, Saerom Shin2)
, Eun Yeol Woo3)
, Hye-Kyung Park4)
, Taisun Hyun5),†
1)Invited professor, Department of Food and Nutrition, Chungbuk National University, Cheongju, Korea
2)Team member, National Institute of Food & Nutrition Service, Cheongju, Korea
3)Team leader, National Institute of Food & Nutrition Service, Cheongju, Korea
4)Former center director, National Institute of Food & Nutrition Service, Cheongju, Korea
5)Professor, Department of Food and Nutrition, Chungbuk National University, Cheongju, Korea
© 2023 The Korean Society of Community Nutrition
This is an Open-Access article distributed under the terms of the Creative Commons Attribution Non-Commercial License (http://creativecommons.org/licenses/by-nc/4.0) which permits unrestricted non-commercial use, distribution, and reproduction in any medium, provided the original work is properly cited.
Conflict of Interest
The authors declare no conflict of interest. The funders had no role in influencing the study results.
Funding
This study was supported by the National Institute of Food & Nutrition Service.
Data Availability
The participants in this study did not provide written consent for data disclosure, and therefore data cannot be used due to the sensitive nature of the research supporting data.
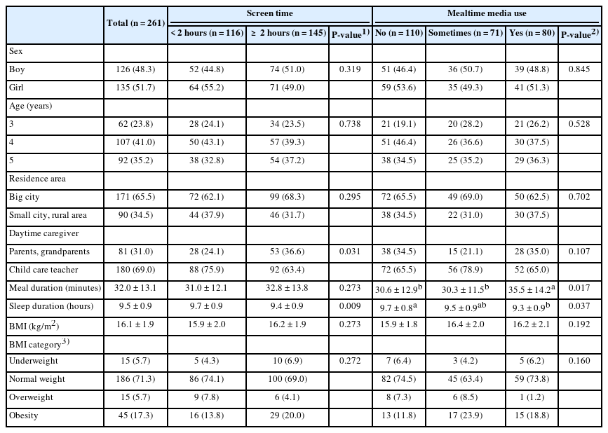
| Total (n = 261) |
Screen time |
Mealtime media use |
||||||
|---|---|---|---|---|---|---|---|---|
| < 2 hours (n = 116) | ≥ 2 hours (n = 145) | P-value1) | No (n = 110) | Sometimes (n = 71) | Yes (n = 80) | P-value2) | ||
| Sex | ||||||||
| Boy | 126 (48.3) | 52 (44.8) | 74 (51.0) | 0.319 | 51 (46.4) | 36 (50.7) | 39 (48.8) | 0.845 |
| Girl | 135 (51.7) | 64 (55.2) | 71 (49.0) | 59 (53.6) | 35 (49.3) | 41 (51.3) | ||
| Age (years) | ||||||||
| 3 | 62 (23.8) | 28 (24.1) | 34 (23.5) | 0.738 | 21 (19.1) | 20 (28.2) | 21 (26.2) | 0.528 |
| 4 | 107 (41.0) | 50 (43.1) | 57 (39.3) | 51 (46.4) | 26 (36.6) | 30 (37.5) | ||
| 5 | 92 (35.2) | 38 (32.8) | 54 (37.2) | 38 (34.5) | 25 (35.2) | 29 (36.3) | ||
| Residence area | ||||||||
| Big city | 171 (65.5) | 72 (62.1) | 99 (68.3) | 0.295 | 72 (65.5) | 49 (69.0) | 50 (62.5) | 0.702 |
| Small city, rural area | 90 (34.5) | 44 (37.9) | 46 (31.7) | 38 (34.5) | 22 (31.0) | 30 (37.5) | ||
| Daytime caregiver | ||||||||
| Parents, grandparents | 81 (31.0) | 28 (24.1) | 53 (36.6) | 0.031 | 38 (34.5) | 15 (21.1) | 28 (35.0) | 0.107 |
| Child care teacher | 180 (69.0) | 88 (75.9) | 92 (63.4) | 72 (65.5) | 56 (78.9) | 52 (65.0) | ||
| Meal duration (minutes) | 32.0 ± 13.1 | 31.0 ± 12.1 | 32.8 ± 13.8 | 0.273 | 30.6 ± 12.9b | 30.3 ± 11.5b | 35.5 ± 14.2a | 0.017 |
| Sleep duration (hours) | 9.5 ± 0.9 | 9.7 ± 0.9 | 9.4 ± 0.9 | 0.009 | 9.7 ± 0.8a | 9.5 ± 0.9ab | 9.3 ± 0.9b | 0.037 |
| BMI (kg/m2) | 16.1 ± 1.9 | 15.9 ± 2.0 | 16.2 ± 1.9 | 0.273 | 15.9 ± 1.8 | 16.4 ± 2.0 | 16.2 ± 2.1 | 0.192 |
| BMI category3) | ||||||||
| Underweight | 15 (5.7) | 5 (4.3) | 10 (6.9) | 0.272 | 7 (6.4) | 3 (4.2) | 5 (6.2) | 0.160 |
| Normal weight | 186 (71.3) | 86 (74.1) | 100 (69.0) | 82 (74.5) | 45 (63.4) | 59 (73.8) | ||
| Overweight | 15 (5.7) | 9 (7.8) | 6 (4.1) | 8 (7.3) | 6 (8.5) | 1 (1.2) | ||
| Obesity | 45 (17.3) | 16 (13.8) | 29 (20.0) | 13 (11.8) | 17 (23.9) | 15 (18.8) | ||
n (%) or mean ± SD
1)P-value was determined by X2-test or t-test.
2)P-value was determined by X2-test or ANOVA.
3)Underweight (weight for age < 5th percentiles), normal weight (5th ≤ BMI for age < 85th percentiles), overweight (85th ≤ BMI for age < 95th percentiles), and obesity (BMI for age ≥ 95th percentiles) based on the 2017 Korean National Growth Chart
Values with different superscripts within each row are significantly different at P < 0.05 by Tukey’s multiple comparison test.
BMI: Body Mass Index
| Total (n = 261) |
Screen time |
Mealtime media use |
||||||||
|---|---|---|---|---|---|---|---|---|---|---|
| < 2 hours (n = 116) | ≥ 2 hours (n = 145) | P-value1) | Adjusted P-value2) | No (n = 110) | Sometimes (n = 71) | Yes (n = 80 | P-value3) | Adjusted P-value2) | ||
| NQ-P score4) | ||||||||||
| Balance | 62.7 ± 11.8 (55.3 – 70.9) | 63.3 ± 10.4 (54.8 – 71.0) | 62.1 ± 12.8 (55.6 – 70.8) | 0.409 | 0.337 | 63.8 ± 11.9 (56.9 – 71.6) | 62.4 ± 12.8 (54.5 – 71.0) | 61.4 ± 10.7 (54.1 – 69.3) | 0.382 | 0.328 |
| Moderation | 50.7 ± 16.0 (38.9 – 61.1) | 55.2 ± 15.5 (44.0 – 65.6) | 47.2 ± 15.5 (34.0 – 56.6) | < 0.001 | < 0.001 | 55.6 ± 15.4a (44.5 – 66.3) | 47.8 ± 15.6b (37.1 – 60.7) | 46.6 ± 15.5b (33.4 – 55.4) | < 0.001 | < 0.001 |
| Environment | 62.0 ± 18.8 (48.3 – 76.7) | 68.5 ± 18.3 (54.1 – 83.4) | 56.9 ± 17.6 (43.3 – 68.9) | < 0.001 | < 0.001 | 68.9 ± 17.8a (56.8 – 82.8) | 58.4 ± 17.9b (45.3 – 71.9) | 55.9 ± 18.0b (41.4 – 68.7) | < 0.001 | < 0.001 |
| Overall | 58.9 ± 9.5 (52.5 – 64.8) | 62.2 ± 8.9 (54.8 – 68.6) | 56.3 ± 9.2 (51.0 – 62.3) | < 0.001 | < 0.001 | 62.6 ± 9.5a (57.5 – 69.1) | 57.0 ± 9.5b (52.1 – 62.7) | 55.6 ± 7.6b (50.4 – 60.7) | < 0.001 | < 0.001 |
| Assessment result5) | ||||||||||
| Good (≥ 65) | 65 (24.9) | 45 (38.8) | 20 (13.8) | < 0.001 | 44 (40.0) | 15 (21.1) | 6 (7.5) | < 0.001 | ||
| Monitoring required (< 65) | 196 (75.1) | 71 (61.2) | 125 (86.2) | 66 (60.0) | 56 (78.9) | 74 (92.5) | ||||
Mean ± SD (25th –75th percentile) or n (%)
1)P-value was determined by t-test or X2-test.
2)P-value was determined by ANCOVA after adjusting for sex, age, and BMI.
3)P-value was determined by ANOVA or X2-test.
4)Maximum score is 100.
5)"Good" represents an NQ-P score of 65 or above, while "monitoring required" represents a score below 65.
Values with different superscripts within each row are significantly different at P < 0.05 by Tukey’s multiple comparison test.
BMI: Body Mass Index
| Total (n = 261) |
Screen time |
Mealtime media use |
||||||||
|---|---|---|---|---|---|---|---|---|---|---|
| < 2 hours (n = 116) | ≥ 2 hours (n = 145) | P-value1) | Adjusted P-value2) | No (n = 110) | Sometimes (n = 71) | Yes (n = 80) | P-value3) | Adjusted P-value2) | ||
| Balance | ||||||||||
| White milk | 8.1 ± 6.3 | 7.9 ± 5.7 | 8.2 ± 6.8 | 0.709 | 0.646 | 7.8 ± 5.9 | 8.6 ± 7.3 | 8.0 ± 5.8 | 0.693 | 0.660 |
| Meat | 3.6 ± 1.9 | 3.6 ± 1.6 | 3.6 ± 2.1 | 0.884 | 0.965 | 3.6 ± 1.8 | 3.4 ± 1.8 | 3.8 ± 2.1 | 0.452 | 0.445 |
| Fish | 1.7 ± 1.4 | 1.6 ± 1.4 | 1.7 ± 1.5 | 0.311 | 0.391 | 1.7 ± 1.4 | 1.7 ± 1.4 | 1.5 ± 1.4 | 0.452 | 0.430 |
| Beans and bean products | 2.1 ± 1.8 | 2.1 ± 1.7 | 2.1 ± 2.0 | 0.757 | 0.987 | 2.2 ± 1.8 | 2.1 ± 2.0 | 1.9 ± 1.8 | 0.552 | 0.465 |
| Fruits4) | 5.1 ± 3.5 | 5.4 ± 3.6 | 4.8 ± 3.4 | 0.228 | 0.296 | 5.4 ± 3.3 | 4.5 ± 3.3 | 5.2 ± 3.8 | 0.234 | 0.269 |
| Vegetables (except kimchi) 4) | 11.8 ± 7.3 | 13.1 ± 6.8 | 10.7 ± 7.6 | 0.009 | 0.008 | 12.8 ± 7.1 | 11.5 ± 7.8 | 10.6 ± 7.0 | 0.117 | 0.134 |
| Kimchi4) | 10.6 ± 7.8 | 12.9 ± 7.4 | 8.8 ± 7.7 | < 0.001 | < 0.001 | 12.6 ± 7.1a | 11.0 ± 8.0a | 7.5 ± 7.8b | < 0.001 | < 0.001 |
| Moderation | ||||||||||
| Confectionery | 4.5 ± 3.5 | 3.5 ± 2.9 | 5.3 ± 3.7 | < 0.001 | < 0.001 | 3.7 ± 3.3b | 4.5 ± 3.6ab | 5.5 ± 3.4a | 0.002 | 0.003 |
| Sugar-sweetened beverages | 1.5 ± 1.7 | 1.1 ± 1.2 | 1.9 ± 1.9 | < 0.001 | < 0.001 | 1.0 ± 1.2b | 1.9 ± 1.8a | 2.0 ± 1.9a | < 0.001 | < 0.001 |
| Processed meat | 1.5 ± 1.4 | 1.3 ± 1.3 | 1.7 ± 1.5 | 0.051 | 0.104 | 1.2 ± 1.2b | 1.8 ± 1.5a | 1.7 ± 1.6a | 0.004 | 0.007 |
| Fast food | 0.4 ± 0.5 | 0.4 ± 0.5 | 0.4 ± 0.4 | 0.424 | 0.666 | 0.4 ± 0.4 | 0.4 ± 0.6 | 0.4 ± 0.3 | 0.666 | 0.728 |
Mean ± SD
1)P-value was determined by t-test.
2)P-value was determined by ANCOVA after adjusting for sex, age, and BMI.
3)P-value was determined by ANOVA.
4)Questions from DST
Values with different superscripts within each row are significantly different at P < 0.05 by Tukey’s multiple comparison test.
BMI: Body Mass Index, DST: Diet Screening Test
| Total (n = 261) |
Screen time |
Mealtime media use |
||||||||
|---|---|---|---|---|---|---|---|---|---|---|
| < 2 hours (n = 116) | ≥ 2 hours (n = 145) | P-value1) | Adjusted P-value2) | No (n = 110) | Sometimes (n = 71) | Yes (n = 80) | P-value3) | Adjusted P-value2) | ||
| Average screen time (hours/d) | 1.6 ± 0.8 | 0.8 ± 0.3 | 2.3 ± 0.5 | < 0.001 | < 0.001 | 1.3 ± 0.7c | 1.7 ± 0.8b | 2.1 ± 0.7a | < 0.001 | < 0.001 |
| Breakfast frequency (weekly frequency) | 4.4 ± 2.5 | 4.8 ± 2.4 | 4.1 ± 2.6 | 0.029 | 0.024 | 5.0 ± 2.5a | 4.0 ± 2.5b | 4.1 ± 2.6b | 0.008 | 0.007 |
| Eating without moving around4) | 3.4 ± 1.1 | 3.6 ± 1.0 | 3.3 ± 1.1 | 0.012 | 0.004 | 3.7 ± 1.0a | 3.3 ± 1.0b | 3.2 ± 1.1b | 0.002 | < 0.001 |
| Washing hands before eating4) | 3.8 ± 0.8 | 4.0 ± 0.8 | 3.6 ± 0.8 | < 0.001 | < 0.001 | 3.9 ± 0.8a | 3.9 ± 0.8a | 3.5 ± 0.9b | 0.003 | 0.004 |
| Parents’ efforts for healthy eating4) | 3.9 ± 0.7 | 4.1 ± 0.7 | 3.7 ± 0.7 | < 0.001 | < 0.001 | 4.0 ± 0.7a | 3.8 ± 0.7ab | 3.7 ± 0.7b | 0.006 | 0.006 |
Mean ± SD
1)P-value was determined by t-test.
2)P-value was determined by ANCOVA after adjusting for sex, age, and BMI.
3)P-value was determined by ANOVA.
4)The responses are based on a 5-point Likert scale, 1 = very unlikely, 2 = unlikely, 3 = neutral, 4 = likely, 5 = very likely.
Values with different superscripts within each row are significantly different at P < 0.05 by Tukey’s multiple comparison test.
BMI: Body Mass Index
| Total (n = 261) |
Screen time |
Mealtime media use |
||||||||
|---|---|---|---|---|---|---|---|---|---|---|
| < 2 hours (n = 116) | ≥ 2 hours (n = 145) | P-value2) | Adjusted P-value3) | No (n = 110) | Sometimes (n = 71) | Yes (n = 80) | P-value4) | Adjusted P-value3) | ||
| Chewing difficulty-hard food | 1.9 ± 0.9 | 1.9 ± 0.8 | 2.0 ± 0.9 | 0.510 | 0.449 | 1.9 ± 0.8 | 1.9 ± 0.8 | 2.0 ± 0.9 | 0.659 | 0.663 |
| Chewing difficulty-chewy food | 2.3 ± 1.0 | 2.2 ± 0.9 | 2.4 ± 1.0 | 0.069 | 0.057 | 2.3 ± 1.0 | 2.3 ± 0.9 | 2.4 ± 1.1 | 0.726 | 0.745 |
| Swallowing difficulty-holding or spitting out food | 2.3 ± 0.9 | 2.1 ± 1.0 | 2.4 ± 0.9 | 0.035 | 0.012 | 2.2 ± 0.9 | 2.2 ± 1.0 | 2.5 ± 1.0 | 0.135 | 0.119 |
| Swallowing difficulty-retching | 2.0 ± 0.8 | 1.8 ± 0.8 | 2.1 ± 0.9 | 0.004 | 0.002 | 2.0 ± 0.9 | 1.9 ± 0.9 | 2.0 ± 0.8 | 0.815 | 0.827 |
| Picky eating | 2.8 ± 1.1 | 2.5 ± 1.0 | 3.0 ± 1.2 | < 0.001 | < 0.001 | 2.6 ± 1.0b | 2.6 ± 1.2b | 3.2 ± 1.2a | < 0.001 | < 0.001 |
| Refusal to eat | 1.7 ± 0.9 | 1.6 ± 0.8 | 1.8 ± 0.9 | 0.053 | 0.033 | 1.6 ± 0.8b | 1.6 ± 0.8b | 2.0 ± 1.0a | 0.009 | 0.008 |
| Not feeding themselves | 2.4 ± 1.1 | 2.2 ± 1.1 | 2.6 ± 1.2 | 0.014 | 0.004 | 2.1 ± 1.0c | 2.5 ± 1.0b | 2.9 ± 1.2a | < 0.001 | < 0.001 |
Mean ± SD
1)The responses are based on a 5-point Likert scale, 1 = very unlikely, 2 = unlikely, 3 = neutral, 4 = likely, 5 = very likely.
2)P-value was determined by t-test.
3)P-value was determined by ANCOVA after adjusting for sex, age, and BMI.
4)P-value was determined by ANOVA.
Values with different superscripts within each row are significantly different at P < 0.05 by Tukey’s multiple comparison test.
BMI: Body Mass Index
| Total (n = 261) | Screen time |
Mealtime media use |
||||||
|---|---|---|---|---|---|---|---|---|
| < 2 hours (n = 116) | ≥ 2 hours (n = 145) | P-value |
No (n = 110) | Sometimes (n = 71) | Yes (n = 80) | P-value |
||
| Sex | ||||||||
| Boy | 126 (48.3) | 52 (44.8) | 74 (51.0) | 0.319 | 51 (46.4) | 36 (50.7) | 39 (48.8) | 0.845 |
| Girl | 135 (51.7) | 64 (55.2) | 71 (49.0) | 59 (53.6) | 35 (49.3) | 41 (51.3) | ||
| Age (years) | ||||||||
| 3 | 62 (23.8) | 28 (24.1) | 34 (23.5) | 0.738 | 21 (19.1) | 20 (28.2) | 21 (26.2) | 0.528 |
| 4 | 107 (41.0) | 50 (43.1) | 57 (39.3) | 51 (46.4) | 26 (36.6) | 30 (37.5) | ||
| 5 | 92 (35.2) | 38 (32.8) | 54 (37.2) | 38 (34.5) | 25 (35.2) | 29 (36.3) | ||
| Residence area | ||||||||
| Big city | 171 (65.5) | 72 (62.1) | 99 (68.3) | 0.295 | 72 (65.5) | 49 (69.0) | 50 (62.5) | 0.702 |
| Small city, rural area | 90 (34.5) | 44 (37.9) | 46 (31.7) | 38 (34.5) | 22 (31.0) | 30 (37.5) | ||
| Daytime caregiver | ||||||||
| Parents, grandparents | 81 (31.0) | 28 (24.1) | 53 (36.6) | 0.031 | 38 (34.5) | 15 (21.1) | 28 (35.0) | 0.107 |
| Child care teacher | 180 (69.0) | 88 (75.9) | 92 (63.4) | 72 (65.5) | 56 (78.9) | 52 (65.0) | ||
| Meal duration (minutes) | 32.0 ± 13.1 | 31.0 ± 12.1 | 32.8 ± 13.8 | 0.273 | 30.6 ± 12.9b | 30.3 ± 11.5b | 35.5 ± 14.2a | 0.017 |
| Sleep duration (hours) | 9.5 ± 0.9 | 9.7 ± 0.9 | 9.4 ± 0.9 | 0.009 | 9.7 ± 0.8a | 9.5 ± 0.9ab | 9.3 ± 0.9b | 0.037 |
| BMI (kg/m2) | 16.1 ± 1.9 | 15.9 ± 2.0 | 16.2 ± 1.9 | 0.273 | 15.9 ± 1.8 | 16.4 ± 2.0 | 16.2 ± 2.1 | 0.192 |
| BMI category |
||||||||
| Underweight | 15 (5.7) | 5 (4.3) | 10 (6.9) | 0.272 | 7 (6.4) | 3 (4.2) | 5 (6.2) | 0.160 |
| Normal weight | 186 (71.3) | 86 (74.1) | 100 (69.0) | 82 (74.5) | 45 (63.4) | 59 (73.8) | ||
| Overweight | 15 (5.7) | 9 (7.8) | 6 (4.1) | 8 (7.3) | 6 (8.5) | 1 (1.2) | ||
| Obesity | 45 (17.3) | 16 (13.8) | 29 (20.0) | 13 (11.8) | 17 (23.9) | 15 (18.8) | ||
| Total (n = 261) | Screen time |
Mealtime media use |
||||||||
|---|---|---|---|---|---|---|---|---|---|---|
| < 2 hours (n = 116) | ≥ 2 hours (n = 145) | P-value |
Adjusted P-value |
No (n = 110) | Sometimes (n = 71) | Yes (n = 80 | P-value |
Adjusted P-value |
||
| NQ-P score |
||||||||||
| Balance | 62.7 ± 11.8 (55.3 – 70.9) | 63.3 ± 10.4 (54.8 – 71.0) | 62.1 ± 12.8 (55.6 – 70.8) | 0.409 | 0.337 | 63.8 ± 11.9 (56.9 – 71.6) | 62.4 ± 12.8 (54.5 – 71.0) | 61.4 ± 10.7 (54.1 – 69.3) | 0.382 | 0.328 |
| Moderation | 50.7 ± 16.0 (38.9 – 61.1) | 55.2 ± 15.5 (44.0 – 65.6) | 47.2 ± 15.5 (34.0 – 56.6) | < 0.001 | < 0.001 | 55.6 ± 15.4a (44.5 – 66.3) | 47.8 ± 15.6b (37.1 – 60.7) | 46.6 ± 15.5b (33.4 – 55.4) | < 0.001 | < 0.001 |
| Environment | 62.0 ± 18.8 (48.3 – 76.7) | 68.5 ± 18.3 (54.1 – 83.4) | 56.9 ± 17.6 (43.3 – 68.9) | < 0.001 | < 0.001 | 68.9 ± 17.8a (56.8 – 82.8) | 58.4 ± 17.9b (45.3 – 71.9) | 55.9 ± 18.0b (41.4 – 68.7) | < 0.001 | < 0.001 |
| Overall | 58.9 ± 9.5 (52.5 – 64.8) | 62.2 ± 8.9 (54.8 – 68.6) | 56.3 ± 9.2 (51.0 – 62.3) | < 0.001 | < 0.001 | 62.6 ± 9.5a (57.5 – 69.1) | 57.0 ± 9.5b (52.1 – 62.7) | 55.6 ± 7.6b (50.4 – 60.7) | < 0.001 | < 0.001 |
| Assessment result |
||||||||||
| Good (≥ 65) | 65 (24.9) | 45 (38.8) | 20 (13.8) | < 0.001 | 44 (40.0) | 15 (21.1) | 6 (7.5) | < 0.001 | ||
| Monitoring required (< 65) | 196 (75.1) | 71 (61.2) | 125 (86.2) | 66 (60.0) | 56 (78.9) | 74 (92.5) | ||||
| Total (n = 261) | Screen time |
Mealtime media use |
||||||||
|---|---|---|---|---|---|---|---|---|---|---|
| < 2 hours (n = 116) | ≥ 2 hours (n = 145) | P-value |
Adjusted P-value |
No (n = 110) | Sometimes (n = 71) | Yes (n = 80) | P-value |
Adjusted P-value |
||
| Balance | ||||||||||
| White milk | 8.1 ± 6.3 | 7.9 ± 5.7 | 8.2 ± 6.8 | 0.709 | 0.646 | 7.8 ± 5.9 | 8.6 ± 7.3 | 8.0 ± 5.8 | 0.693 | 0.660 |
| Meat | 3.6 ± 1.9 | 3.6 ± 1.6 | 3.6 ± 2.1 | 0.884 | 0.965 | 3.6 ± 1.8 | 3.4 ± 1.8 | 3.8 ± 2.1 | 0.452 | 0.445 |
| Fish | 1.7 ± 1.4 | 1.6 ± 1.4 | 1.7 ± 1.5 | 0.311 | 0.391 | 1.7 ± 1.4 | 1.7 ± 1.4 | 1.5 ± 1.4 | 0.452 | 0.430 |
| Beans and bean products | 2.1 ± 1.8 | 2.1 ± 1.7 | 2.1 ± 2.0 | 0.757 | 0.987 | 2.2 ± 1.8 | 2.1 ± 2.0 | 1.9 ± 1.8 | 0.552 | 0.465 |
| Fruits |
5.1 ± 3.5 | 5.4 ± 3.6 | 4.8 ± 3.4 | 0.228 | 0.296 | 5.4 ± 3.3 | 4.5 ± 3.3 | 5.2 ± 3.8 | 0.234 | 0.269 |
| Vegetables (except kimchi) |
11.8 ± 7.3 | 13.1 ± 6.8 | 10.7 ± 7.6 | 0.009 | 0.008 | 12.8 ± 7.1 | 11.5 ± 7.8 | 10.6 ± 7.0 | 0.117 | 0.134 |
| Kimchi |
10.6 ± 7.8 | 12.9 ± 7.4 | 8.8 ± 7.7 | < 0.001 | < 0.001 | 12.6 ± 7.1a | 11.0 ± 8.0a | 7.5 ± 7.8b | < 0.001 | < 0.001 |
| Moderation | ||||||||||
| Confectionery | 4.5 ± 3.5 | 3.5 ± 2.9 | 5.3 ± 3.7 | < 0.001 | < 0.001 | 3.7 ± 3.3b | 4.5 ± 3.6ab | 5.5 ± 3.4a | 0.002 | 0.003 |
| Sugar-sweetened beverages | 1.5 ± 1.7 | 1.1 ± 1.2 | 1.9 ± 1.9 | < 0.001 | < 0.001 | 1.0 ± 1.2b | 1.9 ± 1.8a | 2.0 ± 1.9a | < 0.001 | < 0.001 |
| Processed meat | 1.5 ± 1.4 | 1.3 ± 1.3 | 1.7 ± 1.5 | 0.051 | 0.104 | 1.2 ± 1.2b | 1.8 ± 1.5a | 1.7 ± 1.6a | 0.004 | 0.007 |
| Fast food | 0.4 ± 0.5 | 0.4 ± 0.5 | 0.4 ± 0.4 | 0.424 | 0.666 | 0.4 ± 0.4 | 0.4 ± 0.6 | 0.4 ± 0.3 | 0.666 | 0.728 |
| Total (n = 261) | Screen time |
Mealtime media use |
||||||||
|---|---|---|---|---|---|---|---|---|---|---|
| < 2 hours (n = 116) | ≥ 2 hours (n = 145) | P-value |
Adjusted P-value |
No (n = 110) | Sometimes (n = 71) | Yes (n = 80) | P-value |
Adjusted P-value |
||
| Average screen time (hours/d) | 1.6 ± 0.8 | 0.8 ± 0.3 | 2.3 ± 0.5 | < 0.001 | < 0.001 | 1.3 ± 0.7c | 1.7 ± 0.8b | 2.1 ± 0.7a | < 0.001 | < 0.001 |
| Breakfast frequency (weekly frequency) | 4.4 ± 2.5 | 4.8 ± 2.4 | 4.1 ± 2.6 | 0.029 | 0.024 | 5.0 ± 2.5a | 4.0 ± 2.5b | 4.1 ± 2.6b | 0.008 | 0.007 |
| Eating without moving around |
3.4 ± 1.1 | 3.6 ± 1.0 | 3.3 ± 1.1 | 0.012 | 0.004 | 3.7 ± 1.0a | 3.3 ± 1.0b | 3.2 ± 1.1b | 0.002 | < 0.001 |
| Washing hands before eating |
3.8 ± 0.8 | 4.0 ± 0.8 | 3.6 ± 0.8 | < 0.001 | < 0.001 | 3.9 ± 0.8a | 3.9 ± 0.8a | 3.5 ± 0.9b | 0.003 | 0.004 |
| Parents’ efforts for healthy eating |
3.9 ± 0.7 | 4.1 ± 0.7 | 3.7 ± 0.7 | < 0.001 | < 0.001 | 4.0 ± 0.7a | 3.8 ± 0.7ab | 3.7 ± 0.7b | 0.006 | 0.006 |
| Total (n = 261) | Screen time |
Mealtime media use |
||||||||
|---|---|---|---|---|---|---|---|---|---|---|
| < 2 hours (n = 116) | ≥ 2 hours (n = 145) | P-value |
Adjusted P-value |
No (n = 110) | Sometimes (n = 71) | Yes (n = 80) | P-value |
Adjusted P-value |
||
| Chewing difficulty-hard food | 1.9 ± 0.9 | 1.9 ± 0.8 | 2.0 ± 0.9 | 0.510 | 0.449 | 1.9 ± 0.8 | 1.9 ± 0.8 | 2.0 ± 0.9 | 0.659 | 0.663 |
| Chewing difficulty-chewy food | 2.3 ± 1.0 | 2.2 ± 0.9 | 2.4 ± 1.0 | 0.069 | 0.057 | 2.3 ± 1.0 | 2.3 ± 0.9 | 2.4 ± 1.1 | 0.726 | 0.745 |
| Swallowing difficulty-holding or spitting out food | 2.3 ± 0.9 | 2.1 ± 1.0 | 2.4 ± 0.9 | 0.035 | 0.012 | 2.2 ± 0.9 | 2.2 ± 1.0 | 2.5 ± 1.0 | 0.135 | 0.119 |
| Swallowing difficulty-retching | 2.0 ± 0.8 | 1.8 ± 0.8 | 2.1 ± 0.9 | 0.004 | 0.002 | 2.0 ± 0.9 | 1.9 ± 0.9 | 2.0 ± 0.8 | 0.815 | 0.827 |
| Picky eating | 2.8 ± 1.1 | 2.5 ± 1.0 | 3.0 ± 1.2 | < 0.001 | < 0.001 | 2.6 ± 1.0b | 2.6 ± 1.2b | 3.2 ± 1.2a | < 0.001 | < 0.001 |
| Refusal to eat | 1.7 ± 0.9 | 1.6 ± 0.8 | 1.8 ± 0.9 | 0.053 | 0.033 | 1.6 ± 0.8b | 1.6 ± 0.8b | 2.0 ± 1.0a | 0.009 | 0.008 |
| Not feeding themselves | 2.4 ± 1.1 | 2.2 ± 1.1 | 2.6 ± 1.2 | 0.014 | 0.004 | 2.1 ± 1.0c | 2.5 ± 1.0b | 2.9 ± 1.2a | < 0.001 | < 0.001 |
n (%) or mean ± SD Underweight (weight for age < 5th percentiles), normal weight (5th ≤ BMI for age < 85th percentiles), overweight (85th ≤ BMI for age < 95th percentiles), and obesity (BMI for age ≥ 95th percentiles) based on the 2017 Korean National Growth Chart Values with different superscripts within each row are significantly different at BMI: Body Mass Index
Mean ± SD (25th –75th percentile) or n (%) Maximum score is 100. "Good" represents an NQ-P score of 65 or above, while "monitoring required" represents a score below 65. Values with different superscripts within each row are significantly different at BMI: Body Mass Index
Mean ± SD Questions from DST Values with different superscripts within each row are significantly different at BMI: Body Mass Index, DST: Diet Screening Test
Mean ± SD The responses are based on a 5-point Likert scale, 1 = very unlikely, 2 = unlikely, 3 = neutral, 4 = likely, 5 = very likely. Values with different superscripts within each row are significantly different at BMI: Body Mass Index
Mean ± SD The responses are based on a 5-point Likert scale, 1 = very unlikely, 2 = unlikely, 3 = neutral, 4 = likely, 5 = very likely. Values with different superscripts within each row are significantly different at BMI: Body Mass Index
