, Mi-Kyeong Choi†
Professor, Department of Food and Nutrition, Kongju National University, Yesan, Korea
© 2023 The Korean Society of Community Nutrition
This is an Open-Access article distributed under the terms of the Creative Commons Attribution Non-Commercial License (http://creativecommons.org/licenses/by-nc/4.0) which permits unrestricted non-commercial use, distribution, and reproduction in any medium, provided the original work is properly cited.
Conflict of Interest
There are no financial or other issues that might lead to conflict of interest.
Funding
This research received no external funding.
Data Availability
The participants of the study did not give written consent for their data to be shared publicly. Due to the sensitive nature of the research, supporting data is not available.
| Characteristics |
Men (n = 50) |
P-value1) |
Women (n = 50) |
P-value1) | ||
|---|---|---|---|---|---|---|
| OSTEO (n = 15) | Normal (n = 35) | OSTEO (n = 30) | Normal (n = 20) | |||
| Age | 22.33 ± 0.90 | 22.54 ± 1.58 | 0.557 | 21.57 ± 2.11 | 20.80 ± 1.24 | 0.113 |
| Height (cm) | 177.50 ± 4.50 | 173.46 ± 5.49 | 0.016 | 159.43 ± 4.30 | 160.82 ± 4.85 | 0.294 |
| Weight (kg) | 76.36 ± 10.63 | 72.95 ± 10.12 | 0.288 | 54.50 ± 11.43 | 65.68 ± 13.30 | 0.003 |
| BMI (kg/m2) | 24.21 ± 3.03 | 24.20 ± 2.71 | 0.991 | 21.39 ± 4.02 | 25.36 ± 4.84 | 0.003 |
| SMM (kg) | 34.45 ± 4.38 | 32.05 ± 4.43 | 0.085 | 18.94 ± 3.01 | 22.18 ± 3.92 | 0.002 |
| BFM (kg) | 16.41 ± 5.65 | 16.52 ± 4.83 | 0.946 | 17.44 ± 7.55 | 23.85 ± 8.14 | 0.006 |
| VFA (cm2) | 88.92 ± 21.93 | 85.20 ± 20.14 | 0.563 | 43.71 ± 26.58 | 68.57 ± 29.85 | 0.003 |
| BQI | 69.25 ± 10.00 | 100.09 ± 10.60 | < 0.001 | 71.56 ± 9.38 | 93.23 ± 9.85 | < 0.001 |
| T-score | - 1.86 ± 0.54 | - 0.21 ± 0.57 | < 0.001 | - 1.74 ± 0.50 | - 0.58 ± 0.53 | < 0.001 |
| Z-score | - 1.95 ± 0.57 | - 0.19 ± 0.60 | < 0.001 | - 1.82 ± 0.56 | - 0.52 ± 0.60 | < 0.001 |
| Bone status | Men (n = 50) | Women (n = 50) | P-value2) | |||
| Normal (T-score ≥ - 1.0) | 35 (70.0) | 20 (40.0) | 0.005 | |||
| Osteopenia (- 2.5 ≤ T-score < -1.0) | 12 (24.0) | 27 (54.0) | ||||
| Osteoporosis (T-score < - 2.5) | 3 (6.0) | 3 (6.0) | ||||
|
Men (n = 50) |
P-value1) | Adjusted P-value2) |
Women (n = 50) |
P-value1) | Adjusted P-value2) | |||
|---|---|---|---|---|---|---|---|---|
| OSTEO (n = 15) | Normal (n = 35) | OSTEO (n = 30) | Normal (n = 20) | |||||
| Energy (kcal) | 2,392.68 ± 660.51 | 2,211.67 ± 775.72 | 0.434 | - | 1,748.18 ± 582.91 | 1,893.34 ± 599.94 | 0.398 | - |
| Carbohydrate (g) | 307.85 ± 60.66 | 261.18 ± 111.69 | 0.064 | 0.187 | 247.09 ± 93.43 | 214.75 ± 79.51 | 0.210 | 0.005 |
| Fat (g) | 90.15 ± 41.59 | 79.26 ± 37.42 | 0.366 | 0.641 | 55.25 ± 24.24 | 58.87 ± 28.93 | 0.634 | 0.924 |
| Protein (g) | 84.84 ± 33.97 | 76.73 ± 29.85 | 0.403 | 0.722 | 61.60 ± 23.01 | 57.38 ± 21.89 | 0.520 | 0.091 |
| Dietary fiber (g) | 19.34 ± 8.48 | 16.71 ± 8.22 | 0.310 | 0.499 | 18.73 ± 8.35 | 12.46 ± 5.16 | 0.002 | 0.000 |
| Vitamin A (mg RAE) | 456.56 ± 274.60 | 365.48 ± 252.02 | 0.260 | 0.397 | 372.34 ± 287.02 | 245.71 ± 147.63 | 0.047 | 0.019 |
| Vitamin D (mg) | 2.70 ± 2.75 | 2.51 ± 5.29 | 0.870 | 0.909 | 3.21 ± 3.18 | 4.97 ± 10.88 | 0.490 | 0.548 |
| Vitamin E (mg) | 21.09 ± 10.76 | 20.65 ± 11.74 | 0.901 | 0.836 | 18.28 ± 10.45 | 14.48 ± 6.72 | 0.124 | 0.035 |
| Vitamin K (mg) | 100.67 ± 76.48 | 93.95 ± 80.36 | 0.785 | 0.835 | 75.59 ± 56.03 | 61.86 ± 50.27 | 0.381 | 0.316 |
| Vitamin C (mg) | 62.81 ± 46.55 | 42.07 ± 34.37 | 0.086 | 0.128 | 66.56 ± 57.37 | 48.65 ± 87.69 | 0.427 | 0.351 |
| Vitamin B1 (mg) | 2.37 ± 1.01 | 1.97 ± 0.87 | 0.158 | 0.241 | 1.48 ± 0.59 | 1.24 ± 0.74 | 0.213 | 0.101 |
| Vitamin B2 (mg) | 1.75 ± 1.01 | 1.46 ± 0.75 | 0.260 | 0.421 | 1.35 ± 0.66 | 1.11 ± 0.57 | 0.192 | 0.049 |
| Niacin (mg) | 16.46 ± 7.39 | 13.84 ± 7.08 | 0.242 | 0.386 | 12.20 ± 4.90 | 11.64 ± 4.88 | 0.696 | 0.274 |
| Vitamin B6 (mg) | 1.65 ± 0.70 | 1.45 ± 0.62 | 0.329 | 0.486 | 1.37 ± 0.58 | 1.46 ± 0.98 | 0.708 | 0.943 |
| Folate (mg) | 403.29 ± 211.80 | 356.65 ± 179.36 | 0.429 | 0.661 | 367.25 ± 210.76 | 269.28 ± 143.48 | 0.076 | 0.026 |
| Vitamin B12 (mg) | 8.57 ± 6.81 | 6.07 ± 7.22 | 0.260 | 0.327 | 5.56 ± 3.85 | 9.03 ± 15.37 | 0.335 | 0.301 |
| Calcium (mg) | 547.94 ± 355.41 | 408.46 ± 283.44 | 0.147 | 0.221 | 564.54 ± 494.33 | 331.69 ± 231.00 | 0.030 | 0.019 |
| Plant calcium (mg) | 236.26 ± 172.67 | 227.98 ± 182.56 | 0.882 | 0.784 | 255.41 ± 157.90 | 165.47 ± 101.67 | 0.018 | 0.003 |
| Animal calcium (mg) | 311.67 ± 240.21 | 180.49 ± 161.73 | 0.028 | 0.037 | 309.13 ± 466.88 | 166.23 ± 224.62 | 0.156 | 0.148 |
| Phosphorus (mg) | 1168.53 ± 525.70 | 1063.31 ± 420.81 | 0.456 | 0.851 | 928.41 ± 367.81 | 816.65 ± 287.32 | 0.258 | 0.029 |
| Sodium (mg) | 4,199.53 ± 1,563.34 | 3,597.55 ± 1,587.89 | 0.223 | 0.355 | 3,333.52 ± 1,359.37 | 2,934.29 ± 1,396.91 | 0.319 | 0.080 |
| Potassium (mg) | 2,353.38 ± 835.12 | 1,979.84 ± 816.66 | 0.148 | 0.216 | 2,221.47 ± 1,051.47 | 1,466.26 ± 529.30 | 0.002 | 0.000 |
| Iron (mg) | 14.98 ± 7.75 | 13.05 ± 5.82 | 0.339 | 0.536 | 13.56 ± 7.32 | 10.03 ± 4.88 | 0.065 | 0.002 |
| Plant iron (mg) | 8.93 ± 4.22 | 8.09 ± 3.85 | 0.497 | 0.751 | 9.61 ± 5.57 | 7.10 ± 3.76 | 0.084 | 0.004 |
| Animal iron (mg) | 6.04 ± 4.73 | 4.96 ± 3.47 | 0.369 | 0.530 | 3.94 ± 2.75 | 2.93 ± 2.41 | 0.189 | 0.072 |
| Zinc (mg) | 10.49 ± 4.56 | 8.89 ± 4.02 | 0.221 | 0.352 | 7.81 ± 3.45 | 6.70 ± 2.86 | 0.240 | 0.052 |
| Copper (mg) | 671.09 ± 490.37 | 604.95 ± 454.17 | 0.647 | 0.963 | 603.37 ± 299.88 | 547.02 ± 388.75 | 0.566 | 0.250 |
| Selenium (mg) | 86.03 ± 55.06 | 74.70 ± 44.61 | 0.447 | 0.701 | 67.45 ± 36.62 | 71.98 ± 48.90 | 0.710 | 0.937 |
| Cholesterol (mg) | 339.69 ± 270.74 | 315.10 ± 268.44 | 0.768 | 0.974 | 329.84 ± 261.41 | 312.35 ± 226.97 | 0.808 | 0.487 |
| Characteristics | Men (n = 50) |
P-value |
Women (n = 50) |
P-value |
||
|---|---|---|---|---|---|---|
| OSTEO (n = 15) | Normal (n = 35) | OSTEO (n = 30) | Normal (n = 20) | |||
| Age | 22.33 ± 0.90 | 22.54 ± 1.58 | 0.557 | 21.57 ± 2.11 | 20.80 ± 1.24 | 0.113 |
| Height (cm) | 177.50 ± 4.50 | 173.46 ± 5.49 | 0.016 | 159.43 ± 4.30 | 160.82 ± 4.85 | 0.294 |
| Weight (kg) | 76.36 ± 10.63 | 72.95 ± 10.12 | 0.288 | 54.50 ± 11.43 | 65.68 ± 13.30 | 0.003 |
| BMI (kg/m2) | 24.21 ± 3.03 | 24.20 ± 2.71 | 0.991 | 21.39 ± 4.02 | 25.36 ± 4.84 | 0.003 |
| SMM (kg) | 34.45 ± 4.38 | 32.05 ± 4.43 | 0.085 | 18.94 ± 3.01 | 22.18 ± 3.92 | 0.002 |
| BFM (kg) | 16.41 ± 5.65 | 16.52 ± 4.83 | 0.946 | 17.44 ± 7.55 | 23.85 ± 8.14 | 0.006 |
| VFA (cm2) | 88.92 ± 21.93 | 85.20 ± 20.14 | 0.563 | 43.71 ± 26.58 | 68.57 ± 29.85 | 0.003 |
| BQI | 69.25 ± 10.00 | 100.09 ± 10.60 | < 0.001 | 71.56 ± 9.38 | 93.23 ± 9.85 | < 0.001 |
| T-score | - 1.86 ± 0.54 | - 0.21 ± 0.57 | < 0.001 | - 1.74 ± 0.50 | - 0.58 ± 0.53 | < 0.001 |
| Z-score | - 1.95 ± 0.57 | - 0.19 ± 0.60 | < 0.001 | - 1.82 ± 0.56 | - 0.52 ± 0.60 | < 0.001 |
| Bone status | Men (n = 50) | Women (n = 50) | P-value |
|||
| Normal (T-score ≥ - 1.0) | 35 (70.0) | 20 (40.0) | 0.005 | |||
| Osteopenia (- 2.5 ≤ T-score < -1.0) | 12 (24.0) | 27 (54.0) | ||||
| Osteoporosis (T-score < - 2.5) | 3 (6.0) | 3 (6.0) | ||||
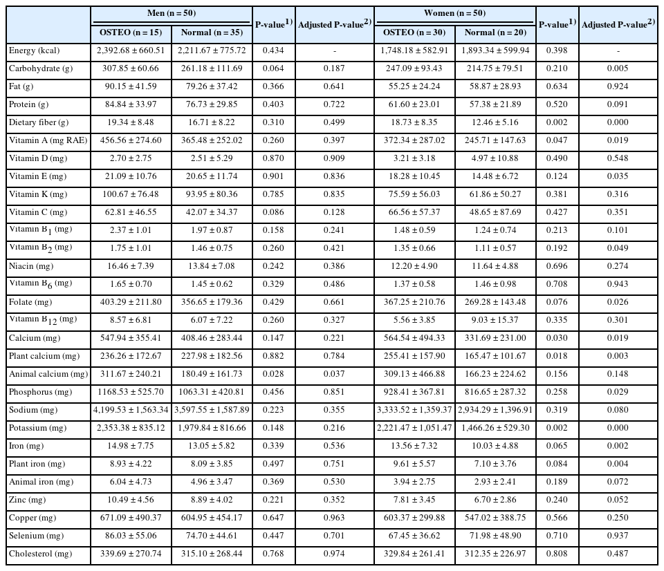
| Men (n = 50) |
P-value |
Adjusted P-value |
Women (n = 50) |
P-value |
Adjusted P-value |
|||
|---|---|---|---|---|---|---|---|---|
| OSTEO (n = 15) | Normal (n = 35) | OSTEO (n = 30) | Normal (n = 20) | |||||
| Energy (kcal) | 2,392.68 ± 660.51 | 2,211.67 ± 775.72 | 0.434 | - | 1,748.18 ± 582.91 | 1,893.34 ± 599.94 | 0.398 | - |
| Carbohydrate (g) | 307.85 ± 60.66 | 261.18 ± 111.69 | 0.064 | 0.187 | 247.09 ± 93.43 | 214.75 ± 79.51 | 0.210 | 0.005 |
| Fat (g) | 90.15 ± 41.59 | 79.26 ± 37.42 | 0.366 | 0.641 | 55.25 ± 24.24 | 58.87 ± 28.93 | 0.634 | 0.924 |
| Protein (g) | 84.84 ± 33.97 | 76.73 ± 29.85 | 0.403 | 0.722 | 61.60 ± 23.01 | 57.38 ± 21.89 | 0.520 | 0.091 |
| Dietary fiber (g) | 19.34 ± 8.48 | 16.71 ± 8.22 | 0.310 | 0.499 | 18.73 ± 8.35 | 12.46 ± 5.16 | 0.002 | 0.000 |
| Vitamin A (mg RAE) | 456.56 ± 274.60 | 365.48 ± 252.02 | 0.260 | 0.397 | 372.34 ± 287.02 | 245.71 ± 147.63 | 0.047 | 0.019 |
| Vitamin D (mg) | 2.70 ± 2.75 | 2.51 ± 5.29 | 0.870 | 0.909 | 3.21 ± 3.18 | 4.97 ± 10.88 | 0.490 | 0.548 |
| Vitamin E (mg) | 21.09 ± 10.76 | 20.65 ± 11.74 | 0.901 | 0.836 | 18.28 ± 10.45 | 14.48 ± 6.72 | 0.124 | 0.035 |
| Vitamin K (mg) | 100.67 ± 76.48 | 93.95 ± 80.36 | 0.785 | 0.835 | 75.59 ± 56.03 | 61.86 ± 50.27 | 0.381 | 0.316 |
| Vitamin C (mg) | 62.81 ± 46.55 | 42.07 ± 34.37 | 0.086 | 0.128 | 66.56 ± 57.37 | 48.65 ± 87.69 | 0.427 | 0.351 |
| Vitamin B1 (mg) | 2.37 ± 1.01 | 1.97 ± 0.87 | 0.158 | 0.241 | 1.48 ± 0.59 | 1.24 ± 0.74 | 0.213 | 0.101 |
| Vitamin B2 (mg) | 1.75 ± 1.01 | 1.46 ± 0.75 | 0.260 | 0.421 | 1.35 ± 0.66 | 1.11 ± 0.57 | 0.192 | 0.049 |
| Niacin (mg) | 16.46 ± 7.39 | 13.84 ± 7.08 | 0.242 | 0.386 | 12.20 ± 4.90 | 11.64 ± 4.88 | 0.696 | 0.274 |
| Vitamin B6 (mg) | 1.65 ± 0.70 | 1.45 ± 0.62 | 0.329 | 0.486 | 1.37 ± 0.58 | 1.46 ± 0.98 | 0.708 | 0.943 |
| Folate (mg) | 403.29 ± 211.80 | 356.65 ± 179.36 | 0.429 | 0.661 | 367.25 ± 210.76 | 269.28 ± 143.48 | 0.076 | 0.026 |
| Vitamin B12 (mg) | 8.57 ± 6.81 | 6.07 ± 7.22 | 0.260 | 0.327 | 5.56 ± 3.85 | 9.03 ± 15.37 | 0.335 | 0.301 |
| Calcium (mg) | 547.94 ± 355.41 | 408.46 ± 283.44 | 0.147 | 0.221 | 564.54 ± 494.33 | 331.69 ± 231.00 | 0.030 | 0.019 |
| Plant calcium (mg) | 236.26 ± 172.67 | 227.98 ± 182.56 | 0.882 | 0.784 | 255.41 ± 157.90 | 165.47 ± 101.67 | 0.018 | 0.003 |
| Animal calcium (mg) | 311.67 ± 240.21 | 180.49 ± 161.73 | 0.028 | 0.037 | 309.13 ± 466.88 | 166.23 ± 224.62 | 0.156 | 0.148 |
| Phosphorus (mg) | 1168.53 ± 525.70 | 1063.31 ± 420.81 | 0.456 | 0.851 | 928.41 ± 367.81 | 816.65 ± 287.32 | 0.258 | 0.029 |
| Sodium (mg) | 4,199.53 ± 1,563.34 | 3,597.55 ± 1,587.89 | 0.223 | 0.355 | 3,333.52 ± 1,359.37 | 2,934.29 ± 1,396.91 | 0.319 | 0.080 |
| Potassium (mg) | 2,353.38 ± 835.12 | 1,979.84 ± 816.66 | 0.148 | 0.216 | 2,221.47 ± 1,051.47 | 1,466.26 ± 529.30 | 0.002 | 0.000 |
| Iron (mg) | 14.98 ± 7.75 | 13.05 ± 5.82 | 0.339 | 0.536 | 13.56 ± 7.32 | 10.03 ± 4.88 | 0.065 | 0.002 |
| Plant iron (mg) | 8.93 ± 4.22 | 8.09 ± 3.85 | 0.497 | 0.751 | 9.61 ± 5.57 | 7.10 ± 3.76 | 0.084 | 0.004 |
| Animal iron (mg) | 6.04 ± 4.73 | 4.96 ± 3.47 | 0.369 | 0.530 | 3.94 ± 2.75 | 2.93 ± 2.41 | 0.189 | 0.072 |
| Zinc (mg) | 10.49 ± 4.56 | 8.89 ± 4.02 | 0.221 | 0.352 | 7.81 ± 3.45 | 6.70 ± 2.86 | 0.240 | 0.052 |
| Copper (mg) | 671.09 ± 490.37 | 604.95 ± 454.17 | 0.647 | 0.963 | 603.37 ± 299.88 | 547.02 ± 388.75 | 0.566 | 0.250 |
| Selenium (mg) | 86.03 ± 55.06 | 74.70 ± 44.61 | 0.447 | 0.701 | 67.45 ± 36.62 | 71.98 ± 48.90 | 0.710 | 0.937 |
| Cholesterol (mg) | 339.69 ± 270.74 | 315.10 ± 268.44 | 0.768 | 0.974 | 329.84 ± 261.41 | 312.35 ± 226.97 | 0.808 | 0.487 |
| Men (n = 50) |
P-value | Women (n = 50) |
P-value | |||
|---|---|---|---|---|---|---|
| OSTEO (n = 15) | Normal (n = 35) | OSTEO (n = 30) | Normal (n = 20) | |||
| Preference | ||||||
| Black coffee | 4.00 ± 1.13 | 3.11 ± 1.55 | 0.052 | 3.00 ± 1.46 | 3.55 ± 1.32 | 0.182 |
| Café latte or cappuccino | 3.93 ± 1.10 | 2.89 ± 0.99 | 0.002 | 3.13 ± 1.22 | 3.35 ± 1.27 | 0.548 |
| Café mocha or white mocha | 3.40 ± 1.18 | 2.77 ± 0.97 | 0.056 | 2.90 ± 1.03 | 3.10 ± 1.17 | 0.526 |
| Instant coffee | 3.00 ± 1.31 | 2.91 ± 1.09 | 0.812 | 2.90 ± 1.16 | 3.10 ± 1.21 | 0.559 |
| Green or black tea | 3.73 ± 1.22 | 3.17 ± 1.15 | 0.127 | 3.90 ± 0.92 | 3.80 ± 1.11 | 0.730 |
| Total | 18.07 ± 4.23 | 14.86 ± 3.41 | 0.007 | 15.83 ± 3.71 | 16.90 ± 3.73 | 0.325 |
| Intake frequency | ||||||
| Black coffee | 2.43 ± 2.21 | 1.97 ± 2.32 | 0.516 | 1.47 ± 2.30 | 2.05 ± 2.43 | 0.394 |
| Café latte or cappuccino | 1.70 ± 2.09 | 0.77 ± 1.09 | 0.121 | 0.75 ± 1.14 | 0.40 ± 0.91 | 0.257 |
| Café mocha or white mocha | 0.67 ± 1.47 | 0.50 ± 1.08 | 0.656 | 0.20 ± 0.52 | 0.23 ± 0.55 | 0.871 |
| Instant coffee | 0.20 ± 0.53 | 0.39 ± 0.67 | 0.343 | 0.48 ± 1.00 | 0.50 ± 1.30 | 0.959 |
| Green tea or black tea | 1.40 ± 1.93 | 0.87 ± 1.73 | 0.342 | 1.00 ± 1.11 | 1.23 ± 1.77 | 0.616 |
| Total | 6.40 ± 5.37 | 4.50 ± 3.45 | 0.140 | 3.90 ± 3.14 | 4.40 ± 3.30 | 0.591 |
| Men (n = 50) |
P-value | Women (n = 50) |
P-value | |||
|---|---|---|---|---|---|---|
| OSTEO (n = 15) | Normal (n = 35) | OSTEO (n = 30) | Normal (n = 20) | |||
| Eating attitude | ||||||
| I try to eat breakfast regularly every day | 2.20 ± 1.32 | 1.83 ± 0.92 | 0.259 | 1.97 ± 1.33 | 1.70 ± 0.86 | 0.432 |
| I try to eat an adequate amount of meals | 3.60 ± 0.63 | 3.31 ± 0.83 | 0.241 | 3.43 ± 0.97 | 3.15 ± 0.88 | 0.299 |
| I try not to eat snacks from after dinner until I go to bed | 2.53 ± 1.06 | 2.71 ± 1.18 | 0.611 | 2.73 ± 1.20 | 2.50 ± 1.40 | 0.531 |
| I tend to eat slowly and leisurely | 2.87 ± 1.25 | 2.91 ± 0.92 | 0.881 | 3.47 ± 1.14 | 3.65 ± 0.99 | 0.559 |
| I try to eat evenly without unbalanced meals | 4.13 ± 0.92 | 3.60 ± 1.01 | 0.084 | 3.57 ± 0.97 | 3.75 ± 1.21 | 0.556 |
| When I eat, I think about the combination of food | 2.87 ± 1.13 | 2.43 ± 1.12 | 0.211 | 2.77 ± 1.10 | 2.30 ± 0.80 | 0.111 |
| When I purchase food, I try to check the nutrition label | 3.00 ± 0.93 | 1.77 ± 0.84 | 0.003 | 2.53 ± 1.33 | 2.35 ± 1.35 | 0.637 |
| Average | 3.03 ± 0.56 | 2.65 ± 0.49 | 0.021 | 2.92 ± 0.68 | 2.77 ± 0.48 | 0.391 |
| Eating habits | ||||||
| I eat grain at every meal | 4.53 ± 0.83 | 4.09 ± 0.92 | 0.112 | 4.10 ± 1.03 | 4.15 ± 1.09 | 0.870 |
| I eat meat at every meal | 4.00 ± 0.93 | 3.69 ± 0.90 | 0.267 | 3.73 ± 1.01 | 3.85 ± 1.14 | 0.706 |
| I eat side dishes of vegetables besides Kimchi every day | 3.73 ± 0.96 | 3.57 ± 0.95 | 0.584 | 3.40 ± 0.93 | 3.60 ± 0.75 | 0.428 |
| I eat seaweed at every meal | 2.47 ± 0.99 | 2.31 ± 0.72 | 0.544 | 2.20 ± 0.61 | 2.60 ± 0.94 | 0.103 |
| I do not eat processed food often | 2.20 ± 0.86 | 2.23 ± 0.77 | 0.908 | 2.50 ± 1.04 | 2.15 ± 1.04 | 0.250 |
| I do not eat snacks often | 3.00 ± 1.00 | 2.74 ± 0.98 | 0.402 | 2.50 ± 0.97 | 2.80 ± 1.40 | 0.375 |
| I do not eat out often | 2.13 ± 0.92 | 2.49 ± 1.04 | 0.262 | 2.37 ± 1.10 | 2.20 ± 0.95 | 0.582 |
| Average | 3.15 ± 0.41 | 3.02 ± 0.43 | 0.305 | 2.97 ± 0.45 | 3.05 ± 0.58 | 0.594 |
Mean ± SD or n (%) OSTEO: osteopenia & osteoporosis, BMI: body mass index, SMM: skeletal muscle mass, BFM: body fat mass, VFA: visceral fat area, BQI: bone quality index
Mean ± SD Energy-adjusted OSTEO: osteopenia & osteoporosis
Mean ± SD Preference is scored from 1 (hate) to 5 (like very much). Frequency is scored as 7 (every day), 5.5 (5-6 times/week), 3.5 (3-4 times/week), 1.5 (1-2 times/week), and 0 (rarely). OSTEO: osteopenia & osteoporosis
Mean ± SD The score ranges from 1 (strongly disagree) to 5 (strongly agree) on a Likert scale. OSTEO: osteopenia & osteoporosis
