, Kyung Won Kim2),†
1)Graduate Student, Department of Food and Nutrition, Seoul Women’s University, Seoul, Korea
2)Professor, Department of Food and Nutrition, Seoul Women’s University, Seoul, Korea
© 2026 The Korean Society of Community Nutrition
This is an Open-Access article distributed under the terms of the Creative Commons Attribution Non-Commercial License (https://creativecommons.org/licenses/by-nc/4.0) which permits unrestricted non-commercial use, distribution, and reproduction in any medium, provided the original work is properly cited.
CONFLICT OF INTEREST
There are no financial or other issues that might lead to conflict of interest.
FUNDING
This work was supported by a research grant from Seoul Women’s University (2025-0250).
ACKNOWLEDGEMENTS
We are grateful to the participants of this study.
DATA AVAILABILITY
The study participants did not provide written consent for their data to be shared publicly. Due to the sensitive nature of this research, supporting data are not available.
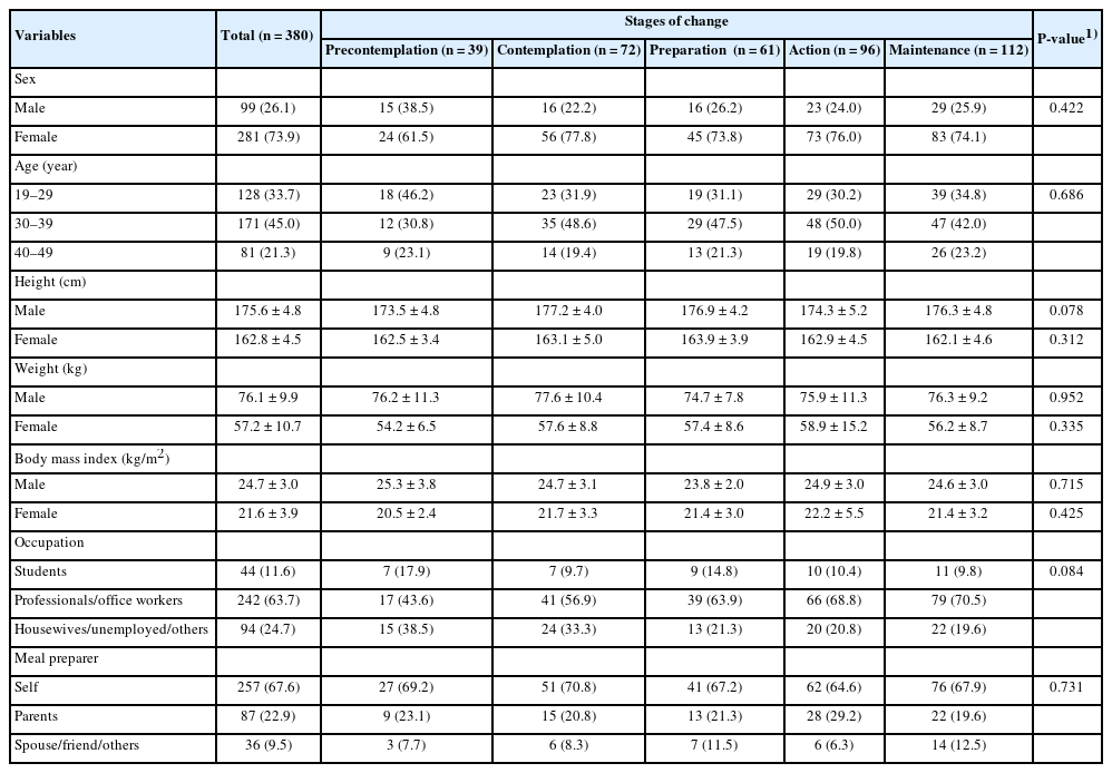
| Variables | Total (n = 380) | Stages of change | P-value1) | ||||
|---|---|---|---|---|---|---|---|
| Precontemplation (n = 39) | Contemplation (n = 72) | Preparation (n = 61) | Action (n = 96) | Maintenance (n = 112) | |||
| Sex | |||||||
| Male | 99 (26.1) | 15 (38.5) | 16 (22.2) | 16 (26.2) | 23 (24.0) | 29 (25.9) | 0.422 |
| Female | 281 (73.9) | 24 (61.5) | 56 (77.8) | 45 (73.8) | 73 (76.0) | 83 (74.1) | |
| Age (year) | |||||||
| 19–29 | 128 (33.7) | 18 (46.2) | 23 (31.9) | 19 (31.1) | 29 (30.2) | 39 (34.8) | 0.686 |
| 30–39 | 171 (45.0) | 12 (30.8) | 35 (48.6) | 29 (47.5) | 48 (50.0) | 47 (42.0) | |
| 40–49 | 81 (21.3) | 9 (23.1) | 14 (19.4) | 13 (21.3) | 19 (19.8) | 26 (23.2) | |
| Height (cm) | |||||||
| Male | 175.6 ± 4.8 | 173.5 ± 4.8 | 177.2 ± 4.0 | 176.9 ± 4.2 | 174.3 ± 5.2 | 176.3 ± 4.8 | 0.078 |
| Female | 162.8 ± 4.5 | 162.5 ± 3.4 | 163.1 ± 5.0 | 163.9 ± 3.9 | 162.9 ± 4.5 | 162.1 ± 4.6 | 0.312 |
| Weight (kg) | |||||||
| Male | 76.1 ± 9.9 | 76.2 ± 11.3 | 77.6 ± 10.4 | 74.7 ± 7.8 | 75.9 ± 11.3 | 76.3 ± 9.2 | 0.952 |
| Female | 57.2 ± 10.7 | 54.2 ± 6.5 | 57.6 ± 8.8 | 57.4 ± 8.6 | 58.9 ± 15.2 | 56.2 ± 8.7 | 0.335 |
| Body mass index (kg/m2) | |||||||
| Male | 24.7 ± 3.0 | 25.3 ± 3.8 | 24.7 ± 3.1 | 23.8 ± 2.0 | 24.9 ± 3.0 | 24.6 ± 3.0 | 0.715 |
| Female | 21.6 ± 3.9 | 20.5 ± 2.4 | 21.7 ± 3.3 | 21.4 ± 3.0 | 22.2 ± 5.5 | 21.4 ± 3.2 | 0.425 |
| Occupation | |||||||
| Students | 44 (11.6) | 7 (17.9) | 7 (9.7) | 9 (14.8) | 10 (10.4) | 11 (9.8) | 0.084 |
| Professionals/office workers | 242 (63.7) | 17 (43.6) | 41 (56.9) | 39 (63.9) | 66 (68.8) | 79 (70.5) | |
| Housewives/unemployed/others | 94 (24.7) | 15 (38.5) | 24 (33.3) | 13 (21.3) | 20 (20.8) | 22 (19.6) | |
| Meal preparer | |||||||
| Self | 257 (67.6) | 27 (69.2) | 51 (70.8) | 41 (67.2) | 62 (64.6) | 76 (67.9) | 0.731 |
| Parents | 87 (22.9) | 9 (23.1) | 15 (20.8) | 13 (21.3) | 28 (29.2) | 22 (19.6) | |
| Spouse/friend/others | 36 (9.5) | 3 (7.7) | 6 (8.3) | 7 (11.5) | 6 (6.3) | 14 (12.5) | |
| Variables | Total (n = 380) | Stages of change | P-value1) | |
|---|---|---|---|---|
| Pre-action group (n = 172) | Action group (n = 208) | |||
| Beverages (7 items)2) | 8.5 ± 9.53) | 12.2 ± 10.7 | 5.4 ± 7.1 | < 0.001 |
| Milk and dairy products (6 items) | 6.3 ± 7.9 | 8.9 ± 10.3 | 4.2 ± 4.2 | < 0.001 |
| Frozen desserts and snacks (3 items) | 3.9 ± 5.1 | 5.9 ± 6.1 | 2.2 ± 3.4 | < 0.001 |
| Breads and rice cakes (3 items) | 2.7 ± 5.5 | 3.9 ± 6.0 | 1.8 ± 5.0 | < 0.001 |
| Sugars and sweets (3 items) | 2.7 ± 4.1 | 4.2 ± 5.3 | 1.5 ± 1.9 | < 0.001 |
| Sauce (1 item) | 1.4 ± 2.0 | 1.6 ± 2.3 | 1.2 ± 1.7 | 0.031 |
| Total (23 items) | 25.4 ± 25.8 | 36.7 ± 30.4 | 16.1 ± 16.1 | < 0.001 |
Mean ± SD.
1)By analysis of covariance (ANCOVA), adjusted for sex, age, BMI, and occupation.
2)The consumption frequency of each food item was measured using nine response categories from “never” to “more than three times per day.”
3)Summated consumption frequency of sugary foods in each food group per week.
| Variables | Total (n = 380) | Stages of change | P-value1) | |
|---|---|---|---|---|
| Pre-action group (n = 172) | Action group (n = 208) | |||
| If I consume sugary beverages/snacks | ||||
| 1. It will taste good2) | 3.5 ± 1.1 | 3.8 ± 1.0 | 3.3 ± 1.1 | < 0.001 |
| 2. It will quench my thirst (e.g., carbonated beverages, sports drinks, fruit juices, etc.) | 2.5 ± 1.3 | 2.8 ± 1.2 | 2.3 ± 1.2 | < 0.001 |
| 3. It will be convenient to eat | 3.3 ± 1.2 | 3.7 ± 1.0 | 2.9 ± 1.2 | < 0.001 |
| 4. It will help relieve my anxiety and stress | 3.4 ± 1.1 | 3.6 ± 1.1 | 3.3 ± 1.1 | 0.007 |
| 5. It will make me feel better | 3.6 ± 1.1 | 3.7 ± 1.1 | 3.5 ± 1.0 | 0.018 |
| 6. It will increase my efficiency when I study or work | 3.3 ± 1.1 | 3.5 ± 1.0 | 3.1 ± 1.1 | < 0.001 |
| 7. It will cost less than other beverages and snacks | 2.7 ± 1.3 | 3.0 ± 1.3 | 2.4 ± 1.2 | < 0.001 |
| 8. It will provide carbohydrates and energy | 3.2 ± 1.2 | 3.3 ± 1.2 | 3.2 ± 1.2 | 0.418 |
| 9. Variety of menu options will be available | 3.1 ± 1.2 | 3.4 ± 1.2 | 3.0 ± 1.2 | 0.002 |
| 10. Tooth decay will occur | 4.1 ± 1.0 | 4.0 ± 1.0 | 4.1 ± 1.1 | 0.235 |
| 11. I will gain weight | 4.5 ± 0.8 | 4.4 ± 0.9 | 4.6 ± 0.8 | 0.005 |
| 12. The risk of developing diseases (e.g., diabetes mellitus, heart disease) will increase | 4.5 ± 0.8 | 4.4 ± 0.8 | 4.6 ± 0.7 | 0.005 |
| 13. My skin condition will deteriorate | 4.1 ± 0.9 | 3.9 ± 1.0 | 4.2 ± 0.9 | 0.003 |
| 14. My meal patterns will become irregular | 3.9 ± 1.0 | 3.8 ± 1.0 | 4.0 ± 1.0 | 0.065 |
| 15. My nutrient intakes will become imbalanced | 4.1 ± 0.8 | 4.0 ± 0.9 | 4.2 ± 0.8 | 0.014 |
| Beliefs regarding advantages of consuming sugary beverages/snacks3) | 28.6 ± 7.0 | 30.6 ± 6.9 | 26.9 ± 6.6 | < 0.001 |
| Beliefs regarding disadvantages of consuming sugary beverages/snacks4) | 25.1 ± 4.0 | 24.4 ± 4.2 | 25.7 ± 3.7 | 0.002 |
| Total behavioral beliefs score5) | 39.5 ± 7.4 | 42.2 ± 6.5 | 37.2 ± 7.4 | < 0.001 |
Mean ± SD.
1)By ANCOVA, adjusted for sex, age, BMI, and occupation.
2)Each item was measured by five-point scale from “strongly disagree” (1) to “strongly agree” (5).
3)Subscale score for nine items (Items 1–9), possible score: 9–45. Higher scores indicated stronger agreement with the advantages of consuming sugary beverages/snacks.
4)Subscale score for six items (Items 10–15), possible score: 6–30. Higher scores indicated stronger agreement with the disadvantages of consuming sugary beverages/snacks.
5)Total score for 15 items, possible score: 15–75. The items assessing disadvantages were scored in reverse. Higher scores indicated more favorable beliefs about consuming sugary beverages/snacks.
| Variables | Total | Stages of change | P-value1) | ||||
|---|---|---|---|---|---|---|---|
| Pre-action group | Action group | ||||||
| Normative belief X motivation to comply2) | |||||||
| 1. Parents | 3633) | 10.8 ± 5.7 | 169 | 11.8 ± 6.0 | 194 | 10.0 ± 5.4 | 0.001 |
| 2. Siblings | 337 | 9.4 ± 5.8 | 152 | 10.0 ± 5.5 | 185 | 8.9 ± 5.9 | 0.055 |
| 3. Spouse/partner | 285 | 9.8 ± 5.9 | 118 | 10.7 ± 6.2 | 167 | 9.1 ± 5.6 | 0.007 |
| 4. Children | 169 | 9.0 ± 5.8 | 78 | 10.7 ± 6.4 | 91 | 7.6 ± 4.8 | < 0.001 |
| 5. Friends/co-workers | 353 | 8.8 ± 5.2 | 162 | 9.5 ± 5.3 | 191 | 8.3 ± 5.1 | 0.010 |
| 6. Experts (doctors, nutritionists, etc.) | 333 | 11.6 ± 6.3 | 144 | 12.5 ± 6.4 | 189 | 10.9 ± 6.1 | 0.012 |
| 7. Mass media (television, social media, internet articles, etc.) | 354 | 11.7 ± 6.3 | 160 | 12.3 ± 6.4 | 194 | 11.2 ± 6.2 | 0.079 |
| Mean subjective norms score4) | 380 | 10.4 ± 4.9 | 172 | 11.1 ± 5.1 | 208 | 9.9 ± 4.7 | 0.004 |
Mean ± SD.
1)By ANCOVA, adjusted for sex, age, BMI, and occupation.
2)Possible score per item: 1–25. Scores were calculated by multiplying each normative belief score (from “strongly disagree” (1) to “strongly agree” (5)) by corresponding motivation to comply score (from “not at all” (1) to “very much” (5)). Responses marked as “not applicable” were excluded from item-level calculations.
3)Number of participants included in the analysis for each item, excluding responses marked as “not applicable” for either normative belief or motivation to comply.
4)Possible score: 1–25. The mean subjective norms score reflect the overall influence of significant others, accounting for the differences in the number of applicable items across participants. For each participant, the sum of item scores was divided by the number of completed items, excluding “not applicable” referents from both numerator and denominator. Higher scores indicated greater perceived influence from significant others.
| Variables | Total (n = 380) | Stages of change | P-value1) | |
|---|---|---|---|---|
| Pre-action group (n = 172) | Action group (n = 208) | |||
| It is difficult to reduce the intake of sugary beverages/snacks because of... | ||||
| 1. Lack of nutrition knowledge, such as the sugar content in foods2) | 2.3 ± 1.1 | 2.6 ± 1.2 | 2.0 ± 1.0 | < 0.001 |
| 2. Lack of knowledge in reading and interpreting nutrition labels when purchasing processed foods | 2.2 ± 1.2 | 2.6 ± 1.3 | 2.0 ± 1.1 | < 0.001 |
| 3. Lack of cooking skills for making tasty low-sugar snacks | 2.7 ± 1.3 | 2.9 ± 1.3 | 2.5 ± 1.3 | 0.003 |
| 4. The size of beverages (sweetened coffee, carbonated drinks, etc.) is large | 2.5 ± 1.3 | 2.8 ± 1.3 | 2.2 ± 1.1 | < 0.001 |
| 5. Lack of information on places that sell low-sugar beverages/snacks | 2.5 ± 1.3 | 2.6 ± 1.3 | 2.3 ± 1.3 | 0.011 |
| 6. There are many sugary beverages/snacks at home | 2.6 ± 1.3 | 3.0 ± 1.3 | 2.3 ± 1.2 | < 0.001 |
| 7. Sugary beverages/snacks taste good | 3.2 ± 1.3 | 3.6 ± 1.2 | 2.9 ± 1.2 | < 0.001 |
| 8. Sugary beverages/snacks are easily available | 3.2 ± 1.3 | 3.5 ± 1.2 | 2.9 ± 1.3 | < 0.001 |
| 9. Convenience (easy to prepare, carry and consume on the go) | 3.1 ± 1.3 | 3.5 ± 1.2 | 2.7 ± 1.3 | < 0.001 |
| 10. Sugary beverages/snacks are relatively inexpensive | 2.7 ± 1.2 | 3.0 ± 1.2 | 2.5 ± 1.2 | < 0.001 |
| 11. Lack of time for grocery shopping or cooking | 2.8 ± 1.3 | 3.1 ± 1.3 | 2.6 ± 1.3 | < 0.001 |
| 12. Exposure to advertisements for sugary beverages/snacks in the media | 2.7 ± 1.3 | 3.0 ± 1.3 | 2.5 ± 1.2 | < 0.001 |
| How difficult or easy is it to refrain from consuming sugary beverages/snacks in the following situations? | ||||
| 13. When I feel anxious or stressed | 2.8 ± 1.1 | 2.7 ± 1.1 | 2.9 ± 1.1 | 0.011 |
| 14. When others (family members, friends) consume sugary beverages/snacks | 2.9 ± 1.2 | 2.7 ± 1.2 | 3.1 ± 1.2 | < 0.001 |
| 15. When I choose beverages/snacks at cafes or restaurants | 3.0 ± 1.2 | 2.7 ± 1.2 | 3.2 ± 1.2 | < 0.001 |
| Control beliefs about lack of knowledge and skills3) | 14.8 ± 5.8 | 16.5 ± 6.1 | 13.4 ± 5.0 | < 0.001 |
| Control beliefs about facilitating factors of sugar intake4) | 14.9 ± 5.2 | 16.6 ± 4.8 | 13.5 ± 5.2 | < 0.001 |
| Control beliefs about situations promoting sugar intake5) | 12.0 ± 3.7 | 11.1 ± 3.8 | 12.7 ± 3.5 | < 0.001 |
| Total control beliefs score6) | 48.2 ± 12.6 | 43.9 ± 12.6 | 51.8 ± 11.4 | < 0.001 |
Mean ± SD.
1)By ANCOVA, adjusted for sex, age, BMI, and occupation.
2)Items were measured by five-point scales from “strongly disagree” (1) to “strongly agree” (5), or from “very difficult” (1) to “very easy” (5).
3)Subscale score for six items (Items 1–6), possible score: 6–30. Higher scores indicated greater agreement with insufficient knowledge and skills regarding sugar intake.
4)Subscale score for five items (Items 7–11), possible score: 5–25. Higher scores indicated lower control beliefs regarding factors facilitating sugar intake.
5)Subscale score for four items (Items 12–15), possible score: 4–20. Item 12 was scored in reverse to calculate the subscale score. Higher scores indicated stronger control beliefs in situations promoting sugar intake.
6)Total score for 15 items; possible score: 15–75. Items 1–12 were scored in reverse. Higher scores indicated stronger control beliefs regarding sugar intake.
| Variables | Stages of change | P-value1) | >P for trend2) | ||||
|---|---|---|---|---|---|---|---|
| Precontemplation (n = 39) | Contemplation (n = 72) | Preparation (n = 61) | Action (n = 96) | Maintenance (n = 112) | |||
| Behavioral beliefs3) | 41.8 ± 6.9 | 42.4 ± 6.9 | 42.3 ± 5.9 | 38.1 ± 7.1 | 36.5 ± 7.6 | < 0.001 | < 0.001 |
| Mean of subjective norms4) | 7.8 ± 3.9 | 11.3 ± 4.5 | 13.1 ± 5.3 | 10.8 ± 4.1 | 9.1 ± 5.0 | < 0.001 | 0.275 |
| Control beliefs5) | 48.6 ± 14.9 | 40.5 ± 11.4 | 45.0 ± 11.5 | 49.1 ± 9.8 | 54.1 ± 12.1 | < 0.001 | < 0.001 |
Mean ± SD.
1)By ANCOVA, adjusted for sex, age, BMI, and occupation.
2)By one-way ANOVA with linear contrast.
3)Total score for 15 items; possible score: 15–75. The items assessing disadvantages were scored in reverse. Higher scores indicated more favorable beliefs about consuming sugary beverages/snacks.
4)Possible score: 1–25. The mean subjective norms score reflect the overall influence of significant others, accounting for the differences in the number of applicable items across participants. For each participant, the sum of item scores was divided by the number of completed items, excluding “not applicable” referents from both numerator and denominator. Higher scores indicated greater perceived influence from significant others.
5)Total score for 15 items; possible score: 15–75. Items 1–12 were scored in reverse. Higher scores indicated stronger control beliefs regarding sugar intake.
| Variables | Stages of change | P-value1) | P for trend2) | ||||
|---|---|---|---|---|---|---|---|
| Precontemplation (n = 39) | Contemplation (n = 72) | Preparation (n = 61) | Action (n = 96) | Maintenance (n = 112) | |||
| Beliefs regarding advantages of consuming sugary beverages/snacks3) | 28.6 ± 7.7 | 31.6 ± 6.5 | 30.9 ± 6.6 | 27.6 ± 6.0 | 26.3 ± 7.0 | < 0.001 | 0.001 |
| Beliefs regarding disadvantages of consuming sugary beverages/snacks4) | 22.7 ± 5.1 | 25.2 ± 3.7 | 24.5 ± 3.7 | 25.5 ± 3.0 | 25.8 ± 4.3 | < 0.001 | < 0.001 |
| Mean of subjective norms5) | 7.8 ± 3.9 | 11.3 ± 4.5 | 13.1 ± 5.3 | 10.8 ± 4.1 | 9.1 ± 5.0 | < 0.001 | 0.275 |
| Control beliefs about lack of knowledge and skills6) | 14.8 ± 6.1 | 17.7 ± 6.1 | 16.2 ± 6.0 | 14.8 ± 4.6 | 12.2 ± 5.1 | < 0.001 | < 0.001 |
| Control beliefs about facilitating factors of sugar intake7) | 15.2 ± 5.8 | 17.8 ± 4.2 | 16.2 ± 4.6 | 14.5 ± 4.6 | 12.7 ± 5.5 | < 0.001 | < 0.001 |
| Control beliefs about situations promoting sugar intake8) | 12.6 ± 4.5 | 9.9 ± 3.6 | 11.4 ± 3.1 | 12.4 ± 3.4 | 13.0 ± 3.6 | < 0.001 | 0.031 |
Mean ± SD.
1)By ANCOVA, adjusted for sex, age, BMI, and occupation.
2)By one-way ANOVA with linear contrast.
3)Subscale score for nine items, possible score: 9–45. Higher scores indicated stronger agreement with the advantages of consuming sugary beverages/snacks.
4)Subscale score for six items, possible score: 6–30. Higher scores indicated stronger agreement with the disadvantages of consuming sugary beverages/snacks.
5)Possible score: 1–25. The mean subjective norms score reflect the overall influence of significant others, accounting for the differences in the number of applicable items across participants. For each participant, the sum of item scores was divided by the number of completed items, excluding “not applicable” referents from both numerator and denominator. Higher scores indicated greater perceived influence from significant others.
6)Subscale score for six items, possible score: 6–30. Higher scores indicated greater agreement with insufficient knowledge and skills regarding sugar intake.
7)Subscale score for five items, possible score: 5–25. Higher scores indicated lower control beliefs regarding factors facilitating sugar intake.
8)Subscale score for four items, possible score: 4–20. Item 12 was scored in reverse to calculate the subscale score. Higher scores indicated stronger control beliefs in situations promoting sugar intake.
| Variables | Total (n = 380) | Stages of change | P-value |
||||
|---|---|---|---|---|---|---|---|
| Precontemplation (n = 39) | Contemplation (n = 72) | Preparation (n = 61) | Action (n = 96) | Maintenance (n = 112) | |||
| Sex | |||||||
| Male | 99 (26.1) | 15 (38.5) | 16 (22.2) | 16 (26.2) | 23 (24.0) | 29 (25.9) | 0.422 |
| Female | 281 (73.9) | 24 (61.5) | 56 (77.8) | 45 (73.8) | 73 (76.0) | 83 (74.1) | |
| Age (year) | |||||||
| 19–29 | 128 (33.7) | 18 (46.2) | 23 (31.9) | 19 (31.1) | 29 (30.2) | 39 (34.8) | 0.686 |
| 30–39 | 171 (45.0) | 12 (30.8) | 35 (48.6) | 29 (47.5) | 48 (50.0) | 47 (42.0) | |
| 40–49 | 81 (21.3) | 9 (23.1) | 14 (19.4) | 13 (21.3) | 19 (19.8) | 26 (23.2) | |
| Height (cm) | |||||||
| Male | 175.6 ± 4.8 | 173.5 ± 4.8 | 177.2 ± 4.0 | 176.9 ± 4.2 | 174.3 ± 5.2 | 176.3 ± 4.8 | 0.078 |
| Female | 162.8 ± 4.5 | 162.5 ± 3.4 | 163.1 ± 5.0 | 163.9 ± 3.9 | 162.9 ± 4.5 | 162.1 ± 4.6 | 0.312 |
| Weight (kg) | |||||||
| Male | 76.1 ± 9.9 | 76.2 ± 11.3 | 77.6 ± 10.4 | 74.7 ± 7.8 | 75.9 ± 11.3 | 76.3 ± 9.2 | 0.952 |
| Female | 57.2 ± 10.7 | 54.2 ± 6.5 | 57.6 ± 8.8 | 57.4 ± 8.6 | 58.9 ± 15.2 | 56.2 ± 8.7 | 0.335 |
| Body mass index (kg/m2) | |||||||
| Male | 24.7 ± 3.0 | 25.3 ± 3.8 | 24.7 ± 3.1 | 23.8 ± 2.0 | 24.9 ± 3.0 | 24.6 ± 3.0 | 0.715 |
| Female | 21.6 ± 3.9 | 20.5 ± 2.4 | 21.7 ± 3.3 | 21.4 ± 3.0 | 22.2 ± 5.5 | 21.4 ± 3.2 | 0.425 |
| Occupation | |||||||
| Students | 44 (11.6) | 7 (17.9) | 7 (9.7) | 9 (14.8) | 10 (10.4) | 11 (9.8) | 0.084 |
| Professionals/office workers | 242 (63.7) | 17 (43.6) | 41 (56.9) | 39 (63.9) | 66 (68.8) | 79 (70.5) | |
| Housewives/unemployed/others | 94 (24.7) | 15 (38.5) | 24 (33.3) | 13 (21.3) | 20 (20.8) | 22 (19.6) | |
| Meal preparer | |||||||
| Self | 257 (67.6) | 27 (69.2) | 51 (70.8) | 41 (67.2) | 62 (64.6) | 76 (67.9) | 0.731 |
| Parents | 87 (22.9) | 9 (23.1) | 15 (20.8) | 13 (21.3) | 28 (29.2) | 22 (19.6) | |
| Spouse/friend/others | 36 (9.5) | 3 (7.7) | 6 (8.3) | 7 (11.5) | 6 (6.3) | 14 (12.5) | |
| Variables | Total (n = 380) | Stages of change | P-value |
|
|---|---|---|---|---|
| Pre-action group (n = 172) | Action group (n = 208) | |||
| Beverages (7 items) |
8.5 ± 9.5 |
12.2 ± 10.7 | 5.4 ± 7.1 | < 0.001 |
| Milk and dairy products (6 items) | 6.3 ± 7.9 | 8.9 ± 10.3 | 4.2 ± 4.2 | < 0.001 |
| Frozen desserts and snacks (3 items) | 3.9 ± 5.1 | 5.9 ± 6.1 | 2.2 ± 3.4 | < 0.001 |
| Breads and rice cakes (3 items) | 2.7 ± 5.5 | 3.9 ± 6.0 | 1.8 ± 5.0 | < 0.001 |
| Sugars and sweets (3 items) | 2.7 ± 4.1 | 4.2 ± 5.3 | 1.5 ± 1.9 | < 0.001 |
| Sauce (1 item) | 1.4 ± 2.0 | 1.6 ± 2.3 | 1.2 ± 1.7 | 0.031 |
| Total (23 items) | 25.4 ± 25.8 | 36.7 ± 30.4 | 16.1 ± 16.1 | < 0.001 |
| Variables | Total (n = 380) | Stages of change | P-value1) | |
|---|---|---|---|---|
| Pre-action group (n = 172) | Action group (n = 208) | |||
| If I consume sugary beverages/snacks | ||||
| 1. It will taste good |
3.5 ± 1.1 | 3.8 ± 1.0 | 3.3 ± 1.1 | < 0.001 |
| 2. It will quench my thirst (e.g., carbonated beverages, sports drinks, fruit juices, etc.) | 2.5 ± 1.3 | 2.8 ± 1.2 | 2.3 ± 1.2 | < 0.001 |
| 3. It will be convenient to eat | 3.3 ± 1.2 | 3.7 ± 1.0 | 2.9 ± 1.2 | < 0.001 |
| 4. It will help relieve my anxiety and stress | 3.4 ± 1.1 | 3.6 ± 1.1 | 3.3 ± 1.1 | 0.007 |
| 5. It will make me feel better | 3.6 ± 1.1 | 3.7 ± 1.1 | 3.5 ± 1.0 | 0.018 |
| 6. It will increase my efficiency when I study or work | 3.3 ± 1.1 | 3.5 ± 1.0 | 3.1 ± 1.1 | < 0.001 |
| 7. It will cost less than other beverages and snacks | 2.7 ± 1.3 | 3.0 ± 1.3 | 2.4 ± 1.2 | < 0.001 |
| 8. It will provide carbohydrates and energy | 3.2 ± 1.2 | 3.3 ± 1.2 | 3.2 ± 1.2 | 0.418 |
| 9. Variety of menu options will be available | 3.1 ± 1.2 | 3.4 ± 1.2 | 3.0 ± 1.2 | 0.002 |
| 10. Tooth decay will occur | 4.1 ± 1.0 | 4.0 ± 1.0 | 4.1 ± 1.1 | 0.235 |
| 11. I will gain weight | 4.5 ± 0.8 | 4.4 ± 0.9 | 4.6 ± 0.8 | 0.005 |
| 12. The risk of developing diseases (e.g., diabetes mellitus, heart disease) will increase | 4.5 ± 0.8 | 4.4 ± 0.8 | 4.6 ± 0.7 | 0.005 |
| 13. My skin condition will deteriorate | 4.1 ± 0.9 | 3.9 ± 1.0 | 4.2 ± 0.9 | 0.003 |
| 14. My meal patterns will become irregular | 3.9 ± 1.0 | 3.8 ± 1.0 | 4.0 ± 1.0 | 0.065 |
| 15. My nutrient intakes will become imbalanced | 4.1 ± 0.8 | 4.0 ± 0.9 | 4.2 ± 0.8 | 0.014 |
| Beliefs regarding advantages of consuming sugary beverages/snacks |
28.6 ± 7.0 | 30.6 ± 6.9 | 26.9 ± 6.6 | < 0.001 |
| Beliefs regarding disadvantages of consuming sugary beverages/snacks |
25.1 ± 4.0 | 24.4 ± 4.2 | 25.7 ± 3.7 | 0.002 |
| Total behavioral beliefs score |
39.5 ± 7.4 | 42.2 ± 6.5 | 37.2 ± 7.4 | < 0.001 |
| Variables | Total | Stages of change | P-value |
||||
|---|---|---|---|---|---|---|---|
| Pre-action group | Action group | ||||||
| Normative belief X motivation to comply |
|||||||
| 1. Parents | 363 |
10.8 ± 5.7 | 169 | 11.8 ± 6.0 | 194 | 10.0 ± 5.4 | 0.001 |
| 2. Siblings | 337 | 9.4 ± 5.8 | 152 | 10.0 ± 5.5 | 185 | 8.9 ± 5.9 | 0.055 |
| 3. Spouse/partner | 285 | 9.8 ± 5.9 | 118 | 10.7 ± 6.2 | 167 | 9.1 ± 5.6 | 0.007 |
| 4. Children | 169 | 9.0 ± 5.8 | 78 | 10.7 ± 6.4 | 91 | 7.6 ± 4.8 | < 0.001 |
| 5. Friends/co-workers | 353 | 8.8 ± 5.2 | 162 | 9.5 ± 5.3 | 191 | 8.3 ± 5.1 | 0.010 |
| 6. Experts (doctors, nutritionists, etc.) | 333 | 11.6 ± 6.3 | 144 | 12.5 ± 6.4 | 189 | 10.9 ± 6.1 | 0.012 |
| 7. Mass media (television, social media, internet articles, etc.) | 354 | 11.7 ± 6.3 | 160 | 12.3 ± 6.4 | 194 | 11.2 ± 6.2 | 0.079 |
| Mean subjective norms score |
380 | 10.4 ± 4.9 | 172 | 11.1 ± 5.1 | 208 | 9.9 ± 4.7 | 0.004 |
| Variables | Total (n = 380) | Stages of change | P-value |
|
|---|---|---|---|---|
| Pre-action group (n = 172) | Action group (n = 208) | |||
| It is difficult to reduce the intake of sugary beverages/snacks because of... | ||||
| 1. Lack of nutrition knowledge, such as the sugar content in foods |
2.3 ± 1.1 | 2.6 ± 1.2 | 2.0 ± 1.0 | < 0.001 |
| 2. Lack of knowledge in reading and interpreting nutrition labels when purchasing processed foods | 2.2 ± 1.2 | 2.6 ± 1.3 | 2.0 ± 1.1 | < 0.001 |
| 3. Lack of cooking skills for making tasty low-sugar snacks | 2.7 ± 1.3 | 2.9 ± 1.3 | 2.5 ± 1.3 | 0.003 |
| 4. The size of beverages (sweetened coffee, carbonated drinks, etc.) is large | 2.5 ± 1.3 | 2.8 ± 1.3 | 2.2 ± 1.1 | < 0.001 |
| 5. Lack of information on places that sell low-sugar beverages/snacks | 2.5 ± 1.3 | 2.6 ± 1.3 | 2.3 ± 1.3 | 0.011 |
| 6. There are many sugary beverages/snacks at home | 2.6 ± 1.3 | 3.0 ± 1.3 | 2.3 ± 1.2 | < 0.001 |
| 7. Sugary beverages/snacks taste good | 3.2 ± 1.3 | 3.6 ± 1.2 | 2.9 ± 1.2 | < 0.001 |
| 8. Sugary beverages/snacks are easily available | 3.2 ± 1.3 | 3.5 ± 1.2 | 2.9 ± 1.3 | < 0.001 |
| 9. Convenience (easy to prepare, carry and consume on the go) | 3.1 ± 1.3 | 3.5 ± 1.2 | 2.7 ± 1.3 | < 0.001 |
| 10. Sugary beverages/snacks are relatively inexpensive | 2.7 ± 1.2 | 3.0 ± 1.2 | 2.5 ± 1.2 | < 0.001 |
| 11. Lack of time for grocery shopping or cooking | 2.8 ± 1.3 | 3.1 ± 1.3 | 2.6 ± 1.3 | < 0.001 |
| 12. Exposure to advertisements for sugary beverages/snacks in the media | 2.7 ± 1.3 | 3.0 ± 1.3 | 2.5 ± 1.2 | < 0.001 |
| How difficult or easy is it to refrain from consuming sugary beverages/snacks in the following situations? | ||||
| 13. When I feel anxious or stressed | 2.8 ± 1.1 | 2.7 ± 1.1 | 2.9 ± 1.1 | 0.011 |
| 14. When others (family members, friends) consume sugary beverages/snacks | 2.9 ± 1.2 | 2.7 ± 1.2 | 3.1 ± 1.2 | < 0.001 |
| 15. When I choose beverages/snacks at cafes or restaurants | 3.0 ± 1.2 | 2.7 ± 1.2 | 3.2 ± 1.2 | < 0.001 |
| Control beliefs about lack of knowledge and skills |
14.8 ± 5.8 | 16.5 ± 6.1 | 13.4 ± 5.0 | < 0.001 |
| Control beliefs about facilitating factors of sugar intake |
14.9 ± 5.2 | 16.6 ± 4.8 | 13.5 ± 5.2 | < 0.001 |
| Control beliefs about situations promoting sugar intake |
12.0 ± 3.7 | 11.1 ± 3.8 | 12.7 ± 3.5 | < 0.001 |
| Total control beliefs score |
48.2 ± 12.6 | 43.9 ± 12.6 | 51.8 ± 11.4 | < 0.001 |
| Variables | Stages of change | P-value |
>P for trend |
||||
|---|---|---|---|---|---|---|---|
| Precontemplation (n = 39) | Contemplation (n = 72) | Preparation (n = 61) | Action (n = 96) | Maintenance (n = 112) | |||
| Behavioral beliefs |
41.8 ± 6.9 | 42.4 ± 6.9 | 42.3 ± 5.9 | 38.1 ± 7.1 | 36.5 ± 7.6 | < 0.001 | < 0.001 |
| Mean of subjective norms |
7.8 ± 3.9 | 11.3 ± 4.5 | 13.1 ± 5.3 | 10.8 ± 4.1 | 9.1 ± 5.0 | < 0.001 | 0.275 |
| Control beliefs |
48.6 ± 14.9 | 40.5 ± 11.4 | 45.0 ± 11.5 | 49.1 ± 9.8 | 54.1 ± 12.1 | < 0.001 | < 0.001 |
| Variables | Stages of change | P-value |
P for trend |
||||
|---|---|---|---|---|---|---|---|
| Precontemplation (n = 39) | Contemplation (n = 72) | Preparation (n = 61) | Action (n = 96) | Maintenance (n = 112) | |||
| Beliefs regarding advantages of consuming sugary beverages/snacks |
28.6 ± 7.7 | 31.6 ± 6.5 | 30.9 ± 6.6 | 27.6 ± 6.0 | 26.3 ± 7.0 | < 0.001 | 0.001 |
| Beliefs regarding disadvantages of consuming sugary beverages/snacks |
22.7 ± 5.1 | 25.2 ± 3.7 | 24.5 ± 3.7 | 25.5 ± 3.0 | 25.8 ± 4.3 | < 0.001 | < 0.001 |
| Mean of subjective norms |
7.8 ± 3.9 | 11.3 ± 4.5 | 13.1 ± 5.3 | 10.8 ± 4.1 | 9.1 ± 5.0 | < 0.001 | 0.275 |
| Control beliefs about lack of knowledge and skills |
14.8 ± 6.1 | 17.7 ± 6.1 | 16.2 ± 6.0 | 14.8 ± 4.6 | 12.2 ± 5.1 | < 0.001 | < 0.001 |
| Control beliefs about facilitating factors of sugar intake |
15.2 ± 5.8 | 17.8 ± 4.2 | 16.2 ± 4.6 | 14.5 ± 4.6 | 12.7 ± 5.5 | < 0.001 | < 0.001 |
| Control beliefs about situations promoting sugar intake |
12.6 ± 4.5 | 9.9 ± 3.6 | 11.4 ± 3.1 | 12.4 ± 3.4 | 13.0 ± 3.6 | < 0.001 | 0.031 |
n (%) or Mean ± SD. By χ2-test or analysis of variance (ANOVA).
Mean ± SD. By analysis of covariance (ANCOVA), adjusted for sex, age, BMI, and occupation. The consumption frequency of each food item was measured using nine response categories from “never” to “more than three times per day.” Summated consumption frequency of sugary foods in each food group per week.
Mean ± SD. By ANCOVA, adjusted for sex, age, BMI, and occupation. Each item was measured by five-point scale from “strongly disagree” (1) to “strongly agree” (5). Subscale score for nine items (Items 1–9), possible score: 9–45. Higher scores indicated stronger agreement with the advantages of consuming sugary beverages/snacks. Subscale score for six items (Items 10–15), possible score: 6–30. Higher scores indicated stronger agreement with the disadvantages of consuming sugary beverages/snacks. Total score for 15 items, possible score: 15–75. The items assessing disadvantages were scored in reverse. Higher scores indicated more favorable beliefs about consuming sugary beverages/snacks.
Mean ± SD. By ANCOVA, adjusted for sex, age, BMI, and occupation. Possible score per item: 1–25. Scores were calculated by multiplying each normative belief score (from “strongly disagree” (1) to “strongly agree” (5)) by corresponding motivation to comply score (from “not at all” (1) to “very much” (5)). Responses marked as “not applicable” were excluded from item-level calculations. Number of participants included in the analysis for each item, excluding responses marked as “not applicable” for either normative belief or motivation to comply. Possible score: 1–25. The mean subjective norms score reflect the overall influence of significant others, accounting for the differences in the number of applicable items across participants. For each participant, the sum of item scores was divided by the number of completed items, excluding “not applicable” referents from both numerator and denominator. Higher scores indicated greater perceived influence from significant others.
Mean ± SD. By ANCOVA, adjusted for sex, age, BMI, and occupation. Items were measured by five-point scales from “strongly disagree” (1) to “strongly agree” (5), or from “very difficult” (1) to “very easy” (5). Subscale score for six items (Items 1–6), possible score: 6–30. Higher scores indicated greater agreement with insufficient knowledge and skills regarding sugar intake. Subscale score for five items (Items 7–11), possible score: 5–25. Higher scores indicated lower control beliefs regarding factors facilitating sugar intake. Subscale score for four items (Items 12–15), possible score: 4–20. Item 12 was scored in reverse to calculate the subscale score. Higher scores indicated stronger control beliefs in situations promoting sugar intake. Total score for 15 items; possible score: 15–75. Items 1–12 were scored in reverse. Higher scores indicated stronger control beliefs regarding sugar intake.
Mean ± SD. By ANCOVA, adjusted for sex, age, BMI, and occupation. By one-way ANOVA with linear contrast. Total score for 15 items; possible score: 15–75. The items assessing disadvantages were scored in reverse. Higher scores indicated more favorable beliefs about consuming sugary beverages/snacks. Possible score: 1–25. The mean subjective norms score reflect the overall influence of significant others, accounting for the differences in the number of applicable items across participants. For each participant, the sum of item scores was divided by the number of completed items, excluding “not applicable” referents from both numerator and denominator. Higher scores indicated greater perceived influence from significant others. Total score for 15 items; possible score: 15–75. Items 1–12 were scored in reverse. Higher scores indicated stronger control beliefs regarding sugar intake.
Mean ± SD. By ANCOVA, adjusted for sex, age, BMI, and occupation. By one-way ANOVA with linear contrast. Subscale score for nine items, possible score: 9–45. Higher scores indicated stronger agreement with the advantages of consuming sugary beverages/snacks. Subscale score for six items, possible score: 6–30. Higher scores indicated stronger agreement with the disadvantages of consuming sugary beverages/snacks. Possible score: 1–25. The mean subjective norms score reflect the overall influence of significant others, accounting for the differences in the number of applicable items across participants. For each participant, the sum of item scores was divided by the number of completed items, excluding “not applicable” referents from both numerator and denominator. Higher scores indicated greater perceived influence from significant others. Subscale score for six items, possible score: 6–30. Higher scores indicated greater agreement with insufficient knowledge and skills regarding sugar intake. Subscale score for five items, possible score: 5–25. Higher scores indicated lower control beliefs regarding factors facilitating sugar intake. Subscale score for four items, possible score: 4–20. Item 12 was scored in reverse to calculate the subscale score. Higher scores indicated stronger control beliefs in situations promoting sugar intake.
