신한대학교 식품영양학과, 교수
Professor, Department of Food and Nutritional Science, Shinhan University, Uijeongbu, Korea
© 2024 The Korean Society of Community Nutrition
This is an Open-Access article distributed under the terms of the Creative Commons Attribution Non-Commercial License (http://creativecommons.org/licenses/by-nc/4.0) which permits unrestricted non-commercial use, distribution, and reproduction in any medium, provided the original work is properly cited.
Conflict of Interest
There are no financial or other issues that might lead to conflict of interest.
Data Availability
The raw data from this study is publicly available and can be accessed from the Korea Disease Control and Prevention Agency. https://www.kdca.go.kr/yhs.
| Characteristics | Total (n = 51,850) |
Watching Mukbang and Cookbang videos |
χ2 | P-value | |||
|---|---|---|---|---|---|---|---|
| No (n = 14,781) | ≤ 3 times/mo (n = 14,906) | 1–4 times/wk (n = 15,170) | ≥ 5 times/wk (n = 6,993) | ||||
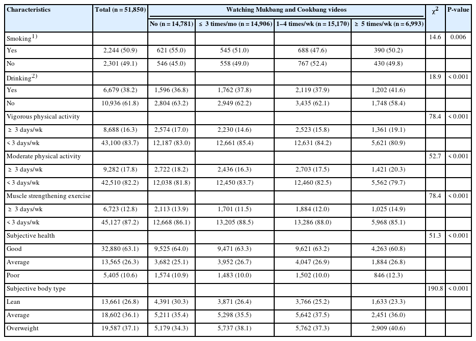
| Smoking1) | 14.6 | 0.006 | |||||
| Yes | 2,244 (50.9) | 621 (55.0) | 545 (51.0) | 688 (47.6) | 390 (50.2) | ||
| No | 2,301 (49.1) | 546 (45.0) | 558 (49.0) | 767 (52.4) | 430 (49.8) | ||
| Drinking2) | 18.9 | < 0.001 | |||||
| Yes | 6,679 (38.2) | 1,596 (36.8) | 1,762 (37.8) | 2,119 (37.9) | 1,202 (41.6) | ||
| No | 10,936 (61.8) | 2,804 (63.2) | 2,949 (62.2) | 3,435 (62.1) | 1,748 (58.4) | ||
| Vigorous physical activity | 78.4 | < 0.001 | |||||
| ≥ 3 days/wk | 8,688 (16.3) | 2,574 (17.0) | 2,230 (14.6) | 2,523 (15.8) | 1,361 (19.1) | ||
| < 3 days/wk | 43,100 (83.7) | 12,187 (83.0) | 12,661 (85.4) | 12,631 (84.2) | 5,621 (80.9) | ||
| Moderate physical activity | 52.7 | < 0.001 | |||||
| ≥ 3 days/wk | 9,282 (17.8) | 2,722 (18.2) | 2,436 (16.3) | 2,703 (17.5) | 1,421 (20.3) | ||
| < 3 days/wk | 42,510 (82.2) | 12,038 (81.8) | 12,450 (83.7) | 12,460 (82.5) | 5,562 (79.7) | ||
| Muscle strengthening exercise | 78.4 | < 0.001 | |||||
| ≥ 3 days/wk | 6,723 (12.8) | 2,113 (13.9) | 1,701 (11.5) | 1,884 (12.0) | 1,025 (14.9) | ||
| < 3 days/wk | 45,127 (87.2) | 12,668 (86.1) | 13,205 (88.5) | 13,286 (88.0) | 5,968 (85.1) | ||
| Subjective health | 51.3 | < 0.001 | |||||
| Good | 32,880 (63.1) | 9,525 (64.0) | 9,471 (63.3) | 9,621 (63.2) | 4,263 (60.8) | ||
| Average | 13,565 (26.3) | 3,682 (25.1) | 3,952 (26.7) | 4,047 (26.9) | 1,884 (26.8) | ||
| Poor | 5,405 (10.6) | 1,574 (10.9) | 1,483 (10.0) | 1,502 (10.0) | 846 (12.3) | ||
| Subjective body type | 190.8 | < 0.001 | |||||
| Lean | 13,661 (26.8) | 4,391 (30.3) | 3,871 (26.4) | 3,766 (25.2) | 1,633 (23.3) | ||
| Average | 18,602 (36.1) | 5,211 (35.4) | 5,298 (35.5) | 5,642 (37.5) | 2,451 (36.0) | ||
| Overweight | 19,587 (37.1) | 5,179 (34.3) | 5,737 (38.1) | 5,762 (37.3) | 2,909 (40.6) | ||
| Watching Mukbang and Cookbang videos |
Dietary habits |
|||||||||
|---|---|---|---|---|---|---|---|---|---|---|
|
Breakfast (≥ 5 times/wk) |
Fast food (≥ 3 times/wk) |
High-caffeine drinks (≥ 3 times/wk) |
Sweet drinks (≥ 3 times/wk) |
Late night snack (≥ 3 times/wk) |
||||||
| OR | 95% CI | OR | 95% CI | OR | 95% CI | OR | 95% CI | OR | 95% CI | |
| Never | 1.00 | 1.00 | 1.00 | 1.00 | 1.00 | |||||
| ≤ 3 times/mo | 0.81*** | 0.77–0.86 | 1.17*** | 1.09–1.26 | 0.93 | 0.87–1.01 | 1.13*** | 1.06–1.21 | 1.08** | 1.00–1.16 |
| 1–4 times/wk | 0.69*** | 0.66–0.74 | 1.44*** | 1.35–1.55 | 1.12** | 1.04–1.20 | 1.38*** | 1.30–1.47 | 1.21*** | 1.13–1.30 |
| ≥ 5 times/wk | 0.63*** | 0.58–0.68 | 1.85*** | 1.69–2.02 | 1.43*** | 1.30–1.56 | 1.54*** | 1.41–1.67 | 1.37*** | 1.25–1.51 |
The reference is not watching Mukbang and Cookbang videos.
Adjusted for age, sex, residence area, type of school, academic achievement, household economic status, residential type, paternal education, maternal education, and body mass index.
OR, odds ratio; CI, confidence interval.
**P < 0.05,
***P < 0.001.
| Characteristics | Total (n = 51,850) | Watching Mukbang and Cookbang videos |
χ2 | P-value | |||
|---|---|---|---|---|---|---|---|
| No (n = 14,781) | ≤ 3 times/mo (n = 14,906) | 1–4 times/wk (n = 15,170) | ≥ 5 times/wk (n = 6,993) | ||||
| Sex | 1,515.9 | < 0.001 | |||||
| Male | 26,397 (51.6) | 9,497 (64.6) | 7,004 (47.7) | 6,917 (45.9) | 2,979 (43.2) | ||
| Female | 25,453 (48.4) | 5,284 (35.4) | 7,902 (52.3) | 8,253 (54.1) | 4,014 (56.8) | ||
| Educational attainment | 47.8 | < 0.001 | |||||
| Middle school | 28,015 (51.6) | 7,853 (50.8) | 8,399 (54.0) | 8,074 (50.7) | 3,689 (50.4) | ||
| High school | 23,835 (48.4) | 6,928 (49.2) | 6,507 (46.0) | 7,096 (49.3) | 3,304 (49.6) | ||
| Residence area | 53.3 | < 0.001 | |||||
| Metropolis | 22,212 (41.5) | 6,590 (43.3) | 6,438 (41.7) | 6,348 (40.5) | 2,836 (39.4) | ||
| Middle city | 25,814 (52.9) | 7,224 (51.8) | 7,345 (52.5) | 7,656 (53.6) | 3,589 (54.4) | ||
| Rural area | 3,824 (5.6) | 967 (4.9) | 1,123 (5.8) | 1,166 (5.8) | 568 (6.2) | ||
| Academic achievement | 655.8 | < 0.001 | |||||
| Upper | 20,051 (38.8) | 6,610 (45.2) | 5,911 (39.8) | 5,412 (35.0) | 2,118 (30.6) | ||
| Middle | 15,484 (30.0) | 4,181 (28.3) | 4,542 (30.7) | 4,644 (31.1) | 2,117 (30.2) | ||
| Lower | 16,313 (31.2) | 3,989 (26.6) | 4,453 (29.5) | 5,113 (33.9) | 2,758 (39.2) | ||
| Socioeconomic status | 180.7 | < 0.001 | |||||
| Upper | 21,888 (43.3) | 6,785 (47.2) | 6,214 (42.8) | 6,141 (41.2) | 2,748 (40.0) | ||
| Middle | 24,143 (46.0) | 6,432 (42.7) | 7,087 (47.0) | 7,315 (48.0) | 3,309 (47.0) | ||
| Lower | 5,816 (10.7) | 1,562 (10.1) | 1,605 (10.2) | 1,713 (10.8) | 936 (13.0) | ||
| Paternal education | 228.0 | < 0.001 | |||||
| Middle or below | 528 (1.4) | 113 (1.1) | 163 (1.6) | 171 (1.5) | 81 (1.7) | ||
| High school | 8,073 (23.5) | 1,841 (19.0) | 2,310 (23.0) | 2,642 (26.0) | 1,280 (29.2) | ||
| College or higher | 23,599 (75.1) | 7,031 (79.9) | 6,938 (75.4) | 6,777 (72.5) | 2,853 (69.1) | ||
| Maternal education | 238.6 | < 0.001 | |||||
| Middle or below | 458 (1.2) | 94 (0.9) | 131 (1.3) | 148 (1.3) | 85 (1.7) | ||
| High school | 9,134 (26.3) | 2,075 (21.6) | 2,623 (25.7) | 3,017 (29.4) | 1,419 (31.2) | ||
| College or higher | 23,609 (72.5) | 7,002 (77.6) | 6,975 (73.1) | 6,745 (69.3) | 2,887 (67.1) | ||
| Residential type | 12.3 | 0.089 | |||||
| Living with family | 49,182 (95.5) | 13,999 (95.4) | 14,182 (95.8) | 14,406 (95.8) | 6,595 (94.9) | ||
| Not with family | 2,663 (4.5) | 779 (4.6) | 724 (4.2) | 762 (4.2) | 398 (5.1) | ||
| Characteristics | Total (n = 51,850) | Watching Mukbang and Cookbang videos |
χ2 | P-value | |||
|---|---|---|---|---|---|---|---|
| No (n = 14,781) | ≤ 3 times/mo (n = 14,906) | 1–4 times/wk (n = 15,170) | ≥ 5 times/wk (n = 6,993) | ||||
| Breakfast | 480.2 | < 0.001 | |||||
| ≤ 1 day/wk | 15,528 (29.8) | 4,023 (27.1) | 4,301 (28.7) | 4,745 (31.2) | 2,459 (35.3) | ||
| 2–4 days/wk | 12,510 (24.0) | 3,047 (20.5) | 3,661 (24.5) | 4,041 (26.4) | 1,761 (25.1) | ||
| ≥ 5 days/wk | 23,806 (46.2) | 7,708 (52.4) | 6,942 (46.8) | 6,384 (42.4) | 2,772 (39.6) | ||
| Fruit consumption | 182.3 | < 0.001 | |||||
| ≤ 2 times/wk | 22,429 (43.0) | 6,253 (41.8) | 6,478 (43.1) | 6,593 (43.3) | 3,105 (44.6) | ||
| 3–6 times/wk | 20,661 (39.8) | 5,654 (38.1) | 6,125 (41.2) | 6,277 (41.5) | 2,605 (36.9) | ||
| ≥ 7 times/wk | 8,736 (17.2) | 2,863 (20.1) | 2,301 (15.7) | 2,293 (15.3) | 1,279 (18.6) | ||
| Fast food consumption | 481.2 | < 0.001 | |||||
| ≤ 2 times/wk | 37,898 (72.7) | 11,461 (77.1) | 11,205 (74.8) | 10,629 (69.6) | 4,603 (65.2) | ||
| 3–4 times/wk | 11,206 (22.0) | 2,633 (18.3) | 3,042 (20.7) | 3,707 (24.8) | 1,824 (26.8) | ||
| ≥ 5 times/wk | 2,746 (5.3) | 687 (4.6) | 659 (4.5) | 834 (5.6) | 566 (8.1) | ||
| High-caffeine drinks consumption | 211.2 | < 0.001 | |||||
| ≤ 2 times/wk | 40,593 (77.7) | 11,640 (78.3) | 12,021 (79.7) | 11,807 (77.4) | 5,125 (72.6) | ||
| 3–4 times/wk | 6,175 (12.1) | 1,621 (11.1) | 1,673 (11.6) | 1,954 (13.1) | 927 (13.4) | ||
| ≥ 5 times/wk | 5,082 (10.2) | 1,520 (10.7) | 1,212 (8.6) | 1,409 (9.5) | 941 (13.9) | ||
| Sweet drinks consumption | 532.0 | < 0.001 | |||||
| ≤ 2 times/wk | 19,038 (36.4) | 6,091 (40.7) | 5,755 (38.0) | 5,005 (32.9) | 2,187 (30.8) | ||
| 3–4 times/wk | 17,634 (34.0) | 4,602 (31.1) | 5,251 (35.7) | 5,602 (36.7) | 2,179 (31.1) | ||
| ≥ 5 times/wk | 15,178 (29.6) | 4,088 (28.2) | 3,900 (26.3) | 4,563 (30.4) | 2,627 (38.1) | ||
| Vegetable consumption | 106.4 | < 0.001 | |||||
| ≤ 2 times/wk | 11,932 (23.0) | 3,384 (23.0) | 3,583 (23.7) | 3,303 (21.7) | 1,662 (24.0) | ||
| 3–4 times/wk | 14,213 (27.4) | 3,843 (25.9) | 4,250 (28.5) | 4,412 (29.4) | 1,708 (24.3) | ||
| ≥ 5 times/wk | 25,705 (49.6) | 7,554 (51.1) | 7,073 (47.8) | 7,455 (48.9) | 3,623 (51.7) | ||
| Late-night snack consumption | 203.5 | < 0.001 | |||||
| ≤ 2 times/wk | 39,925 (76.5) | 11,630 (78.1) | 11,715 (78.0) | 11,514 (75.4) | 5,066 (71.9) | ||
| 3–4 times/wk | 8,491 (16.8) | 2,138 (14.8) | 2,344 (16.2) | 2,726 (18.4) | 1,283 (18.7) | ||
| ≥ 5 times/wk | 3,434 (6.8) | 1,013 (7.1) | 847 (5.8) | 930 (6.3) | 644 (9.4) | ||
| Milk consumption | 182.5 | < 0.001 | |||||
| ≤ 2 times/wk | 23,918 (46.7) | 6,561 (44.9) | 6,972 (47.3) | 7,145 (47.7) | 3,240 (46.8) | ||
| 3–6 times/wk | 18,336 (35.4) | 5,044 (34.2) | 5,450 (36.5) | 5,534 (36.3) | 2,308 (33.3) | ||
| ≥ 7 times/wk | 9,596 (18.0) | 3,176 (20.9) | 2,484 (16.2) | 2,491 (16.0) | 1,445 (19.8) | ||
| Water consumption | 122.8 | < 0.001 | |||||
| ≤ 2 cups/day | 12,102 (23.2) | 3,206 (21.6) | 3,713 (24.8) | 3,605 (23.8) | 1,578 (22.2) | ||
| 3–4 cups/day | 20,540 (39.8) | 5,737 (39.3) | 6,118 (40.7) | 6,103 (40.4) | 2,582 (37.6) | ||
| ≥ 5 cups/day | 19,208 (37.0) | 5,838 (39.1) | 5,075 (34.5) | 5,462 (35.8) | 2,833 (40.3) | ||
| Characteristics | Total (n = 36,430) | Watching Mukbang and Cookbang videos |
χ2 | P-value | |||
|---|---|---|---|---|---|---|---|
| No (n = 9,448) | ≤ 3 times/mo (n = 10,533) | 1–4 times/wk (n = 11,248) | ≥ 5 times/wk (n = 5,201) | ||||
| Wakes up late | 6,927 (18.9) | 1,881 (19.8) | 2,058 (19.7) | 2,113 (18.7) | 875 (16.3) | 204.3 | < 0.001 |
| Lack of time | 12,812 (35.4) | 3,178 (34.0) | 3,715 (35.3) | 4,032 (36.2) | 1,887 (36.9) | ||
| Lack of appetite | 8,048 (21.9) | 2,205 (23.1) | 2,334 (21.9) | 2,485 (22.1) | 1,024 (19.2) | ||
| Stomach pain or indigestion | 4,023 (11.3) | 1,033 (11.3) | 1,151 (11.1) | 1,209 (10.8) | 630 (12.5) | ||
| No one to prepare breakfast | 535 (1.4) | 150 (1.5) | 142 (1.4) | 159 (1.4) | 84 (1.6) | ||
| Don't want to eat alone | 128 (0.3) | 33 (0.4) | 40 (0.3) | 33 (0.3) | 22 (0.4) | ||
| To lose weight | 672 (1.8) | 104 (1.1) | 164 (1.5) | 212 (1.8) | 192 (3.6) | ||
| Don't think it's necessary to eat breakfast | 3,285 (8.9) | 864 (9.0) | 929 (8.9) | 1,005 (8.7) | 487 (9.4) | ||
| Characteristics | Total (n = 51,850) | Watching Mukbang and Cookbang videos |
χ2 | P-value | |||
|---|---|---|---|---|---|---|---|
| No (n = 14,781) | ≤ 3 times/mo (n = 14,906) | 1–4 times/wk (n = 15,170) | ≥ 5 times/wk (n = 6,993) | ||||
| Smoking |
14.6 | 0.006 | |||||
| Yes | 2,244 (50.9) | 621 (55.0) | 545 (51.0) | 688 (47.6) | 390 (50.2) | ||
| No | 2,301 (49.1) | 546 (45.0) | 558 (49.0) | 767 (52.4) | 430 (49.8) | ||
| Drinking |
18.9 | < 0.001 | |||||
| Yes | 6,679 (38.2) | 1,596 (36.8) | 1,762 (37.8) | 2,119 (37.9) | 1,202 (41.6) | ||
| No | 10,936 (61.8) | 2,804 (63.2) | 2,949 (62.2) | 3,435 (62.1) | 1,748 (58.4) | ||
| Vigorous physical activity | 78.4 | < 0.001 | |||||
| ≥ 3 days/wk | 8,688 (16.3) | 2,574 (17.0) | 2,230 (14.6) | 2,523 (15.8) | 1,361 (19.1) | ||
| < 3 days/wk | 43,100 (83.7) | 12,187 (83.0) | 12,661 (85.4) | 12,631 (84.2) | 5,621 (80.9) | ||
| Moderate physical activity | 52.7 | < 0.001 | |||||
| ≥ 3 days/wk | 9,282 (17.8) | 2,722 (18.2) | 2,436 (16.3) | 2,703 (17.5) | 1,421 (20.3) | ||
| < 3 days/wk | 42,510 (82.2) | 12,038 (81.8) | 12,450 (83.7) | 12,460 (82.5) | 5,562 (79.7) | ||
| Muscle strengthening exercise | 78.4 | < 0.001 | |||||
| ≥ 3 days/wk | 6,723 (12.8) | 2,113 (13.9) | 1,701 (11.5) | 1,884 (12.0) | 1,025 (14.9) | ||
| < 3 days/wk | 45,127 (87.2) | 12,668 (86.1) | 13,205 (88.5) | 13,286 (88.0) | 5,968 (85.1) | ||
| Subjective health | 51.3 | < 0.001 | |||||
| Good | 32,880 (63.1) | 9,525 (64.0) | 9,471 (63.3) | 9,621 (63.2) | 4,263 (60.8) | ||
| Average | 13,565 (26.3) | 3,682 (25.1) | 3,952 (26.7) | 4,047 (26.9) | 1,884 (26.8) | ||
| Poor | 5,405 (10.6) | 1,574 (10.9) | 1,483 (10.0) | 1,502 (10.0) | 846 (12.3) | ||
| Subjective body type | 190.8 | < 0.001 | |||||
| Lean | 13,661 (26.8) | 4,391 (30.3) | 3,871 (26.4) | 3,766 (25.2) | 1,633 (23.3) | ||
| Average | 18,602 (36.1) | 5,211 (35.4) | 5,298 (35.5) | 5,642 (37.5) | 2,451 (36.0) | ||
| Overweight | 19,587 (37.1) | 5,179 (34.3) | 5,737 (38.1) | 5,762 (37.3) | 2,909 (40.6) | ||
| Characteristics | Total (n = 51,850) | Watching Mukbang and Cookbang videos |
χ2 | P-value | |||
|---|---|---|---|---|---|---|---|
| No (n = 14,781) | ≤ 3 times/mo (n = 14,906) | 1–4 times/wk (n = 15,170) | ≥ 5 times/wk (n = 6,993) | ||||
| Subjective stress | 377.1 | < 0.001 | |||||
| Stressed | 21,396 (41.3) | 5,625 (38.5) | 5,947 (40.0) | 6,369 (41.8) | 3,455 (49.3) | ||
| Moderate | 21,641 (41.9) | 6,091 (41.1) | 6,496 (43.8) | 6,504 (43.0) | 2,550 (36.8) | ||
| Not stressed | 8,813 (16.8) | 3,065 (20.3) | 2,463 (16.2) | 2,297 (15.1) | 988 (13.8) | ||
| Depression experience | 347.3 | < 0.001 | |||||
| Yes | 14,956 (28.7) | 3,625 (24.7) | 4,073 (27.5) | 4,713 (30.5) | 2,545 (36.3) | ||
| No | 36,894 (71.3) | 11,156 (75.3) | 10,833 (72.5) | 10,457 (69.5) | 4,448 (63.7) | ||
| Suicidal ideation | 106.8 | < 0.001 | |||||
| Yes | 7,350 (14.3) | 1,875 (13.0) | 2,087 (14.2) | 2,138 (13.9) | 1,250 (18.2) | ||
| No | 44,500 (85.7) | 12,906 (87.0) | 12,819 (85.8) | 13,032 (86.1) | 5,743 (81.8) | ||
| Loneliness experience | 527.2 | < 0.001 | |||||
| Loneliness | 9,139 (17.6) | 2,296 (15.8) | 2,473 (16.6) | 2,732 (17.8) | 1,638 (23.6) | ||
| Moderate | 19,074 (36.9) | 4,793 (32.6) | 5,615 (38.0) | 6,006 (39.8) | 2,660 (38.0) | ||
| Not loneliness | 23,637 (45.4) | 7,692 (51.6) | 6,818 (45.3) | 6,432 (42.4) | 2,695 (38.4) | ||
| Watching Mukbang and Cookbang videos | Dietary habits |
|||||||||
|---|---|---|---|---|---|---|---|---|---|---|
| Breakfast (≥ 5 times/wk) |
Fast food (≥ 3 times/wk) |
High-caffeine drinks (≥ 3 times/wk) |
Sweet drinks (≥ 3 times/wk) |
Late night snack (≥ 3 times/wk) |
||||||
| OR | 95% CI | OR | 95% CI | OR | 95% CI | OR | 95% CI | OR | 95% CI | |
| Never | 1.00 | 1.00 | 1.00 | 1.00 | 1.00 | |||||
| ≤ 3 times/mo | 0.81 |
0.77–0.86 | 1.17 |
1.09–1.26 | 0.93 | 0.87–1.01 | 1.13 |
1.06–1.21 | 1.08 |
1.00–1.16 |
| 1–4 times/wk | 0.69 |
0.66–0.74 | 1.44 |
1.35–1.55 | 1.12 |
1.04–1.20 | 1.38 |
1.30–1.47 | 1.21 |
1.13–1.30 |
| ≥ 5 times/wk | 0.63 |
0.58–0.68 | 1.85 |
1.69–2.02 | 1.43 |
1.30–1.56 | 1.54 |
1.41–1.67 | 1.37 |
1.25–1.51 |
n (weighted %). Differences in each variable were analyzed by the Rao-Scott χ2 test.
n (weighted %). Differences in each variable were analyzed by the Rao-Scott χ2 test.
n (weighted %). Differences in each variable were analyzed by Rao-Scott χ2 test
n (weighted %). Differences in each variable were analyzed by the Rao-Scott χ2 test. Smoking in the last 30 days. Drinking alcohol in the last 30 days.
n (weighted %). Differences in each variable were analyzed by the Rao-Scott χ2 test.
The reference is not watching Mukbang and Cookbang videos. Adjusted for age, sex, residence area, type of school, academic achievement, household economic status, residential type, paternal education, maternal education, and body mass index. OR, odds ratio; CI, confidence interval.
