | 65 (82.3) |
| Food allergy | |
| ≥ 1 | 4 (5.1) |
| 0 | 75 (94.9) |
| Supplement intake | |
| ≥ 1 | 51 (64.6) |
| 0 | 28 (35.4) |
| Medical history (multiple responses) | |
| None | 7 (8.9) |
| Cardiovascular diseases | 9 (11.4) |
| Arteriosclerosis | 1 (1.2) |
| Hypertension | 50 (63.3) |
| Dyslipidemia | 27 (34.1) |
| Diabetes mellitus | 18 (22.8) |
| Gastrointestinal diseases | 5 (6.3) |
| Respiratory diseases | 4 (5.1) |
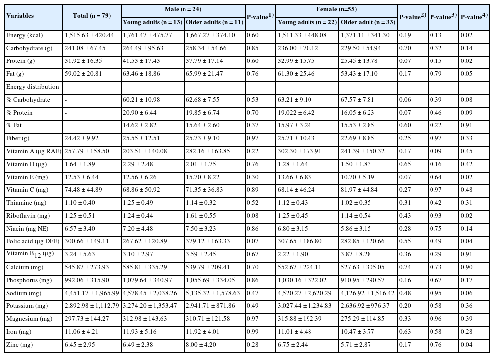
| Variables | Total (n = 79) | Male (n = 24) | P-value |
Female (n = 55) | P-value |
P-value |
P-value |
||
|---|---|---|---|---|---|---|---|---|---|
| Young adults (n = 13) | Older adults (n = 11) | Young adults (n = 22) | Older adults (n = 33) | ||||||
| Energy (kcal) | 1,515.63 ± 420.44 | 1,761.47 ± 475.77 | 1,667.27 ± 374.10 | 0.60 | 1,511.33 ± 448.08 | 1,371.11 ± 341.30 | 0.19 | 0.13 | 0.02 |
| Carbohydrate (g) | 241.08 ± 67.45 | 264.49 ± 95.63 | 258.34 ± 54.66 | 0.85 | 236.00 ± 70.12 | 229.50 ± 54.94 | 0.70 | 0.32 | 0.14 |
| Protein (g) | 59.01 ± 20.81 | 63.45 ± 18.86 | 65.98 ± 21.47 | 0.17 | 61.30 ± 25.4 | 53.42 ± 17.09 | 0.76 | 0.15 | 0.02 |
| Fat (g) | 59.02 ± 20.81 | 63.46 ± 18.86 | 65.99 ± 21.47 | 0.76 | 61.30 ± 25.46 | 53.43 ± 17.10 | 0.17 | 0.79 | 0.05 |
| Energy distribution | |||||||||
| % Carbohydrate | - | 60.21 ± 10.98 | 62.68 ± 7.55 | 0.53 | 63.21 ± 9.10 | 67.57 ± 7.81 | 0.06 | 0.39 | 0.08 |
| % Protein | - | 20.90 ± 6.44 | 19.85 ± 6.74 | 0.70 | 19.02 ± 6.42 | 16.05 ± 6.23 | 0.07 | 0.46 | 0.09 |
| % Fat | - | 14.62 ± 2.82 | 15.64 ± 2.60 | 0.37 | 15.97 ± 3.24 | 15.53 ± 2.85 | 0.60 | 0.22 | 0.91 |
| Fiber (g) | 24.42 ± 9.92 | 25.55 ± 12.51 | 25.73 ± 9.10 | 0.97 | 25.71 ± 10.43 | 22.69 ± 8.85 | 0.25 | 0.97 | 0.33 |
| Vitamin A (μg RAE) | 257.79 ± 158.50 | 203.51 ± 140.08 | 282.16 ± 163.85 | 0.22 | 302.30 ± 173.91 | 241.39 ± 150.32 | 0.17 | 0.09 | 0.45 |
| Vitamin D (μg) | 1.64 ± 1.89 | 2.29 ± 2.48 | 2.01 ± 1.75 | 0.76 | 1.28 ± 1.64 | 1.50 ± 1.83 | 0.65 | 0.16 | 0.42 |
| Vitamin E (mg) | 12.53 ± 6.44 | 12.56 ± 6.26 | 15.70 ± 8.22 | 0.30 | 13.66 ± 6.83 | 10.70 ± 5.19 | 0.07 | 0.64 | 0.02 |
| Vitamin C (mg) | 74.48 ± 44.89 | 68.86 ± 50.92 | 71.35 ± 36.83 | 0.89 | 68.14 ± 46.24 | 81.97 ± 44.84 | 0.27 | 0.97 | 0.48 |
| Thiamine (mg) | 1.10 ± 0.40 | 1.25 ± 0.49 | 1.14 ± 0.32 | 0.52 | 1.12 ± 0.43 | 1.02 ± 0.35 | 0.31 | 0.42 | 0.31 |
| Riboflavin (mg) | 1.25 ± 0.51 | 1.24 ± 0.44 | 1.61 ± 0.55 | 0.08 | 1.25 ± 0.45 | 1.14 ± 0.54 | 0.43 | 0.93 | 0.02 |
| Niacin (mg NE) | 6.57 ± 3.40 | 7.20 ± 4.48 | 7.50 ± 3.23 | 0.86 | 6.80 ± 3.15 | 5.86 ± 3.15 | 0.28 | 0.75 | 0.14 |
| Folic acid (μg DFE) | 300.66 ± 149.11 | 267.62 ± 120.89 | 379.12 ± 163.33 | 0.07 | 307.65 ± 186.80 | 282.85 ± 120.66 | 0.55 | 0.49 | 0.04 |
| Vitamin B12 (μg) | 3.24 ± 5.63 | 3.10 ± 2.97 | 3.59 ± 2.45 | 0.67 | 2.22 ± 1.90 | 3.87 ± 8.28 | 0.36 | 0.29 | 0.91 |
| Calcium (mg) | 545.87 ± 273.93 | 585.81 ± 335.29 | 539.79 ± 209.41 | 0.70 | 552.67 ± 224.11 | 527.63 ± 305.05 | 0.74 | 0.73 | 0.90 |
| Phosphorus (mg) | 992.06 ± 315.90 | 1,079.64 ± 340.97 | 1,055.69 ± 334.05 | 0.86 | 1,030.16 ± 322.02 | 910.95 ± 290.57 | 0.16 | 0.67 | 0.17 |
| Sodium (mg) | 4,451.17 ± 1,965.99 | 4,578.45 ± 2,038.26 | 5,135.32 ± 1,578.63 | 0.47 | 4,520.27 ± 2,620.29 | 4,126.92 ± 1,516.42 | 0.48 | 0.95 | 0.06 |
| Potassium (mg) | 2,892.98 ± 1,112.79 | 3,274.20 ± 1,353.47 | 2,941.71 ± 871.86 | 0.49 | 3,027.44 ± 1,234.83 | 2,636.92 ± 976.37 | 0.20 | 0.58 | 0.36 |
| Magnesium (mg) | 297.73 ± 144.27 | 312.98 ± 143.63 | 310.71 ± 121.58 | 0.97 | 315.88 ± 192.39 | 275.29 ± 114.85 | 0.33 | 0.96 | 0.39 |
| Iron (mg) | 11.06 ± 4.21 | 11.93 ± 5.16 | 11.92 ± 4.01 | 0.99 | 11.01 ± 4.48 | 10.47 ± 3.77 | 0.63 | 0.58 | 0.28 |
| Zinc (mg) | 6.45 ± 2.95 | 6.49 ± 2.38 | 8.00 ± 4.20 | 0.28 | 6.75 ± 2.44 | 5.71 ± 2.87 | 0.17 | 0.76 | 0.04 |
| Variables | Total (n = 79) | Male (n = 24) | P-value |
Female (n = 55) | P-value |
P-value |
P-value |
||
|---|---|---|---|---|---|---|---|---|---|
| Young adults (n = 13) | Older adults (n = 11) | Young adults (n = 22) | Older adults (n = 33) | ||||||
| NQ-E score | 54.34 ± 12.98 | 54.98 ± 17.23 | 51.74 ± 12.58 | 0.61 | 58.62 ± 10.86 | 52.09 ± 12.33 | 0.05 | 0.45 | 0.93 |
| Balance | 44.50 ± 16.57 | 43.29 ± 19.63 | 42.04 ± 16.41 | 0.87 | 49.51 ± 15.83 | 42.45 ± 15.86 | 0.11 | 0.31 | 0.94 |
| Moderation | 52.62 ± 30.48 | 49.05 ± 41.15 | 49.41 ± 25.27 | 0.98 | 65.43 ± 29.57 | 46.54 ± 26.40 | 0.02 | 0.18 | 0.75 |
| Practice | 70.30 ± 12.96 | 75.07 ± 14.32 | 67.65 ± 14.15 | 0.22 | 70.99 ± 11.01 | 68.84 ± 13.28 | 0.53 | 0.35 | 0.80 |
| Grade | |||||||||
| Upper grade | 28 (35.4) | 5 (38.5) | 2 (18.2) | 0.43 | 12 (54.5) | 9 (27.3) | 0.03 | 0.10 | 0.75 |
| Moderate grade | 33 (41.8) | 4 (30.8) | 6 (54.5) | 9 (40.9) | 14 (42.4) | ||||
| Low grade | 18 (22.8) | 4 (30.8) | 3 (27.3) | 1 (4.5) | 10 (30.3) | ||||
| χ2 value | 0.14 | 1.56 | 4.42 | 0.14 | |||||
| Item | Variables | Male (n = 24) | P-value |
Female (n = 55) | P-value |
P-value |
P-value |
||
|---|---|---|---|---|---|---|---|---|---|
| Young adults (n = 13) | Older adults (n = 11) | Young adults (n = 22) | Older adults (n = 33) | ||||||
| Balance (8) | Intake frequency of fruits | 30.77 ± 35.58 | 34.09 ± 23.11 | 0.79 | 59.09 ± 35.81 | 43.94 ± 32.49 | 0.11 | 0.03 | 0.28 |
| Intake frequency of milk or dairy products | 21.15 ± 30.36 | 25.00 ± 33.54 | 0.77 | 34.09 ± 30.42 | 40.15 ± 37.47 | 0.51 | 0.23 | 0.24 | |
| Intake frequency of fish or shellfish | 40.38 ± 19.20 | 45.45 ± 18.77 | 0.52 | 35.23 ± 23.98 | 37.88 ± 26.61 | 0.71 | 0.51 | 0.31 | |
| Intake frequency of eggs | 75.00 ± 32.27 | 63.64 ± 37.69 | 0.43 | 63.64 ± 32.48 | 52.27 ± 35.56 | 0.23 | 0.32 | 0.37 | |
| Intake frequency of beans or bean products | 51.92 ± 36.03 | 61.36 ± 30.34 | 0.50 | 38.64 ± 33.39 | 49.24 ± 39.27 | 0.30 | 0.28 | 0.36 | |
| Intake frequency of nuts | 23.08 ± 34.55 | 20.45 ± 26.97 | 0.84 | 34.09 ± 42.64 | 11.36 ± 25.84 | 0.03 | 0.44 | 0.32 | |
| Intake frequency of cooked rice with mixed grains | 55.77 ± 46.94 | 29.55 ± 36.77 | 0.15 | 72.73 ± 37.72 | 52.27 ± 45.66 | 0.08 | 0.25 | 0.11 | |
| Intake frequency of water | 75.00 ± 30.62 | 75.00 ± 22.36 | ≥ 0.99 | 67.05 ± 23.64 | 68.18 ± 24.43 | 0.86 | 0.39 | 0.42 | |
| Moderation (2) | Intake frequency of sweetened snacks or beverages | 46.15 ± 45.47 | 45.45 ± 29.19 | 0.96 | 64.77 ± 33.33 | 44.70 ± 29.82 | 0.02 | 0.17 | 0.94 |
| Intake frequency of greasy baked products or snacks | 71.15 ± 35.13 | 79.55 ± 21.85 | 0.50 | 70.45 ± 35.05 | 60.61 ± 32.49 | 0.29 | 0.95 | 0.08 | |
| Practice (7) | Efforts to have healthy eating habits | 63.46 ± 26.25 | 59.09 ± 30.15 | 0.71 | 72.73 ± 29.79 | 60.61 ± 22.56 | 0.09 | 0.36 | 0.86 |
| Checking of expiration date and nutrition labeling | 67.31 ± 35.92 | 65.91 ± 30.15 | 0.92 | 86.36 ± 21.45 | 66.67 ± 34.04 | 0.01 | 0.06 | 0.95 | |
| Washing hands practices before eating meals | 90.38 ± 21.74 | 86.36 ± 17.19 | 0.62 | 97.73 ± 10.66 | 91.67 ± 18.40 | 0.13 | 0.19 | 0.40 | |
| Difficulty in chewing foods | 78.85 ± 26.70 | 63.64 ± 30.34 | 0.20 | 75.00 ± 29.88 | 62.88 ± 32.55 | 0.17 | 0.70 | 0.95 | |
| Depressive condition | 76.92 ± 25.94 | 65.91 ± 28.00 | 0.33 | 62.50 ± 31.58 | 69.70 ± 30.46 | 0.40 | 0.17 | 0.72 | |
| Degree of sound sleep | 75.00 ± 27.00 | 65.91 ± 23.11 | 0.39 | 62.50 ± 32.50 | 74.24 ± 28.29 | 0.16 | 0.25 | 0.38 | |
| Level of awareness of one’s own health | 73.08 ± 16.01 | 68.18 ± 16.17 | 0.46 | 53.41 ± 19.36 | 59.85 ± 21.60 | 0.26 | 0.01 | 0.19 | |
| Variables | Total (n = 79) | NQ-E grade | P-value | ||
|---|---|---|---|---|---|
| Upper (n = 28) | Moderate (n = 33) | Low (n = 18) | |||
| Energy (kcal) | 1,515.63 ± 420.44 | 1,582.06 ± 385.97 | 1,508.89 ± 399.68 | 1,424.66 ± 507.57 | 0.47 |
| Carbohydrate (g) | 241.08 ± 67.45 | 240.50 ± 60.06 | 241.53 ± 58.75 | 241.16 ± 92.98 | 0.99 |
| Protein (g) | 59.01 ± 20.81 | 65.48 ± 20.91 | 57.58 ± 20.80 | 51.15 ± 18.36 | 0.06 |
| Fat (g) | 59.02 ± 20.81 | 65.34 ± 21.28 | 57.95 ± 20.59 | 51.16 ± 18.36 | 0.07 |
| Fiber (g) | 24.42 ± 9.92 | 28.68 ± 10.00 |
22.05 ± 8.36 |
22.16 ± 10.70 |
0.02 |
| Vitamin A (μg RAE) | 257.79 ± 158.50 | 326.57 ± 152.15 |
245.99 ± 161.39 |
172.45 ± 117.04 |
0.01 |
| Vitamin D (μg) | 1.64 ± 1.89 | 1.04 ± 1.31 |
1.66 ± 1.76 |
2.54 ± 2.52 |
0.03 |
| Vitamin E (mg) | 12.53 ± 6.44 | 14.12 ± 6.20 | 12.21 ± 6.73 | 10.63 ± 5.99 | 0.19 |
| Vitamin C (mg) | 74.48 ± 44.89 | 84.62 ± 41.12 | 68.32 ± 47.36 | 69.99 ± 45.52 | 0.33 |
| Thiamine (mg) | 1.10 ± 0.40 | 1.24 ± 0.47 |
1.08 ± 0.31 |
0.93 ± 0.34 |
0.02 |
| Riboflavin (mg) | 1.25 ± 0.51 | 1.45 ± 0.42 |
1.22 ± 0.56 |
1.01 ± 0.47 |
0.01 |
| Niacin (mg NE) | 6.57 ± 3.40 | 7.48 ± 3.35 |
6.81 ± 3.43 |
4.71 ± 2.85 |
0.02 |
| Folic acid (μg DFE) | 300.66 ± 149.11 | 350.63 ± 160.02 | 284.90 ± 135.42 | 251.82 ± 140.38 | 0.06 |
| Vitamin B12 (μg) | 3.24 ± 5.63 | 3.73 ± 8.68 | 2.67 ± 2.28 | 3.53 ± 3.88 | 0.75 |
| Calcium (mg) | 545.87 ± 273.93 | 636.46 ± 310.16 | 484.90 ± 255.08 | 516.72 ± 217.71 | 0.08 |
| Phosphorus (mg) | 992.06 ± 315.90 | 1,092.84 ± 270.65 | 962.29 ± 331.28 | 889.88 ± 324.72 | 0.08 |
| Sodium (mg) | 4,451.17 ± 1,965.99 | 4,742.14 ± 2,178.69 | 4,397.21 ± 1,847.47 | 4,097.50 ± 1,868.94 | 0.55 |
| Potassium (mg) | 2,892.98 ± 1,112.79 | 3,351.06 ± 1,219.59 |
2,662.15 ± 891.34 |
2,603.61 ± 1,134.05 |
0.02 |
| Magnesium (mg) | 297.73 ± 144.27 | 358.17 ± 177.60 |
260.58 ± 98.62 |
271.82 ± 132.99 |
0.02 |
| Iron (mg) | 11.06 ± 4.21 | 12.54 ± 4.32 | 10.42 ± 3.85 | 9.94 ± 4.25 | 0.06 |
| Zinc (mg) | 6.45 ± 2.95 | 7.22 ± 2.51 | 6.48 ± 3.37 | 5.20 ± 2.44 | 0.07 |
| Item | Variables | Total (n = 79) | NQ-E grade | P-value | ||
|---|---|---|---|---|---|---|
| Upper (n = 28) | Moderate (n = 33) | Low (n = 18) | ||||
| Exercise | Do exercise | 46 (58.2) | 26 (92.9) | 17 (51.5) | 3 (16.7) | < 0.01 |
| Do not exercise | 33 (41.8) | 2 (7.1) | 16 (48.5) | 15 (83.3) | ||
| Smoking | Yes | 8 (10.1) | 1 (3.6) | 4 (12.1) | 3 (16.7) | 0.31 |
| No | 71 (89.9) | 27 (96.4) | 29 (87.9) | 15 (83.3) | ||
| Employment | Yes | 58 (73.4) | 20 (71.4) | 26 (78.8) | 12 (66.7) | 0.62 |
| No | 21 (26.6) | 8 (28.6) | 7 (21.2) | 6 (33.3) | ||
| Housemate | With family | 49 (62.0) | 21 (75.0) | 19 (57.6) | 9 (50.0) | 0.18 |
| Alone | 30 (38.0) | 7 (25.0) | 14 (42.4) | 9 (50.0) | ||
| Change in body weight | Yes | 14 (17.7) | 3 (10.7) | 7 (21.2) | 4 (22.2) | 0.48 |
| No | 65 (82.3) | 25 (89.3) | 26 (78.8) | 14 (77.8) | ||
| Medical history | ≥ 1 | 72 (91.1) | 23 (82.1) | 31 (93.9) | 18 (100) | 0.09 |
| 0 | 7 (8.9) | 5 (17.9) | 2 (6.1) | - | ||
| Drug | ≥ 1 | 71 (89.9) | 25 (89.3) | 28 (84.8) | 18 (100) | 0.25 |
| 0 | 8 (10.1) | 3 (10.7) | 5 (15.2) | - | ||
| Allergy | ≥ 1 | 4 (5.1) | 2 (7.1) | 1 (3.0) | 1 (5.6) | 0.76 |
| 0 | 75 (94.9) | 26 (92.9) | 32 (97.0) | 17 (94.4) | ||
| Supplement intake | ≥ 1 | 51 (64.6) | 22 (78.6) | 23 (69.7) | 6 (33.3) | 0.01 |
| 0 | 28 (35.4) | 6 (21.4) | 10 (30.3) | 12 (66.7) | ||
n (%) or Mean ± SD.
Mean ± SD. μg RAE, micrograms of retinol activity equivalents; mg NE, milligrams of niacin equivalents; μg DFE, micrograms of dietary folate equivalents. Male group. Female group. Young adult male and female groups. Older adult male and female groups.
Mean ± SD. NQ-E, Nutrition Quotient for the Elderly. Male group. Female group. Young adult male and female groups. Older adult male and female groups.
Mean ± SD. NQ-E, Nutrition Quotient for the Elderly. Male group. Female group. Young adult male and female groups. Older adult male and female groups.
Mean ± SD. NQ-E, Nutrition Quotient for the Elderly; NQ, Nutrition Quotient; μg RAE, micrograms of retinol activity equivalents; mg NE, milligrams of niacin equivalents; μg DFE, micrograms of dietary folate equivalents. Different superscript letters within the same row indicate significant differences among groups at
n (%). NQ-E, Nutrition Quotient for the Elderly.
